高中数学人教A版 (2019)必修 第一册第五章 三角函数5.6 函数 y=Asin( ωx + φ)学案
展开一、由图象求三角函数的解析式
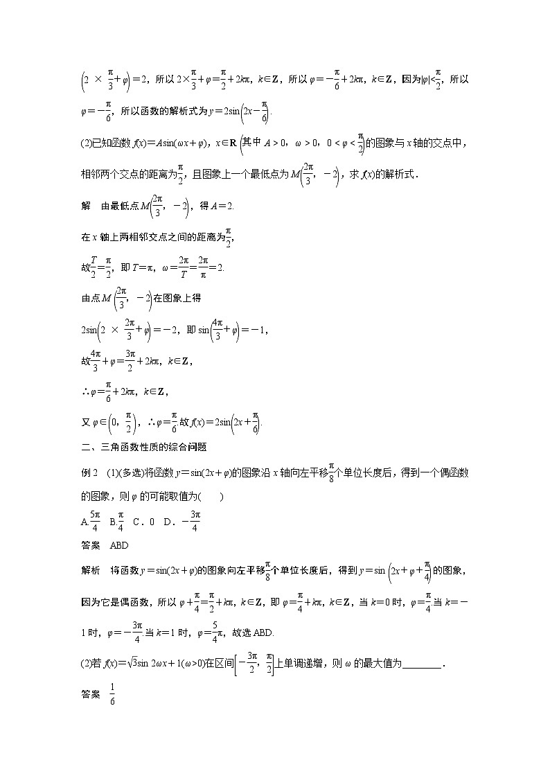
例1 如图是函数y=Asin(ωx+φ)eq \b\lc\(\rc\)(\a\vs4\al\c1(A>0,ω>0,|φ|<\f(π,2)))的图象的一部分,求此函数的解析式.
解 方法一 逐一定参法
由图象知A=3,
T=eq \f(5π,6)-eq \b\lc\(\rc\)(\a\vs4\al\c1(-\f(π,6)))=π,
∴ω=eq \f(2π,T)=2,
∴y=3sin(2x+φ).
∵点eq \b\lc\(\rc\)(\a\vs4\al\c1(-\f(π,6),0))在函数图象上,
∴-eq \f(π,6)×2+φ=0+2kπ,k∈Z,
又|φ|
∴y=3sineq \b\lc\(\rc\)(\a\vs4\al\c1(2x+\f(π,3))).
方法二 待定系数法
由图象知A=3.∵图象过点eq \b\lc\(\rc\)(\a\vs4\al\c1(\f(π,3),0))和eq \b\lc\(\rc\)(\a\vs4\al\c1(\f(5π,6),0)),
∴eq \b\lc\{\rc\ (\a\vs4\al\c1(\f(πω,3)+φ=π,,\f(5πω,6)+φ=2π,))解得eq \b\lc\{\rc\ (\a\vs4\al\c1(ω=2,,φ=\f(π,3).))
∴y=3sineq \b\lc\(\rc\)(\a\vs4\al\c1(2x+\f(π,3))).
方法三 图象变换法
由A=3,T=π,点eq \b\lc\(\rc\)(\a\vs4\al\c1(-\f(π,6),0))在图象上,
可知函数图象由y=3sin 2x向左平移eq \f(π,6)个单位长度而得,
∴y=3sineq \b\lc\[\rc\](\a\vs4\al\c1(2\b\lc\(\rc\)(\a\vs4\al\c1(x+\f(π,6))))),即y=3sineq \b\lc\(\rc\)(\a\vs4\al\c1(2x+\f(π,3))).
(学生留)
反思感悟 给出y=Asin(ωx+φ)的图象的一部分,确定A,ω,φ的方法
(1)逐一定参法:如果从图象可直接确定A和ω,则选取“五点法”中的“第一零点”的数据代入“ωx+φ=0”(要注意正确判断哪一点是“第一零点”)求得φ或选取最大值点时代入公式ωx+φ=eq \f(π,2)+2kπ,k∈Z,选取最小值点时代入公式ωx+φ=eq \f(3π,2)+2kπ,k∈Z.
(2)待定系数法:将若干特殊点代入函数式,可以求得相关待定系数A,ω,φ.这里需要注意的是,要认清所选择的点属于五个点中的哪一点,并能正确代入列式.
(3)图象变换法:运用逆向思维的方法,先确定函数的基本解析式y=Asin ωx,再根据图象平移、伸缩规律确定相关的参数.
跟踪训练1 (1)函数y=Asin(ωx+φ)eq \b\lc\(\rc\)(\a\vs4\al\c1(A>0,ω>0,|φ|<\f(π,2)))的部分图象如图所示,则( )
A.y=2sineq \b\lc\(\rc\)(\a\vs4\al\c1(2x-\f(π,6)))
B.y=2sineq \b\lc\(\rc\)(\a\vs4\al\c1(2x-\f(π,3)))
C.y=2sineq \b\lc\(\rc\)(\a\vs4\al\c1(x+\f(π,6)))
D.y=2sineq \b\lc\(\rc\)(\a\vs4\al\c1(x+\f(π,3)))
答案 A
解析 由题图可知,A=2,T=2eq \b\lc\[\rc\](\a\vs4\al\c1(\f(π,3)-\b\lc\(\rc\)(\a\vs4\al\c1(-\f(π,6)))))=π,所以ω=2.由函数经过点eq \b\lc\(\rc\)(\a\vs4\al\c1(\f(π,3),2))可知2sineq \b\lc\(\rc\)(\a\vs4\al\c1(2×\f(π,3)+φ))=2,所以2×eq \f(π,3)+φ=eq \f(π,2)+2kπ,k∈Z,所以φ=-eq \f(π,6)+2kπ,k∈Z,因为|φ|
解 由最低点Meq \b\lc\(\rc\)(\a\vs4\al\c1(\f(2π,3),-2)),得A=2.
在x轴上两相邻交点之间的距离为eq \f(π,2),
故eq \f(T,2)=eq \f(π,2),即T=π,ω=eq \f(2π,T)=eq \f(2π,π)=2.
由点Meq \b\lc\(\rc\)(\a\vs4\al\c1(\f(2π,3),-2))在图象上得
2sineq \b\lc\(\rc\)(\a\vs4\al\c1(2×\f(2π,3)+φ))=-2,即sineq \b\lc\(\rc\)(\a\vs4\al\c1(\f(4π,3)+φ))=-1,
故eq \f(4π,3)+φ=eq \f(3π,2)+2kπ,k∈Z,
∴φ=eq \f(π,6)+2kπ,k∈Z,
又φ∈eq \b\lc\(\rc\)(\a\vs4\al\c1(0,\f(π,2))),∴φ=eq \f(π,6).故f(x)=2sineq \b\lc\(\rc\)(\a\vs4\al\c1(2x+\f(π,6))).
二、三角函数性质的综合问题
例2 (1)(多选)将函数y=sin(2x+φ)的图象沿x轴向左平移eq \f(π,8)个单位长度后,得到一个偶函数的图象,则φ的可能取值为( )
A.eq \f(5π,4) B.eq \f(π,4) C.0 D.-eq \f(3π,4)
答案 ABD
解析 将函数y=sin(2x+φ)的图象向左平移eq \f(π,8)个单位长度后,得到y=sineq \b\lc\(\rc\)(\a\vs4\al\c1(2x+φ+\f(π,4)))的图象,因为它是偶函数,所以φ+eq \f(π,4)=eq \f(π,2)+kπ,k∈Z,即φ=eq \f(π,4)+kπ,k∈Z,当k=0时,φ=eq \f(π,4).当k=-1时,φ=-eq \f(3π,4).当k=1时,φ=eq \f(5,4)π,故选ABD.
(2)若f(x)=eq \r(3)sin 2ωx+1(ω>0)在区间eq \b\lc\[\rc\](\a\vs4\al\c1(-\f(3π,2),\f(π,2)))上单调递增,则ω的最大值为________.
答案 eq \f(1,6)
解析 因为f(x)=eq \r(3)sin 2ωx+1(ω>0)在区间eq \b\lc\[\rc\](\a\vs4\al\c1(-\f(3π,2),\f(π,2)))上单调递增,可得-eq \f(3π,2)·2ω≥-eq \f(π,2),且eq \f(π,2)·2ω≤eq \f(π,2),求得ω≤eq \f(1,6),故ω的最大值为eq \f(1,6).
反思感悟 (1)正弦、余弦型函数奇偶性的判断方法
正弦型函数y=Asin(ωx+φ)和余弦型函数y=Acs(ωx+φ)不一定具备奇偶性.对于函数y=Asin(ωx+φ),当φ=kπ(k∈Z)时为奇函数,当φ=kπ+eq \f(π,2)(k∈Z)时为偶函数;对于函数y=Acs(ωx+φ),当φ=kπ(k∈Z)时为偶函数,当φ=kπ+eq \f(π,2)(k∈Z)时为奇函数.
(2)与正弦、余弦型函数有关的单调区间的求解技巧
①结合正弦、余弦函数的图象,熟记它们的单调区间.
②确定函数y=Asin(ωx+φ)(A>0,ω>0)单调区间的方法:采用“换元”法整体代换,将ωx+φ看作一个整体,可令“z=ωx+φ”,即通过求y=Asin z的单调区间而求出函数的单调区间.若ω<0,则可利用诱导公式先将x的系数转变为正数,再求单调区间.
跟踪训练2 已知函数f(x)=sin(ωx+φ)(ω>0,0≤φ<π)是R上的偶函数,其图象关于点Meq \b\lc\(\rc\)(\a\vs4\al\c1(\f(3π,4),0))对称,且在区间eq \b\lc\[\rc\)(\a\vs4\al\c1(0,\f(π,2)))上具有单调性,求φ和ω的值.
解 由f(x)是偶函数,得f(-x)=f(x),
即函数f(x)的图象关于y轴对称,
∴f(x)在x=0时取得最值,即sin φ=1或-1.
依题设0≤φ<π,∴φ=eq \f(π,2).
由f(x)的图象关于点M对称,可知
sineq \b\lc\(\rc\)(\a\vs4\al\c1(\f(3π,4)ω+\f(π,2)))=0,即eq \f(3π,4)ω+eq \f(π,2)=kπ,k∈Z,
解得ω=eq \f(4k,3)-eq \f(2,3),k∈Z.
又f(x)在eq \b\lc\[\rc\](\a\vs4\al\c1(0,\f(π,2)))上具有单调性,∴T≥π,即eq \f(2π,ω)≥π.
∴ω≤2,又ω>0,∴k=1时,ω=eq \f(2,3);k=2时,ω=2.
故φ=eq \f(π,2),ω=2或eq \f(2,3).
三、三角函数的实际应用
例3 已知某海滨浴场的海浪高度y(米)是时间t(时)的函数,其中0≤t≤24,记y=f(t),下表是某日各时的浪高数据:
经长期观测,y=f(t)的图象可近似地看成是函数y=Acs ωt+b的图象.
(1)根据以上数据,求其最小正周期和函数解析式;
(2)根据规定,当海浪高度大于1米时才对冲浪爱好者开放,请依据(1)的结论,判断一天内的8:00到20:00之间,有多少时间可供冲浪者进行活动?
解 (1)由表中数据可知,T=12,∴ω=eq \f(π,6).
又t=0时,y=1.5,∴A+b=1.5;
t=3时,y=1.0,得b=1.0,∴A=eq \f(1,2),
函数解析式为y=eq \f(1,2)cs eq \f(π,6)t+1(0≤t≤24).
(2)∵y>1时,才对冲浪爱好者开放,
∴y=eq \f(1,2)cs eq \f(π,6)t+1>1,cs eq \f(π,6)t>0,
2kπ-eq \f(π,2)
(1)认真审题,理清问题中的已知条件与所求结论.
(2)建立三角函数模型,将实际问题数学化.
(3)利用三角函数的有关知识解决关于三角函数的问题,求得数学模型的解.
(4)根据实际问题的意义,得出实际问题的解.
(5)将所得结论返回、转译成实际问题的答案.
跟踪训练3 如图,某动物种群数量1月1日低至700,7月1日高至900,其总量在此两值之间依正弦型曲线变化.
(1)求出种群数量y关于时间t的函数表达式(其中t以年初以来的月为计量单位);
(2)估计当年3月1日动物种群数量.
解 (1)设种群数量y关于t的解析式为y=Asin(ωt+φ)+b(A>0,ω>0),
则eq \b\lc\{\rc\ (\a\vs4\al\c1(-A+b=700,,A+b=900,))解得A=100,b=800.
又周期T=2×(6-0)=12,∴ω=eq \f(2π,T)=eq \f(π,6),
∴y=100sineq \b\lc\(\rc\)(\a\vs4\al\c1(\f(π,6)t+φ))+800.
又当t=6时,y=900,
∴900=100sineq \b\lc\(\rc\)(\a\vs4\al\c1(\f(π,6)×6+φ))+800,
∴sin(π+φ)=1,∴sin φ=-1,取φ=-eq \f(π,2),
∴y=100sineq \b\lc\(\rc\)(\a\vs4\al\c1(\f(π,6)t-\f(π,2)))+800.
(2)当t=2时,
y=100sineq \b\lc\(\rc\)(\a\vs4\al\c1(\f(π,6)×2-\f(π,2)))+800=750,
即当年3月1日动物种群数量约是750.
1.将函数y=sineq \b\lc\(\rc\)(\a\vs4\al\c1(2x+\f(π,4)))的图象向左平移eq \f(π,8)个单位长度,所得图象所对应的函数是( )
A.非奇非偶函数 B.既奇又偶函数
C.奇函数 D.偶函数
答案 D
解析 y=sineq \b\lc\(\rc\)(\a\vs4\al\c1(2x+\f(π,4)))eq \(―――――――――→,\s\up10(向左平移\f(π, 8 ) 个单位长度))
y=sineq \b\lc\[\rc\](\a\vs4\al\c1(2\b\lc\(\rc\)(\a\vs4\al\c1(x+\f(π,8)))+\f(π,4)))
=sineq \b\lc\(\rc\)(\a\vs4\al\c1(2x+\f(π,2)))
=cs 2x,为偶函数.
2.若函数f(x)=2sineq \b\lc\(\rc\)(\a\vs4\al\c1(2x-\f(π,3)+φ))是偶函数,则φ的值可以是( )
A.eq \f(5π,6) B.eq \f(π,2) C.eq \f(π,3) D.-eq \f(π,2)
答案 A
解析 令x=0得f(0)=2sineq \b\lc\(\rc\)(\a\vs4\al\c1(-\f(π,3)+φ))=±2,
∴sineq \b\lc\(\rc\)(\a\vs4\al\c1(φ-\f(π,3)))=±1,把φ=eq \f(5π,6)代入,符合上式.故选A.
3.同时具有性质“(1)最小正周期是π;(2)图象关于直线x=eq \f(π,3)对称;(3)在eq \b\lc\[\rc\](\a\vs4\al\c1(-\f(π,6),\f(π,3)))上单调递增”的一个函数是( )
A.y=sineq \b\lc\(\rc\)(\a\vs4\al\c1(\f(x,2)+\f(π,6))) B.y=cseq \b\lc\(\rc\)(\a\vs4\al\c1(2x+\f(π,3)))
C.y=sineq \b\lc\(\rc\)(\a\vs4\al\c1(2x-\f(π,6))) D.y=cseq \b\lc\(\rc\)(\a\vs4\al\c1(2x-\f(π,6)))
答案 C
解析 由(1)知T=π=eq \f(2π,ω),ω=2,排除A.
由(2)(3)知x=eq \f(π,3)时,f(x)取最大值,
验证知只有C符合要求.
4.如图为函数y=Asin(ωx+φ)(A>0,ω>0,-π<φ<0)的图象的一部分,则函数的解析式为________.
答案 y=eq \r(3)sineq \b\lc\(\rc\)(\a\vs4\al\c1(2x-\f(2π,3)))
解析 由图象,可得A=eq \r(3),
eq \f(1,2)·eq \f(2π,ω)=eq \f(5π,6)-eq \f(π,3),∴ω=2.
∵函数图象过点eq \b\lc\(\rc\)(\a\vs4\al\c1(\f(π,3),0)),∴eq \r(3)sineq \b\lc\(\rc\)(\a\vs4\al\c1(\f(2π,3)+φ))=0,
∴eq \f(2π,3)+φ=2π+2kπ,k∈Z,
∴φ=eq \f(4π,3)+2kπ,k∈Z,又∵-π<φ<0,∴φ=-eq \f(2π,3),
故函数的解析式为y=eq \r(3)sineq \b\lc\(\rc\)(\a\vs4\al\c1(2x-\f(2π,3))).
5.已知函数f(x)=sin(2x+φ)(-π<φ<0)图象的一条对称轴是直线x=eq \f(π,6),则φ的值为________.
答案 -eq \f(5,6)π
解析 由题意知2×eq \f(π,6)+φ=eq \f(π,2)+kπ,k∈Z,
所以φ=eq \f(π,6)+kπ,k∈Z,
又-π<φ<0,
所以φ=-eq \f(5,6)π.
1.知识清单:
(1)由图象求三角函数的解析式.
(2)三角函数的性质的综合问题.
(3)三角函数的实际应用.
2.方法归纳:特殊点法、数形结合法.
3.常见误区:求φ值时递增区间上的零点和递减区间上的零点的区别.
1.(多选)若函数f(x)=3sin(ωx+φ)对任意x有f eq \b\lc\(\rc\)(\a\vs4\al\c1(\f(π,6)+x))=f eq \b\lc\(\rc\)(\a\vs4\al\c1(\f(π,6)-x)),则f eq \b\lc\(\rc\)(\a\vs4\al\c1(\f(π,6)))等于( )
A.-3 B.-1 C.0 D.3
答案 AD
解析 由于函数f(x)=3sin(ωx+φ)对任意x都有f eq \b\lc\(\rc\)(\a\vs4\al\c1(\f(π,6)+x))=f eq \b\lc\(\rc\)(\a\vs4\al\c1(\f(π,6)-x)),则函数f(x)的图象关于直线x=eq \f(π,6)对称,则f eq \b\lc\(\rc\)(\a\vs4\al\c1(\f(π,6)))是函数f(x)的最大值或最小值,则f eq \b\lc\(\rc\)(\a\vs4\al\c1(\f(π,6)))=-3或3.
2.函数f(x)=Asin(ωx+φ)(A>0,ω>0)的部分图象如图,则其解析式为( )
A.f(x)=2sineq \b\lc\(\rc\)(\a\vs4\al\c1(x+\f(π,4)))
B.f(x)=sineq \b\lc\(\rc\)(\a\vs4\al\c1(2x+\f(π,4)))
C.f(x)=2sineq \b\lc\(\rc\)(\a\vs4\al\c1(2x+\f(π,4)))
D.f(x)=2sineq \b\lc\(\rc\)(\a\vs4\al\c1(2x-\f(π,4)))
答案 C
解析 由图象知,A=2,T=eq \f(7π,8)-eq \b\lc\(\rc\)(\a\vs4\al\c1(-\f(π,8)))=π,
所以ω=2,又函数图象过点eq \b\lc\(\rc\)(\a\vs4\al\c1(-\f(π,8),0)),
所以2sineq \b\lc\(\rc\)(\a\vs4\al\c1(-\f(π,4)+φ))=0,
所以-eq \f(π,4)+φ=2kπ,k∈Z,
所以φ=eq \f(π,4)+2kπ,k∈Z,φ可取eq \f(π,4),
所以f(x)=2sineq \b\lc\(\rc\)(\a\vs4\al\c1(2x+\f(π,4))).
3.已知函数f(x)=cseq \b\lc\(\rc\)(\a\vs4\al\c1(ωx-\f(π,6)))(ω>0)的相邻两个零点的距离为eq \f(π,2),要得到y=f(x)的图象,只需把y=cs ωx的图象( )
A.向右平移eq \f(π,12)个单位长度
B.向左平移eq \f(π,12)个单位长度
C.向右平移eq \f(π,6)个单位长度
D.向左平移eq \f(π,6)个单位长度
答案 A
解析 由已知得eq \f(2π,ω)=2×eq \f(π,2),故ω=2.
y=cs 2x向右平移eq \f(π,12)个单位长度可得
y=cs 2eq \b\lc\(\rc\)(\a\vs4\al\c1(x-\f(π,12)))=cseq \b\lc\(\rc\)(\a\vs4\al\c1(2x-\f(π,6)))的图象.
4.(多选)函数f(x)=cs(2x+φ)eq \b\lc\(\rc\)(\a\vs4\al\c1(|φ|<\f(π,2)))的图象向右平移eq \f(π,6)个单位长度后得到的函数是奇函数,则关于函数f(x)的图象,下列说法不正确的是( )
A.关于点eq \b\lc\(\rc\)(\a\vs4\al\c1(-\f(π,3),0))对称
B.关于直线x=-eq \f(π,6)对称
C.关于点eq \b\lc\(\rc\)(\a\vs4\al\c1(\f(π,12),0))对称
D.关于直线x=eq \f(π,12)对称
答案 ABC
解析 将函数f(x)=cs(2x+φ)eq \b\lc\(\rc\)(\a\vs4\al\c1(|φ|<\f(π,2)))的图象向右平移eq \f(π,6)个单位长度后,可得y=cseq \b\lc\(\rc\)(\a\vs4\al\c1(2x-\f(π,3)+φ))的图象,根据得到的函数是奇函数,可得-eq \f(π,3)+φ=kπ+eq \f(π,2),k∈Z,又|φ|
令x=-eq \f(π,6),求得f(x)=cseq \b\lc\(\rc\)(\a\vs4\al\c1(-\f(π,2)))=0,故B不正确.令x=eq \f(π,12),求得f(x)=cs 0=1,为函数的最大值,故C不正确,D正确.
5.f(x)=sin x+acs x关于点eq \b\lc\(\rc\)(\a\vs4\al\c1(\f(π,3),0))对称,则a的值为________.
答案 -eq \r(3)
解析 f(x)=eq \r(a2+1)sin(x+φ),tan φ=a,
∵eq \b\lc\(\rc\)(\a\vs4\al\c1(\f(π,3),0))为f(x)的对称中心,
∴f eq \b\lc\(\rc\)(\a\vs4\al\c1(\f(π,3)))=0,即sin eq \f(π,3)+acs eq \f(π,3)=0,
即eq \f(\r(3),2)+eq \f(1,2)a=0,∴a=-eq \r(3).
6.已知函数y=2sin(ωx+φ)eq \b\lc\(\rc\)(\a\vs4\al\c1(ω>0,|φ|≤\f(π,2)))在一个周期内,当x=eq \f(π,12)时有最大值2,当x=eq \f(7π,12)时有最小值-2,则ω=________,φ=________.
答案 2 eq \f(π,3)
解析 由题意知,T=2×eq \b\lc\(\rc\)(\a\vs4\al\c1(\f(7π,12)-\f(π,12)))=π,
所以ω=eq \f(2π,T)=2;
又因为当x=eq \f(π,12)时有最大值2.
f eq \b\lc\(\rc\)(\a\vs4\al\c1(\f(π,12)))=2sineq \b\lc\(\rc\)(\a\vs4\al\c1(2×\f(π,12)+φ))=2sineq \b\lc\(\rc\)(\a\vs4\al\c1(\f(π,6)+φ))=2,
所以eq \f(π,6)+φ=eq \f(π,2)+2kπ,k∈Z,且|φ|≤eq \f(π,2),
所以φ=eq \f(π,3).
7.函数f(x)=Asin(ωx+φ)(A,ω,φ为常数,A>0,ω>0)的部分图象如图所示,则f(0)=________.
答案 eq \f(\r(6),2)
解析 由图象可得A=eq \r(2),周期为4×eq \b\lc\(\rc\)(\a\vs4\al\c1(\f(7π,12)-\f(π,3)))=π,所以ω=2,将eq \b\lc\(\rc\)(\a\vs4\al\c1(\f(7π,12),-\r(2)))代入得2×eq \f(7π,12)+φ=2kπ+eq \f(3π,2),k∈Z,即φ=2kπ+eq \f(π,3),k∈Z,所以f(0)=eq \r(2)sin φ=eq \r(2)sin eq \f(π,3)=eq \f(\r(6),2).
8.已知函数f(x)=Asin(ωx+φ)eq \b\lc\(\rc\)(\a\vs4\al\c1(A>0,ω>0,-\f(π,2)<φ<\f(π,2)))的部分图象如图所示.
(1)求f(x)的解析式;
(2)写出f(x)的单调递增区间.
解 (1)易知A=eq \r(2),T=4×[2-(-2)]=16,
所以ω=eq \f(2π,T)=eq \f(π,8),所以f(x)=eq \r(2)sineq \b\lc\(\rc\)(\a\vs4\al\c1(\f(π,8)x+φ)),
将点(-2,0)代入得sineq \b\lc\(\rc\)(\a\vs4\al\c1(-\f(π,4)+φ))=0,
所以-eq \f(π,4)+φ=0+2kπ,k∈Z,
所以φ=eq \f(π,4)+2kπ,k∈Z,
因为-eq \f(π,2)<φ
(2)由-eq \f(π,2)+2kπ≤eq \f(π,8)x+eq \f(π,4)≤eq \f(π,2)+2kπ,k∈Z,
解得16k-6≤x≤16k+2,k∈Z,
所以f(x)的单调递增区间为[16k-6,16k+2],k∈Z.
9.已知函数f(x)=Asin(ωx+φ)eq \b\lc\(\rc\)(\a\vs4\al\c1(A>0,ω>0,|φ|<\f(π,2)))的一段图象如图所示.
(1)求f(x)的解析式;
(2)把f(x)的图象向左至少平移多少个单位长度,才能使得到的图象对应的函数为偶函数?
解 (1)由题意知A=3,T=eq \f(2π,ω)=eq \f(4,3)eq \b\lc\(\rc\)(\a\vs4\al\c1(4π-\f(π,4)))=5π,
所以ω=eq \f(2,5).
由f(x)=3sineq \b\lc\(\rc\)(\a\vs4\al\c1(\f(2,5)x+φ))的图象过点eq \b\lc\(\rc\)(\a\vs4\al\c1(\f(π,4),0)),
得sineq \b\lc\(\rc\)(\a\vs4\al\c1(\f(π,10)+φ))=0,
又|φ|
(2)由f(x+m)=3sineq \b\lc\[\rc\](\a\vs4\al\c1(\f(2,5)x+m-\f(π,10)))
=3sineq \b\lc\(\rc\)(\a\vs4\al\c1(\f(2,5)x+\f(2m,5)-\f(π,10)))为偶函数(m>0),
知eq \f(2m,5)-eq \f(π,10)=kπ+eq \f(π,2)(k∈Z),
即m=eq \f(5,2)kπ+eq \f(3π,2)(k∈Z).
因为m>0,所以mmin=eq \f(3π,2).
故至少把f(x)的图象向左平移eq \f(3π,2)个单位长度,才能使得到的图象对应的函数是偶函数.
10.已知函数f(x)=Asin(ωx+φ)+B的一部分图象如图所示,若A>0,ω>0,|φ|
答案 B
解析 由函数图象可知f(x)min=0,f(x)max=4.
所以A=eq \f(4-0,2)=2,B=eq \f(4+0,2)=2.
由周期T=eq \f(2π,ω)=4eq \b\lc\(\rc\)(\a\vs4\al\c1(\f(5π,12)-\f(π,6)))知ω=2.
由f eq \b\lc\(\rc\)(\a\vs4\al\c1(\f(π,6)))=4得2sineq \b\lc\(\rc\)(\a\vs4\al\c1(2×\f(π,6)+φ))+2=4,
sineq \b\lc\(\rc\)(\a\vs4\al\c1(\f(π,3)+φ))=1,
又|φ|
A.eq \r(2) B.-eq \r(2) C.1 D.-1
答案 D
解析 根据对称轴的定义,
因为函数y=f(x)=sin 2x+acs 2x的图象以直线x=-eq \f(π,8)为对称轴,那么到x=-eq \f(π,8)距离相等的x值对应的函数值应相等,
所以f eq \b\lc\(\rc\)(\a\vs4\al\c1(x-\f(π,8)))=f eq \b\lc\(\rc\)(\a\vs4\al\c1(-x-\f(π,8)))对任意x∈R成立.
令x=eq \f(π,8),得f eq \b\lc\(\rc\)(\a\vs4\al\c1(\f(π,8)-\f(π,8)))=f(0)=sin 0+acs 0=a,
f eq \b\lc\(\rc\)(\a\vs4\al\c1(-\f(π,8)-\f(π,8)))=f eq \b\lc\(\rc\)(\a\vs4\al\c1(-\f(π,4)))=sineq \b\lc\(\rc\)(\a\vs4\al\c1(-\f(π,2)))+acseq \b\lc\(\rc\)(\a\vs4\al\c1(-\f(π,2)))=-1,
所以a=-1.
12.设偶函数f(x)=Asin(ωx+φ)(A>0,ω>0,0<φ<π)的部分图象如图所示,△KLM为等腰直角三角形,∠KML=90°,|KL|=1,则f eq \b\lc\(\rc\)(\a\vs4\al\c1(\f(1,6)))的值为________.
答案 eq \f(\r(3),4)
解析 取K,L的中点N,则|MN|=eq \f(1,2),∴A=eq \f(1,2).
由T=2,得ω=π.
∵函数为偶函数,0<φ<π,∴φ=eq \f(π,2),
∴f(x)=eq \f(1,2)cs πx,∴f eq \b\lc\(\rc\)(\a\vs4\al\c1(\f(1,6)))=eq \f(1,2)cs eq \f(π,6)=eq \f(\r(3),4).
13.已知函数f(x)=sineq \b\lc\(\rc\)(\a\vs4\al\c1(ωx+\f(π,3)))(ω>0),f eq \b\lc\(\rc\)(\a\vs4\al\c1(\f(π,6)))=f eq \b\lc\(\rc\)(\a\vs4\al\c1(\f(π,3))),且f(x)在区间eq \b\lc\(\rc\)(\a\vs4\al\c1(\f(π,6),\f(π,3)))上有最小值,无最大值,则ω=________.
答案 eq \f(14,3)
解析 依题意知f(x)=sineq \b\lc\(\rc\)(\a\vs4\al\c1(ωx+\f(π,3)))(ω>0),f eq \b\lc\(\rc\)(\a\vs4\al\c1(\f(π,6)))=f eq \b\lc\(\rc\)(\a\vs4\al\c1(\f(π,3))),且f(x)在区间eq \b\lc\(\rc\)(\a\vs4\al\c1(\f(π,6),\f(π,3)))上有最小值,无最大值,
∴f(x)图象关于直线x=eq \f(\f(π,6)+\f(π,3),2)对称,
即关于直线x=eq \f(π,4)对称,且eq \f(π,3)-eq \f(π,6)
14.函数y=2sin πx-eq \f(1,1-x)(x∈[-2,1)∪(1,4])的所有零点之和为________.
答案 8
解析 函数y=2sin πx-eq \f(1,1-x)(x∈[-2,1)∪(1,4])的零点即方程2sin πx=eq \f(1,1-x)的根,
作函数y=2sin πx与y=eq \f(1,1-x)的图象如图所示:
由图可知共有8个公共点,所以原函数有8个零点.
y=2sin πx-eq \f(1,1-x)=2sin π(1-x)-eq \f(1,1-x),
令t=1-x,则y=2sin πt-eq \f(1,t),t∈[-3,0)∪(0,3],
该函数是奇函数,故零点之和为0.即t1+t2+…+t8=0,
从而x1+x2+…+x8=8,
所以原函数的零点之和为8.
15.已知函数f(x)=Asin(ωx+φ)eq \b\lc\(\rc\)(\a\vs4\al\c1(A>0,ω>0,|φ|<\f(π,2)))在一个周期内的图象如图所示.
(1)求函数f(x)的解析式;
(2)求方程f(x)-lg x=0的解的个数.
解 (1)由题图,知A=2,
由函数图象过点(0,1),得f(0)=1,即sin φ=eq \f(1,2),
又|φ|
所以eq \f(11π,12)ω+eq \f(π,6)=2π,所以ω=2.
因此所求函数的解析式为f(x)=2sineq \b\lc\(\rc\)(\a\vs4\al\c1(2x+\f(π,6))).
(2)在同一平面直角坐标系中作函数y=f(x)和函数y=lg x的图象如图所示.
因为f(x)的最大值为2,
令lg x=2,得x=100,
令eq \f(11π,12)+kπ<100(k∈Z),
得k≤30(k∈Z).
而eq \f(11π,12)+31π>100,
且eq \f(11π,12)+30π+eq \f(π,2)<100,
所以在区间(0,100]内有31个形如eq \b\lc\[\rc\](\a\vs4\al\c1(\f(11π,12)+kπ,\f(17π,12)+kπ))
(k∈Z,0≤k≤30)的区间.
在每个区间上y=f(x)与y=lg x的图象都有两个交点,故这两个函数的图象在eq \b\lc\[\rc\](\a\vs4\al\c1(\f(11π,12),100))上有2×31=62(个)交点.
另外,两函数的图象在eq \b\lc\(\rc\)(\a\vs4\al\c1(0,\f(11π,12)))上还有一个交点,
所以方程f(x)-lg x=0共有63个实数解.t
0
3
6
9
12
15
18
21
24
y
1.5
1.0
0.5
1.0
1.5
1.0
0.5
0.99
1.5
高中人教A版 (2019)第五章 三角函数5.6 函数 y=Asin( ωx + φ)导学案及答案: 这是一份高中人教A版 (2019)第五章 三角函数5.6 函数 y=Asin( ωx + φ)导学案及答案,共6页。学案主要包含了函数y=Asin的图象,函数y=Asin的性质等内容,欢迎下载使用。
【同步学案】高中数学人教A版(2019)必修第一册--5.6 函数y=Asin(ωx+φ) 学案(Word版含答案): 这是一份【同步学案】高中数学人教A版(2019)必修第一册--5.6 函数y=Asin(ωx+φ) 学案(Word版含答案),共37页。学案主要包含了考点梳理,题型归纳,双基达标,高分突破,答案详解等内容,欢迎下载使用。
人教A版 (2019)必修 第一册5.6 函数 y=Asin( ωx + φ)学案: 这是一份人教A版 (2019)必修 第一册5.6 函数 y=Asin( ωx + φ)学案,共13页。学案主要包含了平移变换,伸缩变换等内容,欢迎下载使用。

