- 5.3 诱导公式 同步练习题 试卷 1 次下载
- 5.4 三角函数的图象与性质 同步练习题 试卷 0 次下载
- 5.6 函数 y=Asin( ωx + φ) 同步练习题 试卷 0 次下载
- 5.7 三角函数的应用 同步练习题 试卷 0 次下载
- 5.8 第五章 三角函数 章末复习课 试卷 试卷 6 次下载
数学必修 第一册5.5 三角恒等变换精品课后测评
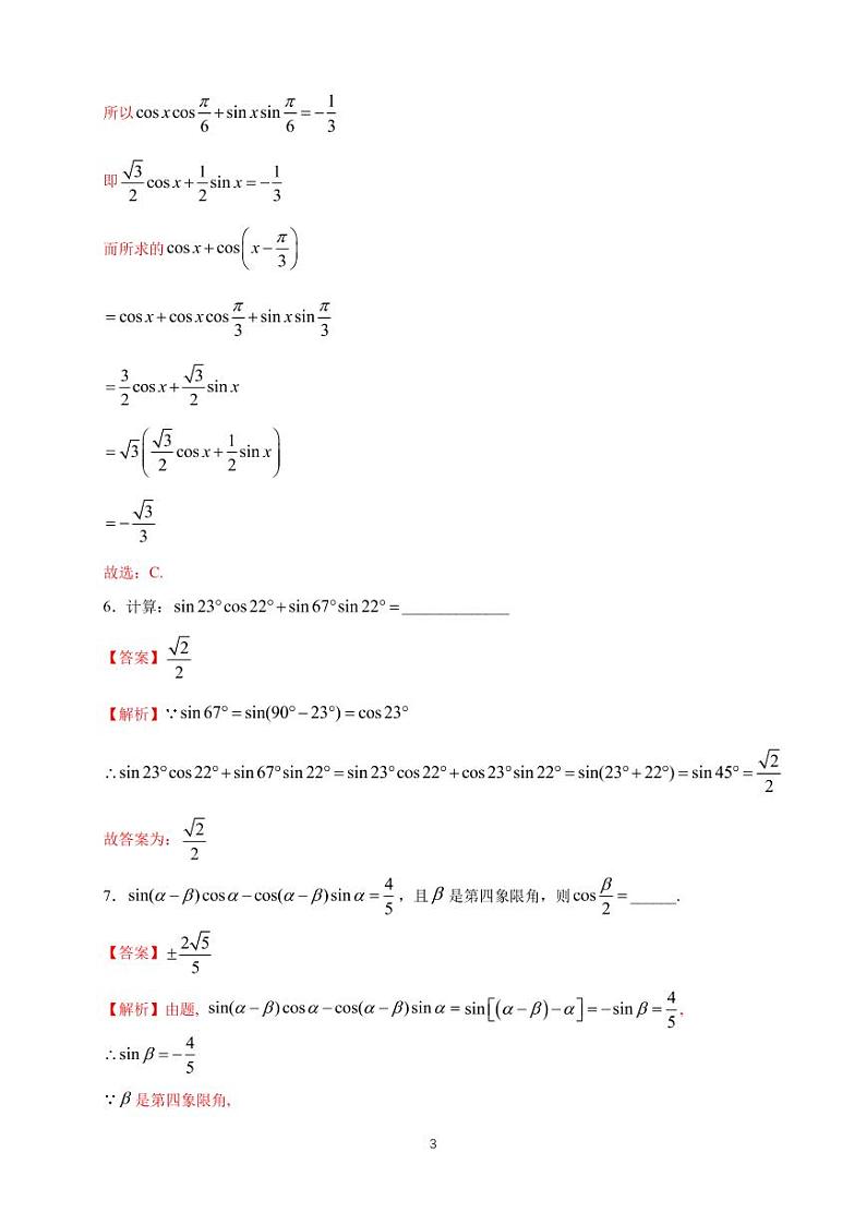
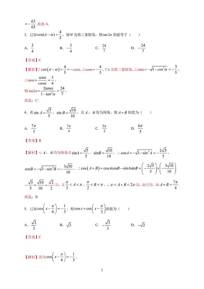
展开数学必修 第一册第五章 三角函数5.5 三角恒等变换精练: 这是一份数学必修 第一册第五章 三角函数5.5 三角恒等变换精练,共20页。试卷主要包含了已知,,其中,则,在中,若,,则的最小值为 ,已知中,,则 ,设、是非零实数,,若,则 等内容,欢迎下载使用。
高中数学5.5 三角恒等变换随堂练习题: 这是一份高中数学5.5 三角恒等变换随堂练习题,共9页。试卷主要包含了选择题,填空题,解答题等内容,欢迎下载使用。
高中数学人教A版 (2019)必修 第一册5.5 三角恒等变换精品测试题: 这是一份高中数学人教A版 (2019)必修 第一册5.5 三角恒等变换精品测试题,共3页。试卷主要包含了5 三角恒等变换,化简后等于,若,则, .等内容,欢迎下载使用。

