搜索
      上传资料 赚现金

      2026届高三数学二轮复习课件:专题突破 专题二 第三讲 数列的综合应用(含解析)

      • 4.22 MB
      • 2026-02-23 22:39:02
      • 13
      • 1
      加入资料篮
      立即下载
      17953398第1页
      高清全屏预览
      1/90
      17953398第2页
      高清全屏预览
      2/90
      17953398第3页
      高清全屏预览
      3/90
      17953398第4页
      高清全屏预览
      4/90
      17953398第5页
      高清全屏预览
      5/90
      17953398第6页
      高清全屏预览
      6/90
      17953398第7页
      高清全屏预览
      7/90
      17953398第8页
      高清全屏预览
      8/90
      还剩82页未读, 继续阅读

      2026届高三数学二轮复习课件:专题突破 专题二 第三讲 数列的综合应用(含解析)

      展开

      这是一份2026届高三数学二轮复习课件:专题突破 专题二 第三讲 数列的综合应用(含解析),共90页。PPT课件主要包含了探究真题明确方向,专题强化练,m-1,思维创新等内容,欢迎下载使用。
      2.(2024·北京,T14)汉代刘歆设计的“铜嘉量”是龠、合、升、斗、斛五量合一的标准量器,其中升量器、斗量器、斛量器的形状均可视为圆柱.若升、斗、斛量器的容积成公比为10的等比数列,底面直径依次为65 mm,325 mm,325 mm,且斛量器的高为230 mm,则斗量器的高为    mm,升量器的高为    mm.(不计量器的厚度) 
      (2)给定正整数m,设函数f(x)=a1x+a2x2+…+amxm,求f'(-2).
      命题热度:本讲是历年高考命题常考的内容,属于中高档题目,三种题型都有所考查,分值约为5~10分.
      考查方向:一是数列的实际应用,主要考查等差数列、等比数列的定义及运算;二是数列与其他知识的结合,主要考查数列与不等式、函数导数、解析几何、概率统计等结合,特别是与概率统计相结合,考查概率统计中的递推关系.
      考点二 数列与其他知识的交汇
      考点一 数列在实际问题中的应用
       (1)(2025·昆明模拟)天干地支纪年法源于中国,中国自古便有十天干与十二地支.十天干即:甲、乙,丙、丁、戊、己、庚、辛、壬、癸;十二地支即:子、丑、寅、卯、辰、巳、午、未、申、酉、戌、亥.天干地支纪年法是按顺序以一个天干和一个地支相配,排列起来,天干在前,地支在后,天干由“甲”起,地支由“子”起,比如第一年为“甲子”,第二年为“乙丑”,第三年为“丙寅”,…,以此类推,排列到“癸酉”后,天干回到“甲”重新开始,即“甲戌”,“乙亥”,之后地支回到“子”重新开始,即“丙子”,…,以此类推,2025年是乙巳年,请问:在100年后的2125年为A.癸未年 B.辛丑年 C.乙酉年 D.戊戌年
      (2)现将一圆形花坛从圆心向外栽种8圈某种花卉,圆心处栽1株(视为第一圈),第二圈栽3株花卉,从第二圈起,第n圈栽种花卉比第n-1圈多栽种2(n-1)(2≤n≤8,n∈N*)株,则第8圈栽种花卉A.57株B.56株C.55株D.54株
      数列应用问题首先要仔细审题,抓住数量关系建立数学模型,再设出数列,判断数列模型,利用数列的定义、公式和性质求解.常见数列模型:(1)等差模型:后一个量比前一个量增加(或减少)的是同一个固定值.(2)等比模型:后一个量与前一个量的比是同一个固定的非零常数.(3)递推数列模型:如果题目中给出的前后两项之间的关系不固定,随项的变化而变化,那么应考虑an与an+1(或者相邻三项)之间的递推关系,或者Sn与Sn+1(或者相邻三项)之间的递推关系.
       (2025·菏泽模拟)对于任意x∈R,xf(x+1)=(x+1)f(x)+1,且f(2)=3,则f(2 025)等于A.-1B.1C.2 025D.4 049
      数列与函数、不等式、几何、概率统计的综合问题,是高考命题的一个方向,考查逻辑推理、数学运算、数学建模等核心素养.解决此类问题,一是把数列看成特殊的函数,利用函数的图象、性质求解;二是将新数列问题转化为等差或等比数列,利用特殊数列的概念、公式、性质,结合不等式的相关知识求解.
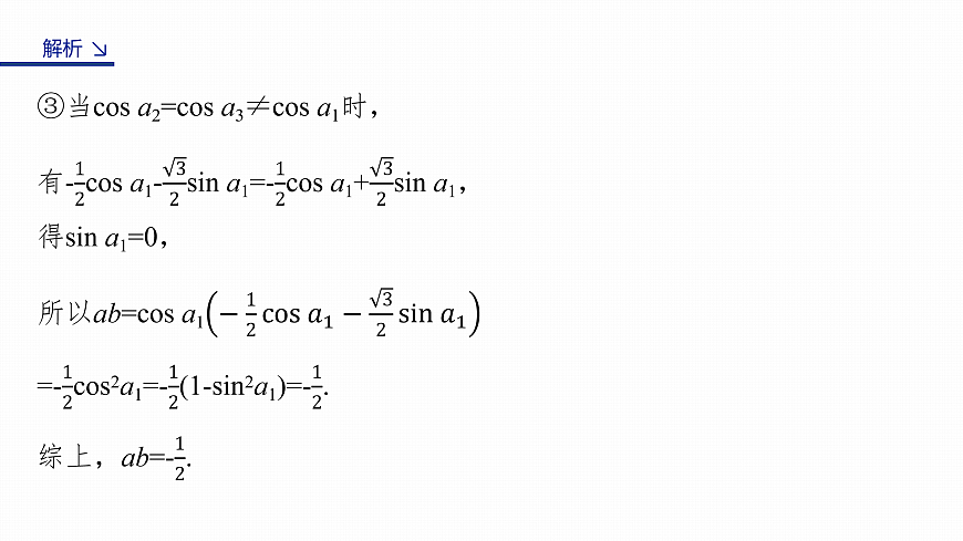
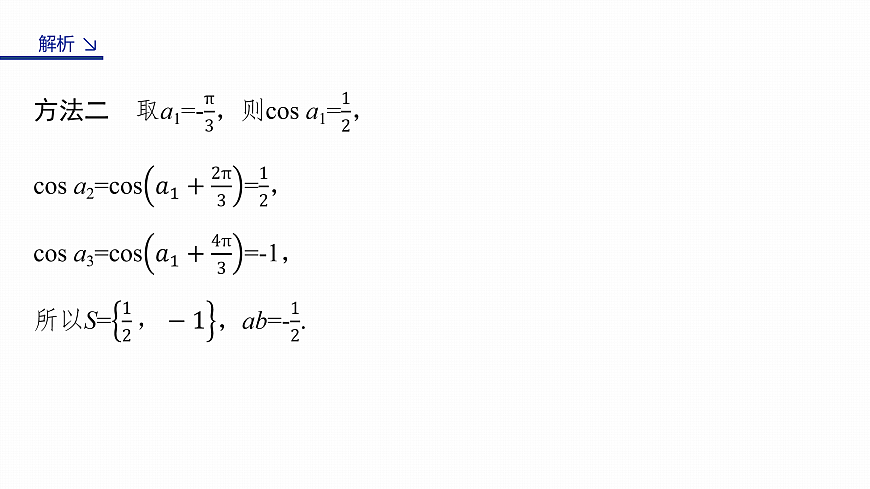
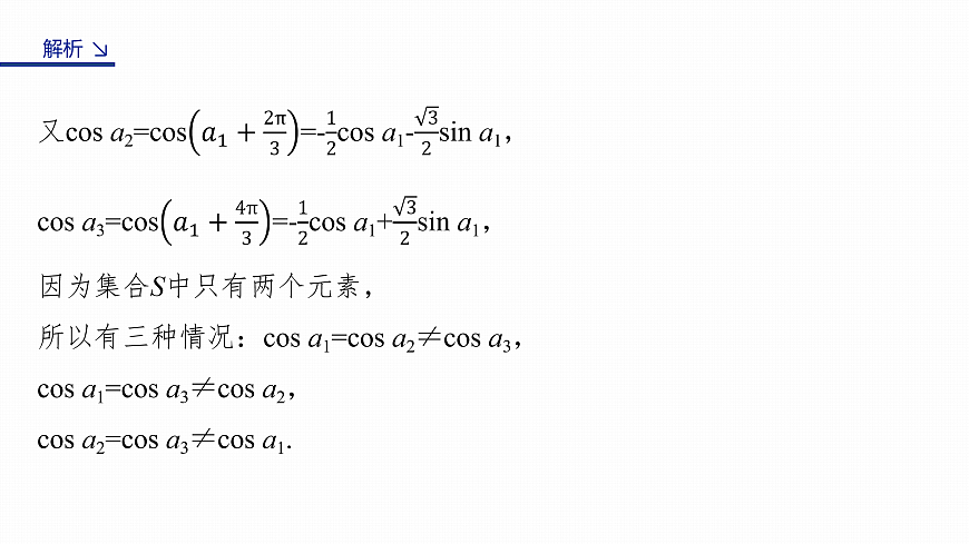
      (2)(2025·昆明模拟)已知函数f(x)=x3+x,数列{an}是等差数列,且a1 013

      相关课件

      2026届高三数学二轮复习课件:专题突破 专题二 第三讲 数列的综合应用(含解析):

      这是一份2026届高三数学二轮复习课件:专题突破 专题二 第三讲 数列的综合应用(含解析),共90页。PPT课件主要包含了探究真题明确方向,专题强化练,m-1,思维创新等内容,欢迎下载使用。

      2026届高三数学二轮复习课件:专题突破 专题二 第一讲 等差数列、等比数列(含解析):

      这是一份2026届高三数学二轮复习课件:专题突破 专题二 第一讲 等差数列、等比数列(含解析),共95页。PPT课件主要包含了探究真题明确方向,专题强化练,思维创新等内容,欢迎下载使用。

      2026届高三数学二轮复习课件:专题突破 专题二 第二讲 数列求和(含解析):

      这是一份2026届高三数学二轮复习课件:专题突破 专题二 第二讲 数列求和(含解析),共81页。PPT课件主要包含了探究真题明确方向,考点二裂项相消法,考点一分组求和法,专题强化练,考点三错位相减法,规律方法,思维创新,2求An和Pn等内容,欢迎下载使用。

      资料下载及使用帮助
      版权申诉
      • 1.电子资料成功下载后不支持退换,如发现资料有内容错误问题请联系客服,如若属实,我们会补偿您的损失
      • 2.压缩包下载后请先用软件解压,再使用对应软件打开;软件版本较低时请及时更新
      • 3.资料下载成功后可在60天以内免费重复下载
      版权申诉
      若您为此资料的原创作者,认为该资料内容侵犯了您的知识产权,请扫码添加我们的相关工作人员,我们尽可能的保护您的合法权益。
      入驻教习网,可获得资源免费推广曝光,还可获得多重现金奖励,申请 精品资源制作, 工作室入驻。
      版权申诉二维码
      高考专区
      • 精品推荐
      • 所属专辑122份
      欢迎来到教习网
      • 900万优选资源,让备课更轻松
      • 600万优选试题,支持自由组卷
      • 高质量可编辑,日均更新2000+
      • 百万教师选择,专业更值得信赖
      微信扫码注册
      手机号注册
      手机号码

      手机号格式错误

      手机验证码 获取验证码 获取验证码

      手机验证码已经成功发送,5分钟内有效

      设置密码

      6-20个字符,数字、字母或符号

      注册即视为同意教习网「注册协议」「隐私条款」
      QQ注册
      手机号注册
      微信注册

      注册成功

      返回
      顶部
      学业水平 高考一轮 高考二轮 高考真题 精选专题 初中月考 教师福利
      添加客服微信 获取1对1服务
      微信扫描添加客服
      Baidu
      map