搜索
      上传资料 赚现金

      2026届高三数学二轮复习课件:专题2 数列 第3讲 数列求和的方法(含解析)

      • 1.39 MB
      • 2026-02-23 22:45:42
      • 10
      • 1
      加入资料篮
      立即下载
      17953355第1页
      高清全屏预览
      1/29
      17953355第2页
      高清全屏预览
      2/29
      17953355第3页
      高清全屏预览
      3/29
      17953355第4页
      高清全屏预览
      4/29
      17953355第5页
      高清全屏预览
      5/29
      17953355第6页
      高清全屏预览
      6/29
      17953355第7页
      高清全屏预览
      7/29
      17953355第8页
      高清全屏预览
      8/29
      还剩21页未读, 继续阅读

      2026届高三数学二轮复习课件:专题2 数列 第3讲 数列求和的方法(含解析)

      展开

      这是一份2026届高三数学二轮复习课件:专题2 数列 第3讲 数列求和的方法(含解析),共29页。PPT课件主要包含了理知识,链高考等内容,欢迎下载使用。
      考点一 分组求和与并项求和
      考点二 裂项相消法求和
      目 录 索 引
      考点三 错位相减法求和
      1.分组求和法:若一个数列的通项公式是由若干个等差数列或等比数列或者是可求和数列组成的,则使用分组求和法,各组内分别求和后再相加减.2.并项求和法:一个数列的前n项和中,若两两结合能呈现规律性的变化,此时可并项求和.形如an=(-1)nf(n)类型的数列求和,常采用两项合并求解.[微提醒]在并项求和时,要注意项数的奇偶,这决定着项能否恰好两两合并.
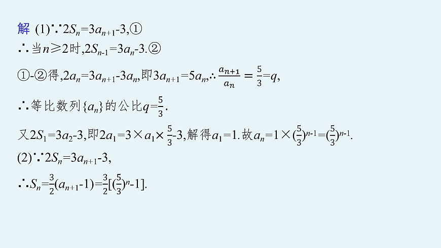
      (2024全国甲,文17)记Sn为等比数列{an}的前n项和,已知2Sn=3an+1-3.(1)求{an}的通项公式;(2)求数列{Sn}的通项公式.
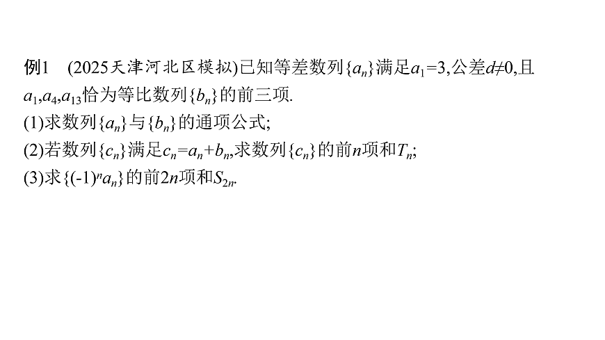
      例1 (2025天津河北区模拟)已知等差数列{an}满足a1=3,公差d≠0,且a1,a4,a13恰为等比数列{bn}的前三项.(1)求数列{an}与{bn}的通项公式;(2)若数列{cn}满足cn=an+bn,求数列{cn}的前n项和Tn;(3)求{(-1)nan}的前2n项和S2n.
      变式探究(变结论)本例条件不变,求数列{(-1)nan}的前n项和Sn.
      如果数列{an}是等差数列,{bn}是等比数列,求数列{anbn}的前n项和时,常采用错位相减法.
      (2024全国甲,理18)记Sn为数列{an}的前n项和,已知4Sn=3an+4.(1)求{an}的通项公式;(2)设bn=(-1)n-1nan,求数列{bn}的前n项和Tn.

      相关课件

      2026届高三数学二轮复习课件:专题2 数列 第3讲 数列求和的方法(含解析):

      这是一份2026届高三数学二轮复习课件:专题2 数列 第3讲 数列求和的方法(含解析),共29页。PPT课件主要包含了理知识,链高考等内容,欢迎下载使用。

      2026届高三数学二轮复习课件专题2 数列 第3讲 数列求和的方法:

      这是一份2026届高三数学二轮复习课件专题2 数列 第3讲 数列求和的方法,共29页。

      2026届高三数学二轮复习课件:专题突破 专题二 第二讲 数列求和(含解析):

      这是一份2026届高三数学二轮复习课件:专题突破 专题二 第二讲 数列求和(含解析),共81页。PPT课件主要包含了探究真题明确方向,考点二裂项相消法,考点一分组求和法,专题强化练,考点三错位相减法,规律方法,思维创新,2求An和Pn等内容,欢迎下载使用。

      资料下载及使用帮助
      版权申诉
      • 1.电子资料成功下载后不支持退换,如发现资料有内容错误问题请联系客服,如若属实,我们会补偿您的损失
      • 2.压缩包下载后请先用软件解压,再使用对应软件打开;软件版本较低时请及时更新
      • 3.资料下载成功后可在60天以内免费重复下载
      版权申诉
      若您为此资料的原创作者,认为该资料内容侵犯了您的知识产权,请扫码添加我们的相关工作人员,我们尽可能的保护您的合法权益。
      入驻教习网,可获得资源免费推广曝光,还可获得多重现金奖励,申请 精品资源制作, 工作室入驻。
      版权申诉二维码
      高考专区
      • 精品推荐
      • 所属专辑122份
      欢迎来到教习网
      • 900万优选资源,让备课更轻松
      • 600万优选试题,支持自由组卷
      • 高质量可编辑,日均更新2000+
      • 百万教师选择,专业更值得信赖
      微信扫码注册
      手机号注册
      手机号码

      手机号格式错误

      手机验证码 获取验证码 获取验证码

      手机验证码已经成功发送,5分钟内有效

      设置密码

      6-20个字符,数字、字母或符号

      注册即视为同意教习网「注册协议」「隐私条款」
      QQ注册
      手机号注册
      微信注册

      注册成功

      返回
      顶部
      学业水平 高考一轮 高考二轮 高考真题 精选专题 初中月考 教师福利
      添加客服微信 获取1对1服务
      微信扫描添加客服
      Baidu
      map