搜索
      上传资料 赚现金

      2026学年苏科版数学初三中考复习几何专题28 相似三角形与动点相关的问题(讲义)(解析版)

      • 1.26 MB
      • 2026-01-19 16:36:44
      • 16
      • 1
      • 教习网241552
      加入资料篮
      立即下载
      2026学年苏科版数学初三中考复习几何专题28 相似三角形与动点相关的问题(讲义)(解析版)第1页
      高清全屏预览
      1/33
      2026学年苏科版数学初三中考复习几何专题28 相似三角形与动点相关的问题(讲义)(解析版)第2页
      高清全屏预览
      2/33
      2026学年苏科版数学初三中考复习几何专题28 相似三角形与动点相关的问题(讲义)(解析版)第3页
      高清全屏预览
      3/33
      还剩30页未读, 继续阅读

      2026学年苏科版数学初三中考复习几何专题28 相似三角形与动点相关的问题(讲义)(解析版)

      展开

      这是一份2026学年苏科版数学初三中考复习几何专题28 相似三角形与动点相关的问题(讲义)(解析版),共33页。学案主要包含了典例讲解等内容,欢迎下载使用。
      一、解答题
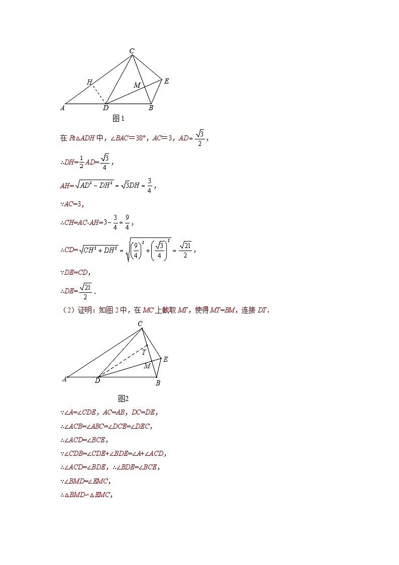
      1.如图1,等腰△ABC中,AB=AC,D为AB上一点,等腰△CDE,CD=DE,∠BAC=∠EDC,DE交BC于点M,连接BE.
      (1)如图1,若∠BAC=30°,AC=3,AD,求DE的长度;
      (2)如图2.若DM⊥BC求证:2MB+EB=BC.
      (3)如图3,∠A=30°,AC∥DE,CN⊥AB,EF⊥CE,延长DB至点H,使得DH=DE,试判断FM与FN的数量关系,并写出证明过程.
      【答案】(1);(2)见解析;(3),理由见解析
      【解析】
      【分析】
      (1)如图1中,过点D作DH⊥AC于H.解直角三角形求出AH,DH,CH,利用勾股定理求出CD即可.
      (2)如图2中,在MC上截取MT,使得MT=BM,连接DT.想办法证明△DCT≌△DEB,推出CT=BE,可得结论.
      (3)如图3中,结论:FM=2FN.证明△FEH是等边三角形,FM=FB,∠FBN=30°,可得结论.【详解】
      (1)解:如图1中,过点D作DH⊥AC于H.
      在Rt△ADH中,∠BAC=30°,AC=3,AD,
      ∴DH=AD=,
      AH=,
      ∵AC=3,
      ∴CH=AC-AH=,
      ∴CD=,
      ∵DE=CD,
      ∴DE=.
      (2)证明:如图2中,在MC上截取MT,使得MT=BM,连接DT.
      ∵∠A=∠CDE,AC=AB,DC=DE,
      ∴∠ACB=∠ABC=∠DCE=∠DEC,
      ∴∠ACD=∠BCE,
      ∵∠CDB=∠CDE+∠BDE=∠A+∠ACD,
      ∴∠ACD=∠BDE,∴∠BDE=∠BCE,
      ∵∠BMD=∠EMC,
      ∴△BMD∽△EMC,

      ∵∠CMD=∠BME,
      ∴△BME∽△DMC,
      ∴∠BEM=∠DCM,∠EBM=∠CDM,
      ∵∠DCE+∠CDE+∠CED=180°,∠CDE=∠EBM,∠CED=∠CBD,
      ∴∠DCE+∠EBM+∠CBD=180°,
      ∴∠DCE+∠DBE=∠DBC+∠DBE=180°,
      ∵DE⊥BT,MT=MB,
      ∴DT=DB,
      ∴∠DTB=∠DBC,
      ∵∠DTB+∠DTC=180°,
      ∴∠DTC=∠DBE,
      ∵DC=DE,
      ∴△DCT≌△DEB(AAS),
      ∴CT=BE,
      ∴BC=BT+CT=2BM+BE.
      (3)解:如图3中,结论:FM=2FN.理由如下:
      连接DF,BF,FH.
      ∵AC=AB,DC=DE,∠A=∠CDE=30°,
      ∴∠ACB=∠ABC=∠DCE=∠DEC=75°,
      ∵DE∥AC,
      ∴∠DMB=∠ACB=∠CME=∠ABC=75°,∠EDB=∠A=30°,∠ACD=∠CDE=30°,
      ∴∠CDE=∠HDE=30°,
      ∵DC=DE=DH,
      ∴△DEC≌△DEH(SAS),
      ∴EC=EH,
      ∵CN⊥AH,
      ∴∠ACN=60°,
      ∴∠ACD=∠DCN=30°,
      ∵∠DCE=75°,
      ∴∠ECF=45°,
      ∵EC⊥EF,
      ∴△ECF是等腰直角三角形,
      ∴EC=EF=EH,
      ∵∠FEH=75°+75°-90°=60°,
      ∴△EFH是等边三角形,
      ∴FE=FH,
      ∵DE=DH,DF=DF,
      ∴△DFE≌△DFH(SSS),
      ∴∠EDF=∠HDF=15°,
      ∴∠MDF=∠MCF=15°,
      同理可得∠DCM+∠DFM=180°,
      ∵∠DCM=45°,
      ∴∠DFM=∠DFB=135°,
      ∴∠BFM=90°,
      ∵DF=DF,∠FDM=∠FDB,DM=DB,
      ∴△DFM≌△DFB(SAS),∴FM=FB,
      ∴∠FBM=45°,
      ∵∠CBN=90°-15°=75°,
      ∴∠FBN=30°,
      ∴BF=2FN,
      ∴FM=2FN.
      【点睛】
      本题考查了相似三角形的判定和性质,全等三角形的判定和性质,等边三角形的判定和性质等知识,含30度角的直角三角形的性质,添加常用辅助线,构造全等三角形解决问题是解题的关键.
      2.(1)如图1,Rt△ABC与Rt△ADE,∠ADE=∠ABC=90°,,连接BD,CE.求证:.
      (2)如图2,四边形ABCD,∠BAD=∠BCD=90°,且,连接BC,BC、AC、CD之间有何数量关系?
      小明在完成本题中,如图3,使用了“旋转放缩”的技巧,即将△ABC绕点A逆时针旋转90°,并放大2倍,点B对应点D.点C落点为点E,连接DE,请你根据以上思路直接写出BC,AC,CD之间的关系.
      (3)拓展:如图4,矩形ABCD,E为线段AD上一点,以CE为边,在其右侧作矩形CEFG,且,AB=5,连接BE,BF.求BE+BF的最小值.
      【答案】(1)见解析;(2);(3)
      【解析】
      【分析】
      (1)根据已知条件直接证明,再证明,从而可得,设,则,根据勾股定理求得,求得,即可得证;
      (2)根据题意可知,,设则,求得,分别求得,根据,即可求得;
      (3)根据(2)的方法,旋转放缩,缩小为原来的,使得的落点为,的落点为,过点作于点,交的延长线于点,作点关于的对称点,连接,则,当点三点共线时,取等于号,接下来根据相似的性质分别求得各边的长度,最后根据勾股定理求得即可求得最小值
      【详解】
      (1)∠ADE=∠ABC=90°,

      设,则,
      (2)∠BAD=∠BCD=90°,且
      将△ABC绕点A逆时针旋转90°,并放大2倍,点B对应点D.点C落点为点E,




      三点共线,
      ,设则
      (3)如图,设,将绕点逆时针旋转,并缩小为原来的,
      使得的落点为,的落点为,
      过点作于点,交的延长线于点,
      作点关于的对称点,连接
      则,
      当点三点共线时,取等于号
      由作图知:, 且,
      ,AB=5
      ,

      四边形是矩形
      在中
      在中,
      四边形是矩形
      ,
      四边形是矩形
      ,
      在中,
      的最小值为【点睛】
      本题考查了三角形相似的性质与判定,旋转放缩法构造相似三角形,线段和最值问题,勾股定理,正确的作出图形和辅助线是解题的关键.
      3.在菱形ABCD中,AB=4,∠A=120°,点E是AB的中点,点F在边BC上,连接DE,EF.
      (1)取AD中点G,连接EF,EG.DE与FG交于点H.
      ①如图1,当点F与点B重合时,求证:△EGH∽△DBH.
      ②如图2,当∠EDF=2∠GED时,求线段EF的长.
      (2)连接AF,如图3,当∠DEF=∠BAF时,求BF的长.
      【答案】(1)见解析;(2)2;(3).
      【解析】
      【分析】
      (1)利用三角形中位线定理,得到平行线,得到∠GEH=∠BDH,∠EGH=∠DBH,得证△EGH∽△DBH;
      (2)连接BD,根据EG是中位线,∠EDF=2∠GED,可证明∠ADE=∠CDF,根据菱形的性质,可得△ADE≌△CDF,得AE=CF=2,得BE=BF,再根据∠B=60°证明△BEF是等边三角形,即可得EF=BE=2;
      (3)延长线段DE交BC延长线于N,过E点作EK⊥BC,垂足为K,根据△EFM∽△AFE,设相似比,继而得出,再由列方程求出k和BF即可.
      【详解】
      解:(1)∵点E是AB的中点,AD中点G,
      ∴EG//BD,
      ∴∠GEH=∠BDH,∠EGH=∠DBH,
      ∴△EGH∽△DBH;
      (2)如解(2)图,连接BD,
      由(1)EG//BD,
      ∴∠GED=∠EDB,
      ∵∠EDF=2∠GED,
      ∴∠EDF=2∠EDB=∠EDB+∠FDB,
      ∴∠EDB=∠FDB,
      ∵四边形ABCD是菱形,
      ∴∠ADB=∠CDB,∠DAE=∠DCF,AD=DC,
      ∴∠ADB-∠EDB =∠CDB-∠FDB,即∠ADE=∠CDF,
      ∴△ADE≌△CDF(ASA),
      ∴AE=CF=2,
      ∴BE=BF=2,
      ∵四边形ABCD是菱形,∠A=120°,
      ∴∠B=60°,
      ∴△BEF是等边三角形,
      ∴EF=BE=2;
      (3)如解(3)图,延长线段DE交BC延长线于N,过E点作EK⊥BC,垂足为K,
      ∵在四边形ABCD是菱形中,,
      ∴△ADE∽△BNE,∴,
      ∴,,
      ∵,,
      ∴在中,,
      ∵∠DEF=∠BAF,∠AFE=∠EFM,
      ∴△EFM∽△AFE,
      设相似比,,
      则 ,,,
      ∴,
      ∵,
      ∴,,


      ∴,
      ∴,
      整理得,
      ∴,(舍去),
      将代入并整理得:,
      解得.
      【点睛】
      本题综合考查了全等三角形、相似三角形的性质和判定、菱形的性质、三角形中位线等知识,解题关键是利用全等三角形或相似三角形求出线段之间的关系,本题设参数解方程是难点,要求有较强的计算能力.
      4.如图,四边形ABCD中,AD=CD,∠DAB=∠ACB=90°,过点D作DE⊥AC,垂足为F,DE与AB相交于点E.
      (1)求证:AB·AF=CB·CD;
      (2)已知AB=15 cm,BC=9 cm,P是射线DE上的动点.设DP=x cm(),四边形BCDP的面积为y cm2.
      ①求y关于x的函数关系式;
      ②当x为何值时,△PBC的周长最小,并求出此时y的值.
      【答案】(1)见解析;(2)①();②当时,△PBC的周长最小,此时.
      【解析】
      【分析】
      (1)由已知条件易证△DCF∽△ABC,可得,即可得AB·AF=CB·CD;
      (2)①由勾股定理求得AC=12,即可得CF=AF=6,根据四边形BCDP的面积=△DCP的面积+△BCP的面积即可得y关于x的函数关系式;
      ②由题意可知△PBC的周长最小,就是PB+PC最小,当当P、A、B三点共线时PB+PA最小.这时求得x、y的值即可.
      【详解】
      (1)证明:∵AD=CD,DE⊥AC,
      ∴DE垂直平分AC
      ∴AF=CF,∠DFA=∠DFC=90°,∠DAF=∠DCF.
      ∵∠DAB=∠DAF+∠CAB=90°,∠CAB+∠B=90°,
      ∴∠DCF=∠DAF=∠B
      在Rt△DCF和Rt△ABC中,
      ∠DFC=∠ACB=90°,∠DCF=∠B
      ∴△DCF∽△ABC
      ∴,即.∴AB·AF=CB·CD
      (2)解①∵AB=15 BC=9 ∠ACB=90°
      ∴AC===12
      ∴CF=AF=6
      ∴y=(x+9)×6=3x+27(x>0)
      ②∵BC=9(定值),
      ∴△PBC的周长最小,就是PB+PC最小.
      由(1)可知,点C关于直线DE的对称点是点A,
      ∴PB+PC=PB+PA,故只要求PB+PA最小.
      显然当P、A、B三点共线时PB+PA最小.
      此时DP=DE,PB+PA=AB.
      由(1),∠ADF=∠FAE,∠DFA=∠ACB=90°,得△DAF∽△ABC.
      由EF∥BC,得AE=BE=AB=,EF=.
      ∴AF∶BC=AD∶AB,
      即6∶9=AD∶15.
      ∴AD=10.
      Rt△ADF中,AD=10,AF=6,∴DF=8.
      ∴DE=DF+FE=8+=.
      ∴当x=时,△PBC的周长最小,此时y=
      5.如图,在△ABC中,已知AB=AC=5,BC=6,且△ABC≌△DEF,将△DEF与△ABC重合在一起,△ABC不动,△DEF运动,并满足:点E在边BC上沿B到C的方向运动,且DE始终经过点A,EF与AC交于M点.
      (1)求证:△ABE∽△ECM;
      (2)探究:在△DEF运动过程中,重叠部分能否构成等腰三角形?若能,求出BE的长;若不能,请说明理由;
      (3)当线段BE为何值时,线段AM最短,最短是多少?
      【答案】(1)证明见解析;(2)能;BE=1或.(3)BE=3时,AM最短为.
      【解析】
      【分析】
      (1)由AB=AC,根据等边对等角,可得∠B=∠C,又由△ABC≌△DEF与三角形外角的性质,易证得∠CEM=∠BAE,则可证得△ABE∽△ECM;
      (2)首先由∠AEF=∠B=∠C,且∠AME>∠C,可得AE≠AM,然后分别从AE=EM与AM=EM去分析,注意利用全等三角形与相似三角形的性质求解即可求得答案;
      (3)首先设BE=x,由△ABE∽△ECM,根据相似三角形的对应边成比例,易得CM=﹣+x=﹣(x﹣3)2+,继而求得AM的值,利用二次函数的性质,即可求得线段AM的最小值.
      【详解】
      (1)∵AB=AC,∴∠B=∠C.
      ∵△ABC≌△DEF,∴∠AEF=∠B.
      又∵∠AEF+∠CEM=∠AEC=∠B+∠BAE,∴∠CEM=∠BAE,∴△ABE∽△ECM;
      (2)能.
      ∵∠AEF=∠B=∠C,且∠AME>∠C,∴∠AME>∠AEF,∴AE≠AM;
      ①当AE=EM时,则△ABE≌△ECM,∴CE=AB=5,∴BE=BC﹣EC=6﹣5=1;
      ②当AM=EM时,则∠MAE=∠MEA.
      ∵∠MEA=∠B,∴∠MAE=∠B.
      ∵∠C=∠C,∴△CAE∽△CBA,∴,∴CE=,∴BE=6﹣=.
      综上所述:BE=1或.
      (3)设BE=x.
      又∵△ABE∽△ECM,∴,即:,∴CM=﹣+x=﹣(x﹣3)2+,∴AM=5﹣CM=(x﹣3)2+,∴当x=3时,AM最短为.
      【点睛】
      本题考查了相似三角形的判定与性质、全等三角形的判定与性质以及二次函数的最值问题.此题难度较大,注意数形结合思想、分类讨论思想与函数思想的应用是解答此题的关键.
      6.在正方形ABCD中,P为AB边上一点,将△BCP沿CP折叠,得到△FCP.
      (1)如图1,延长PF交AD于E,求证:EF=ED;
      (2)如图2,DF,CP的延长线交于点G,求的值.
      【答案】(1)证明见解析(2)
      【解析】
      【分析】
      (1)连接CE,通过全等三角形的判定,得到Rt△CFE≌Rt△CDE,进而得出结论;
      (2)连接BG、BF、BD,作CH⊥DF,垂足为H.依据△CFG≌△CBG,可得GF=GB,进而得出△GBF是等腰直角三角形,故BF=BG.再判定△BGA∽△FBD,即可得到.
      【详解】
      (1)如图1,连接CE,
      ∵四边形ABCD是正方形,
      ∴BC=CD,∠B=∠D=90°.
      ∵△PBC和△FPC关于PC对称,
      ∴BC=CF,∠B=∠PFC=90°.∴∠EFC=90°.
      ∴∠EFC=∠D=90°,CF=CD.
      ∵CE=CE,
      ∴Rt△EFC≌Rt△DFC(HL).
      ∴EF=ED.
      (2)如图2,连接BG、BF、BD,作CH⊥DF,垂足为H.
      ∵四边形ABCD是正方形,
      ∴BC=CD.
      ∵CH⊥DF,
      ∴∠HCF=,
      ∵△PBC和△FPC关于PC对称,
      ∴BC=CF,∠FCG=∠BCG.
      ∴EB⊥CG.
      又∵CG=CG,
      ∴△CFG≌△CBG.
      ∴GF=GB.
      ∵∠HCF=,∠FCG=∠BCG=,
      ∴∠HCK==45°.
      ∴∠PFH=135°.
      ∴∠GFB=45°.
      ∴∠GBF=45°.
      ∴△GBF是等腰直角三角形.
      ∴.∵∠ABD=45°,
      ∴∠GBA=∠FBD.
      ∵,
      ∴△BGA∽△FBD.
      ∴.
      【点睛】
      本题主要考查了全等三角形的判定与性质,相似三角形的判定与性质,勾股定理,等腰直角三角形的判定与性质的综合运用,解决问题的关键是作辅助线构造等腰直角三角形,全等三角形以及相似三角形,利用相似三角形的对应边成比例得出结论.
      7.在矩形中,,,点是边上一点,交于点,点在射线上,且是和的比例中项.
      (1)如图1,求证:;
      (2)如图2,当点在线段之间,联结,且与互相垂直,求的长;
      (3)联结,如果与以点、、为顶点所组成的三角形相似,求的长.
      【答案】(1)详见解析;(2);(3)的长分别为或3.
      【解析】
      【分析】
      (1)由比例中项知 ,据此可证 得,再证明 可得答案;
      (2)先证 ,结合 ,得 ,从而知 ,据此可得 ,由(1)得,据此知 ,求得 ;(3)分 和 两种情况分别求解可得.
      【详解】
      (1)证明:∵是和的比例中项










      (2)解:∵与互相垂直




      由(1)得


      ∴∵,,


      由(1)得






      (3)∵,
      又,由(1)得

      当与以点、、为顶点所组成的三角形相似时
      1) ,如图

      由(2)得:
      2),如图
      过点作,垂足为点
      由(1)得

      ∴又
      设,则,,

      ∴,解得

      综上所述,的长分别为或3.
      【点睛】
      本题考查了相似三角形的判定定理,利用三角形相似以及相关的等量关系来求解MN和DE的长.
      8.如图,在矩形的边上取一点,连接并延长和的延长线交于点,过点作的垂线与的延长线交于点,与交于点,连接.
      (1)当且时,求的长;
      (2)求证:;
      (3)连接,求证:.
      【答案】(1);(2)见解析;(3)见解析
      【解析】
      【分析】
      (1)根据已知条件先求出CE的长,再证明,在Rt△CHE中解三角形可求得EH的长,最后利用勾股定理求CH的长;
      (2)证明,进而得出结果;
      (3)由(2)得,进而,即,再结合,可得出,进一步得出结果.
      【详解】
      (1)解:∵矩形,,
      ∴.
      而,,
      ∴,
      又∵,,∴,
      易得.
      ∴,∴.
      ∴.
      (2)证明:∵矩形,,
      ∴,而,
      ∴,∴,
      ∴;
      (3)证明:由(2)得,
      ∴,即,
      而,
      ∴,
      ∴.
      【点睛】
      本题主要考查相似三角形的判定与性质以及解直角三角形,关键是掌握基本的概念与性质.
      9.如图,已知:在矩形ABCD中,AB=2,BC=4,P是对角线BD上的一个动点,作PF⊥BD于P,交边BC于点F(点F与点B、C都不重合),E是射线FC上一动点,连接PE、ED,并一直保持∠EPF=∠FBP,设B、P两点的距离为x,△DEP的面积为y
      (1)求出tan∠PBF;
      (2)求y关于x的函数解析式,并写出自变量的取值范围
      (3)当△DEP与△BCD相似时,求△DEP的面积
      【答案】(1);(2);(3)当∠DEP=90°时,面积为;当∠PDE=90°时,面积为
      【解析】
      【分析】
      (1)利用矩形的性质以及锐角三角函数关系进而得出,即可得出tan∠PBF的值;
      (2)首先根据相似三角形的判定定理得出,然后利用相似三角形的性质进而得出,即可求出y与x的函数关系;
      (3)利用当△DEP与△BCD相似时,只有两种情况:∠DEP=∠C=90°或∠EDP=∠C=90°,分别利用勾股定理和相似三角形的性质计算得出答案即可.
      【详解】
      (1)∵四边形ABCD是矩形,



      ,即
      如图,作垂足为H,则

      设则,
      ,

      由勾股定理得:
      =

      当△DEP与△BCD相似时,
      只有两种情况:∠DEP=∠C=90°或∠EDP=∠C=90°
      ①当∠DEP=90°,
      ∵∠DPE+∠PDE=90°即
      ∠PDE=∠CBD
      ∴BE=DE
      设CE=a,则BE=DE=4-a
      在Rt△DEC中,勾股定理得
      解之
      则,
      又∵△BCD的面积=4
      ②当∠EDP=90°,如图2,
      【点睛】
      本题考查了相似三角形的判定和性质,勾股定理的运用,二次函数几何问题的应用,解决本题的关键是正确理解题意,熟练掌握相似三角形的判定定理,能够根据几何问题中各量之间的数量关系列出相应的函数关系式.
      10.在四边形ABCD中,点E是对角线BD上一点,点Q是AD边上一点,BQ交AE于点P,∠ABQ=∠DAE,点F是AB边的中点.
      (1)当四边形ABCD是正方形时,如图(1).
      ①若BE=BA,求证:△ABP≌△EBP;
      ②若BE=4DE,求证:AF2=AQ·AD.
      (2)当四边形ABCD是矩形时,如图(2),连接FQ,FD.若BE=4DE,求证:∠AFQ=∠ADF.
      【答案】(1)①证明见解析;②证明见解析;(2)证明见解析.【解析】
      【分析】
      (1)①由HL可证明Rt△ABPRt△EBP;
      ②证明:过点E作EG⊥AD于点G可得△DEG∽△DBA,可得,以及△BAQ∽△AGE,可得,设DG=a,则GE=a,DA=5a,AB=5a,AG=4a.AQ=,代入即可证明:AF2=AQ·AD;
      (2)延长AE交于CD边于点H,设DH=m,由AB∥CD,可得△DEH∽△BEA,可得AF=2m,由△BAQ∽△ADH,可得 即AQ·DA=DH·AB=4m2=AF2,可证△AFQ∽△ADF,即可得出∠AFO=∠ADF.
      【详解】
      (1)①证明:在正方形ABCD中,∠ABQ=∠DAE.
      ∵∠ABQ+∠BAP=∠DAE+∠BAP=∠BAD=90°,
      ∴∠BPA=∠BPE=90°.
      在Rt△ABP和Rt△EBP中,

      ∴Rt△ABPRt△EBP
      ②证明:过点E作EG⊥AD于点G,如图
      ∴∠GED=∠BAD=90°
      ∵∠GDE=∠ADB
      ∴△DEG∽△DBA,

      设DG=a,则GE=a,∴DA=5a,AB=5a,AG=4a.
      ∵∠ABQ=∠DAE,∠BAQ=∠AGE,
      ∴△BAQ∽△AGE,

      即AQ=
      ∵F是AB边的中点,

      又∵AQ·AD=,
      ∴AF2=AQ·AD
      (2)证明:延长AE交于CD边于点H,设DH=m
      ∵四边形ABCD是矩形,
      ∴AB∥CD,
      ∴△DEH∽△BEA,
      ∴即AB=4m,
      ∴AF=2m
      ∵∠BAQ=∠APB=90°
      ∴∠ABQ+∠BAP=∠DAH+∠BAP=90°
      ∴∠ABQ=∠DAH
      ∵∠BAQ=∠ADH=90°,∠ABQ=∠DAH
      ∴△BAQ∽△ADH,,
      ∴ 即AQ·DA=DH·AB=4m2=AF2,∴
      又∠FAO=∠DAF,
      ∴△AFQ∽△ADF,
      ∴∠AFO=∠ADF.
      【点睛】
      本题考查了相似三角形的判定和性质,灵活运用相似三角形的判定和性质是解题的关键.
      11.如图1,正方形ABCD的对角线AC,BD交于点O,将△COD绕点O逆时针旋转得到△EOF(旋转角为锐角),连AE,BF,DF,则AE=BF.
      (1)如图2,若(1)中的正方形为矩形,其他条件不变.
      ①探究AE与BF的数量关系,并证明你的结论;
      ②若BD=7,AE=,求DF的长;
      (2)如图3,若(1)中的正方形为平行四边形,其他条件不变,且BD=10,AC=6,AE=5,请直接写出DF的长.
      【答案】(1)①AE=BF;证明见解析;②DF=;(2)DF=.
      【解析】
      【分析】
      (1)①利用矩形的性质,旋转的性质得到∠BOF=∠AOE,证明△BOF≌△AOE可得结论,
      ②利用矩形性质与旋转性质证明△BFD为直角三角形,从而可得答案,
      (2)利用平行四边形的性质与旋转的性质,证明△AOE∽△BOF,求解BF,再证明△BDF是直角三角形,从而可得答案.
      【详解】
      (1)①AE=BF,理由如下:证明:∵ABCD为矩形,
      ∴AC=BD,OA=OB=OC=OD,
      ∵△COD绕点O旋转得△EOF,
      ∴OC=OE,OD=OF,∠COE=∠DOF
      ∵∠BOD=∠AOC=180°
      ∴∠BOD-∠DOF=∠AOC-∠COE
      即∠BOF=∠AOE
      ∴△BOF≌△AOE(SAS),
      ∴BF=AE
      ②∵OB=OD=OF,
      ∴∠BFD=90°
      ∴△BFD为直角三角形,
      ∴,
      ∵BF=AE

      ∵BD=7,AE=
      ∴DF=
      (2))∵四边形ABCD是平行四边形,
      ∴OC=OA=AC=3,OB=OD=BD=5,
      ∵将△COD绕点O按逆时针方向旋转得到△FOE, ∴OC=OE,OD=OF,∠EOC=∠FOD
      ∴OA=OE,OB=OF,∠EOA=∠FOB
      ∴ ,且∠EOA=∠FOB
      ∴△AOE∽△BOF,



      ∵OB=OF=OD
      ∴△BDF是直角三角形,


      【点睛】
      本题是四边形综合题,考查了正方形的性质,平行四边形的性质,全等三角形的判定和性质,旋转的性质,相似三角形的判定和性质,证明△AOE∽△BOF是解本题的关键.
      12.已知:如图,四边形ABCD是平行四边形,延长BA至点E,使得AE=AB,联结DE、AC.点F在线段DE上,联结BF,分别交AC、AD于点G、H.
      (1)求证:BG=GF;
      (2)如果AC=2AB,点F是DE的中点,求证:AH2=GH•BH.
      【答案】(1)证明见解析;(2)证明见解析.
      【解析】
      【分析】
      (1)由平行四边形的性质可得AB=CD=AE,AB∥CD,可证四边形ACDE是平行四边形,可得,可得结论;
      (2)由“SAS”可证△BEF≌△DEA,可得∠EBF=∠EDA,通过证明△AHG∽△BHA,可得结论.
      【详解】
      证明:(1)∵四边形ABCD是平行四边形,
      ∴AB=CD,AB∥CD,
      ∵AB=AE,
      ∴AE=CD,
      ∴四边形ACDE是平行四边形,
      ∴AC∥DE,
      ∴,
      ∴BG=GF;
      (2)∵AB=AE,
      ∴BE=2AE,
      ∵AC=2AB,
      ∴BE=AC,
      ∵四边形ACDE是平行四边形,
      ∴AC=DE,
      ∴DE=BE,
      ∵点F是DE的中点,
      ∴DE=2EF,
      ∴AE=EF,
      ∵DE=BE,∠E=∠E,AE=EF,
      ∴△BEF≌△DEA(SAS),
      ∴∠EBF=∠EDA,∵AC∥DE,
      ∴∠GAH=∠EDA.
      ∴∠EBF=∠GAH.
      ∵∠AHG=∠BHA,
      ∴△AHG∽△BHA,
      ∴.
      ∴AH2=GH•BH.
      【点睛】
      本题考查了相似三角形的判定和性质,全等三角形的判定和性质,平行四边形的性质,灵活运用相似三角形判定和性质是本题的关键.
      13.(1)问题发现如图1,在和中,,,,连接交于点.填空:①的值为______;②的度数为______.
      (2)类比探究如图2,在和中,,,连接交的延长线于点.请判断的值及的度数,并说明理由;
      (3)拓展延伸在(2)的条件下,将绕点在平面内旋转,所在直线交于点,若,,请直接写出当点与点在同一条直线上时的长.

      【答案】(1)①1;②;(2),.理由见解析;(3)2或4.
      【解析】
      【分析】
      (1)①证明△COA≌△DOB(SAS),得AC=BD,比值为1;
      ②由△COA≌△DOB,得∠CAO=∠DBO,然后根据三角形的内角和定理先求∠OAB+∠OBA的值,再求∠AMB的值即可;
      (2)根据锐角三角比可得,根据两边的比相等且夹角相等可得△AOC∽△BOD,根据相似撒尿性的性质求解即可;
      (3)当点与点在同一条直线上,有两种情况:如图3和图4,然后根据旋转的性质和勾股定理,可得AD的长.
      【详解】
      (1)①∵,
      ∴∠BOD=∠AOC,
      又∵,,
      ∴△BOD≌△AOC,
      ∴BD=AC,
      ∴=1;
      ②∵,
      ∴∠OAB+∠OBA=140°,
      ∵△BOD≌△AOC,
      ∴∠CAO=∠DBO,
      ∴∠CAO+∠OAB+∠ABM=∠DBO+∠OAB+∠ABM=∠OAB+∠OBA=140°,
      ∴∠AMB=;
      (2)如图2,
      ,.理由如下:
      中,,,
      ,同理得:,




      ,∠CAO=∠DBO,
      ∵∠BEO+∠DBO=90°,
      ∴∠CAE+∠AEM=90°,
      ∴∠AMB=90°;
      (3) ∵∠A=30°,,
      ∴OA==3.
      如图3,当点D和点A在点O的同侧时,
      ∵,
      ∴AD=3-2=2;
      如图4,当点D和点A在点O的两侧时,
      ∵,,OA=3
      ∴AD=3+1=4.
      综上可知,AD的长是2或4.
      【点睛】
      本题是三角形的综合题,主要考查了三角形全等和相似的性质和判定,相似三角形的判定与性质,解直角三角形,旋转的性质,以及分类讨论的数学思想,解题的关键是能得出:△AOC∽△BOD,根据相似三角形的性质,并运用类比的思想解决问题,本题是一道比较好的题目.

      相关学案

      2026学年苏科版数学初三中考复习几何专题28 相似三角形与动点相关的问题(讲义)(解析版):

      这是一份2026学年苏科版数学初三中考复习几何专题28 相似三角形与动点相关的问题(讲义)(解析版),共33页。学案主要包含了典例讲解等内容,欢迎下载使用。

      2026学年苏科版数学初三中考复习几何专题25 二次函数中的动点与相似三角形问题(讲义)(解析版):

      这是一份2026学年苏科版数学初三中考复习几何专题25 二次函数中的动点与相似三角形问题(讲义)(解析版),共47页。学案主要包含了典例讲解等内容,欢迎下载使用。

      2026学年苏科版数学初三中考复习几何专题30 圆与动点相关的问题(讲义)(解析版):

      这是一份2026学年苏科版数学初三中考复习几何专题30 圆与动点相关的问题(讲义)(解析版),共42页。学案主要包含了典例讲解,提出问题,特殊位置探究,一般规律探究,解决问题等内容,欢迎下载使用。

      资料下载及使用帮助
      版权申诉
      • 1.电子资料成功下载后不支持退换,如发现资料有内容错误问题请联系客服,如若属实,我们会补偿您的损失
      • 2.压缩包下载后请先用软件解压,再使用对应软件打开;软件版本较低时请及时更新
      • 3.资料下载成功后可在60天以内免费重复下载
      版权申诉
      若您为此资料的原创作者,认为该资料内容侵犯了您的知识产权,请扫码添加我们的相关工作人员,我们尽可能的保护您的合法权益。
      入驻教习网,可获得资源免费推广曝光,还可获得多重现金奖励,申请 精品资源制作, 工作室入驻。
      版权申诉二维码
      中考专区
      • 精品推荐
      • 所属专辑27份
      欢迎来到教习网
      • 900万优选资源,让备课更轻松
      • 600万优选试题,支持自由组卷
      • 高质量可编辑,日均更新2000+
      • 百万教师选择,专业更值得信赖
      微信扫码注册
      手机号注册
      手机号码

      手机号格式错误

      手机验证码 获取验证码 获取验证码

      手机验证码已经成功发送,5分钟内有效

      设置密码

      6-20个字符,数字、字母或符号

      注册即视为同意教习网「注册协议」「隐私条款」
      QQ注册
      手机号注册
      微信注册

      注册成功

      返回
      顶部
      中考一轮 精选专题 初中月考 教师福利
      添加客服微信 获取1对1服务
      微信扫描添加客服
      Baidu
      map