搜索
      上传资料 赚现金

      (人教A版)必修一高一数学上学期第4章 指数函数与对数函数 章末重难点归纳总结(2份,原卷版+解析版)

      • 963.64 KB
      • 2025-11-17 20:19:54
      • 25
      • 0
      • ETliang
      加入资料篮
      立即下载
      查看完整配套(共2份)
      包含资料(2份) 收起列表
      原卷
      (人教A版)必修一高一数学上学期第4章 指数函数与对数函数 章末重难点归纳总结(原卷版).docx
      预览
      解析
      (人教A版)必修一高一数学上学期第4章 指数函数与对数函数 章末重难点归纳总结(解析版).docx
      预览
      正在预览:(人教A版)必修一高一数学上学期第4章 指数函数与对数函数 章末重难点归纳总结(原卷版).docx
      (人教A版)必修一高一数学上学期第4章 指数函数与对数函数 章末重难点归纳总结(原卷版)第1页
      1/7
      (人教A版)必修一高一数学上学期第4章 指数函数与对数函数 章末重难点归纳总结(原卷版)第2页
      2/7
      (人教A版)必修一高一数学上学期第4章 指数函数与对数函数 章末重难点归纳总结(原卷版)第3页
      3/7
      (人教A版)必修一高一数学上学期第4章 指数函数与对数函数 章末重难点归纳总结(解析版)第1页
      1/13
      (人教A版)必修一高一数学上学期第4章 指数函数与对数函数 章末重难点归纳总结(解析版)第2页
      2/13
      (人教A版)必修一高一数学上学期第4章 指数函数与对数函数 章末重难点归纳总结(解析版)第3页
      3/13
      还剩4页未读, 继续阅读

      (人教A版)必修一高一数学上学期第4章 指数函数与对数函数 章末重难点归纳总结(2份,原卷版+解析版)

      展开

      这是一份(人教A版)必修一高一数学上学期第4章 指数函数与对数函数 章末重难点归纳总结(2份,原卷版+解析版),文件包含人教A版必修一高一数学上学期第4章指数函数与对数函数章末重难点归纳总结原卷版docx、人教A版必修一高一数学上学期第4章指数函数与对数函数章末重难点归纳总结解析版docx等2份试卷配套教学资源,其中试卷共20页, 欢迎下载使用。
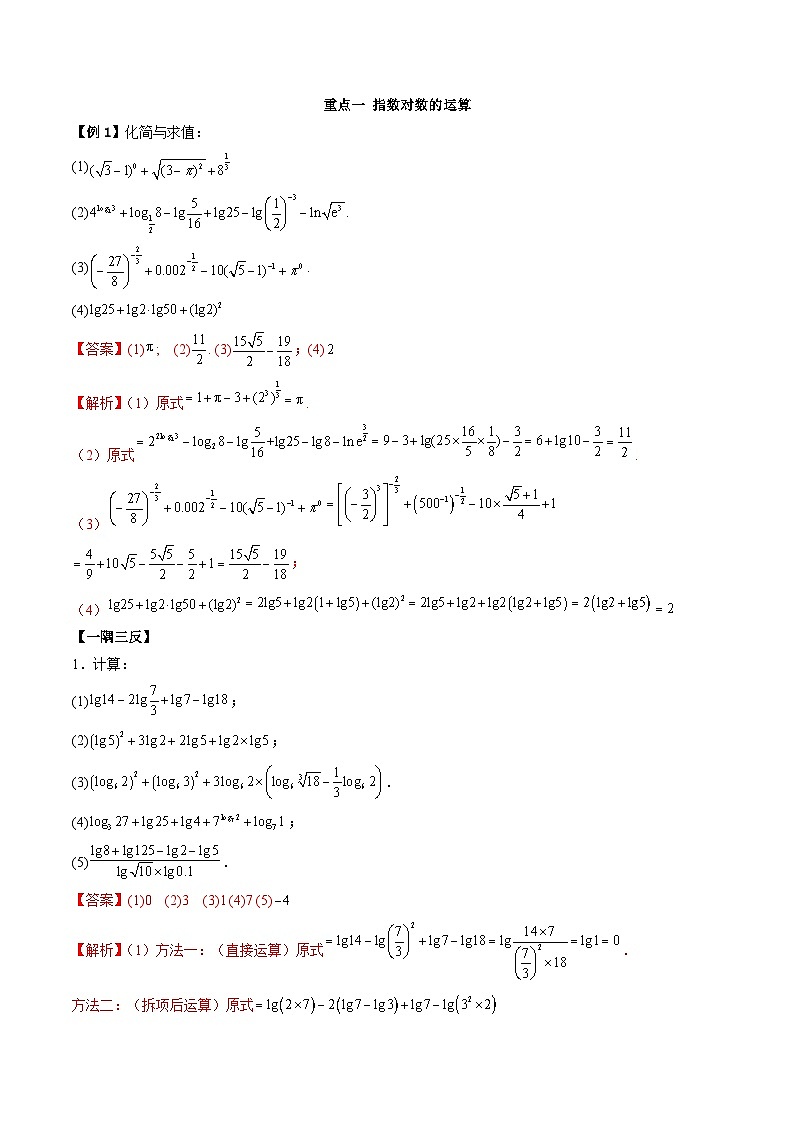
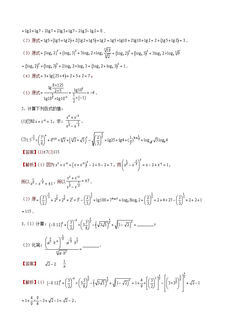
      第4章 指数函数与对数函数 章末重难点归纳总结重点一 指数对数的运算【例1】化简与求值:(1)(2).(3).(4)【答案】(1); (2). (3);(4)【解析】(1)原式.(2)原式.(3);(4)【一隅三反】1.计算:(1);(2);(3).(4);(5).【答案】(1)0 (2)3 (3)1 (4)7 (5)【解析】(1)方法一:(直接运算)原式.方法二:(拆项后运算)原式.(2)原式.(3)原式.(4)原式;(5)原式.2.计算下列各式的值:(1)已知,求:.(2)【答案】(1)(2)【解析】(1)因为,而,所以,所以.(2)原.3.(1)计算:________;(2)化简:________.【答案】          【解析】(1).(2)原式.故答案为:,重点二 指数函数【例2】已知函数是定义在上的奇函数.(1)求a的值;(2)求函数的值域;(3)当时,恒成立,求实数m的取值范围.【答案】(1)(2)(3)【解析】(1)因为是定义在上的奇函数,所以,解得,当时,,此时,所以时,是奇函数.所以;(2)由(1)可得,因为,可得,所以,所以,所以,所以函数的值域为;(3)由可得,即,可得对于恒成立,令,则,函数在区间单调递增,所以,所以,所以实数m的取值范围为.【一隅三反】1.已知函数(且)为定义在上的奇函数.(1)利用单调性的定义证明函数在上单调递增;(2)求不等式的解集.(3)若函数有零点,求实数的取值范围.【答案】(1)证明过程见解析;(2)(3)【解析】(1)由题意得:,解得:,,任取,且,则因为,且,所以,,所以,故所以函数在上单调递增;(2),即,因为为定义在上的奇函数,所以,因为为定义在上单调递增,所以,解得:或,所以解集为:;(3)有零点,当时,,没有零点,不合题意,舍去;当时,即有根,其中当时,,,,故,又因为在R上为奇函数,所以当时,,且,所以在R上的值域为,故,解得:,所以实数的取值范围为.2.已知函数(为常数,,且)的图象经过点,.(1)试确定函数的解析式;(2)若关于的不等式在区间上恒成立,求实数的取值范围.【答案】(1)(2)【解析】(1)因为函数的图象经过点和,可得,结合,且,解得,所以函数的解析式为.(2)要使在区间上恒成立,只需保证函数在区间上的最小值不小于即可,因为函数在区间上单调递减,所以当时,取得最小值,最小值为,所以只需即可,即实数的取值范围为.3.已知定义域为R的函数 是奇函数.(1)求a、b的值;(2)证明f(x)在(-∞,+∞)上为减函数;(3)若对于任意R,不等式恒成立,求k的范围【答案】(1),;(2)证明见解析;(3)【解析】(1)由已知,, ,,,所以,解得,,此时定义域是R,,为奇函数.所以,;(2)由(1),设任意两个实数,,则,,所以,即,所以是减函数;(3)不等式化为,是奇函数,则有,是减函数,所以,所以恒成立,易知的最小值是,所以.重点三 对数函数【例3】已知函数的图象关于原点对称.(1)求a的值;(2)当时,恒成立,求实数k的取值范围.【答案】(1)(2)【解析】(1)函数的图象关于原点对称,则函数为奇函数,有,即,即,即解得,当时,不满足题意,∴.(2)由,得,即,令,易知在上单调递减,则的最大值为.又∵当时,恒成立,即在恒成立,且,∴,,即实数k的取值范围为.【一隅三反】1.已知函数.(1)若函数的定义域为,求实数的值;(2)若函数的定义域为,值域为,求实数的值;(3)若函数在上单调递增,求实数的取值范围.【答案】(1)(2)实数的值为1或(3)【解析】(1)令,则由题意可知1,3为方程的两个根,所以函数的图像的对称轴方程为,即.(2)由题意,对于方程,,即,由函数的值域为,可得当时,,解得或.故实数的值为1或.(3)函数在上单调递增,则在上单调递减.易知函数的图像的对称轴为直线,所以.易知在时取得最小值,当时,有,得,所以实数的取值范围是.2.已知函数(且),,.(1)求函数的解析式;(2)请从①,②,③这三个条件中选择一个作为函数的解析式,指出函数的奇偶性,并证明.注:若选择多个条件分别解答,按第一个解答计分.【答案】(1);(2)答案见解析.【解析】(1)依题意,,,而且,解得,所以函数.(2)选择①,,则有,解得,即的定义域为,又,所以函数是定义在上的奇函数.选择②,,则有,解得,即的定义域为,又,所以函数是定义在上的奇函数.    选择③,,则有,解得,即的定义域为,又,所以函数是定义在上的偶函数.3.已知函数的图象关于原点对称,其中为常数.(1)求的值;(2)当时,恒成立,求实数的取值范围;(3)若关于的方程在上有解,求实数的取值范围.【答案】(1)(2)(3)【解析】(1)因为函数的图象关于原点对称,所以,即,所以恒成立,所以恒成立,即恒成立,即恒成立,所以,解得,又时,无意义,故.(2)因为时,恒成立,所以恒成立,所以在上恒成立,因为是减函数,所以当时,,所以,所以实数的取值范围是.(3)因为在上单调递增,在上单调递减,因为关于的方程在上有解,所以即解得,所以实数的取值范围是.重难点四 零点定理【例4-1】函数的一个零点为1,则其另一个零点为______.【答案】【解析】解法一:因为函数的一个零点为1,将代入得,解得.所以.令,解得,,所以函数的另一个零点为.解法二:由函数的一个零点为1,可得方程的一个根为1,根据根与系数的关系可得,所以另一个根为.故函数的另一个零点为.故答案为:.【例4-2】方程的根所在的区间是(    )A. B. C. D.【答案】B【解析】令,显然单调递增,又因为,,由零点存在性定理可知:的零点所在区间为,所以的根所在区间为.故选:B【例4-3】函数在区间上的零点个数为(    )A.6 B.5 C.4 D.3【答案】C【解析】函数在上零点的个数即方程在上解的个数,方程化简可得,所以方程方程的解的个数为函数与函数的图象交点的个数,其中,在同一坐标系中作出函数与函数的图象如图所示,由图可知在区间上,两函数图象有4个交点,故函数在区间上的零点个数为4,故选:C.【例4-4】已知函数(),若函数有三个零点,则的取值范围是(    )A. B. C. D.【答案】A【解析】有三个零点与的图象有三个交点.因为,所以当时,,得或,所以与的图象有两个交点,则当时,与的图象有1个交点.当时,令,得,所以符合题意;令,得,所以符合题意.综上,实数的取值范围是.故选:A.【一隅三反】1.函数的零点所在的区间是(    )A. B. C. D.【答案】B【解析】因为为上的单调递增函数,所以为上的单调递增函数,因为,,,由零点存在定理,上必有唯一零点.故选:B.2.函数在区间上的零点所在的区间为(    )A. B. C. D.【答案】B【解析】,,, 令,得,,,,在上的零点为故选:B3.若函数恰有个零点,则的取值范围是 (    )A. B. C. D.【答案】D【解析】因为时至多有一个零点,单调函数至多一个零点,而函数恰有个零点,所以需满足有1个零点,有1个零点,所以,解得,故选:D4.已知函数,若函数无零点,则实数a的取值范围为(    )A. B. C. D.【答案】A【解析】令,则的解为:,由题意可知:无解,又,即,又,即,解得:.故选:A.5.函数的零点个数为________.【答案】1【解析】解法一:令,可得方程,即,故原函数的零点个数即为函数与图象的交点个数.在同一平面直角坐标系中作出两个函数的大致图象(如图).由图可知,函数与的图象只有一个交点,故函数只有一个零点,故答案为:1解法二:∵,,∴,又的图象在上是不间断的,∴在上必有零点,又在上是单调递增的,∴函数的零点有且只有一个,故答案为:16.已知函数若关于x的方程有三个不同的实数根,则实数k的取值范围是________.【答案】【解析】作出函数的图像和直线,如图所示:由图可知,当时,函数的图像和直线有三个交点,所以.故答案为:或.

      资料下载及使用帮助
      版权申诉
      • 1.电子资料成功下载后不支持退换,如发现资料有内容错误问题请联系客服,如若属实,我们会补偿您的损失
      • 2.压缩包下载后请先用软件解压,再使用对应软件打开;软件版本较低时请及时更新
      • 3.资料下载成功后可在60天以内免费重复下载
      版权申诉
      若您为此资料的原创作者,认为该资料内容侵犯了您的知识产权,请扫码添加我们的相关工作人员,我们尽可能的保护您的合法权益。
      入驻教习网,可获得资源免费推广曝光,还可获得多重现金奖励,申请 精品资源制作, 工作室入驻。
      版权申诉二维码
      高中数学人教A版 (2019)必修 第一册电子课本

      本章综合与测试

      版本: 人教A版 (2019)

      年级: 必修 第一册

      切换课文
      • 同课精品
      • 所属专辑38份
      • 课件
      • 教案
      • 试卷
      • 学案
      • 更多
      欢迎来到教习网
      • 900万优选资源,让备课更轻松
      • 600万优选试题,支持自由组卷
      • 高质量可编辑,日均更新2000+
      • 百万教师选择,专业更值得信赖
      微信扫码注册
      手机号注册
      手机号码

      手机号格式错误

      手机验证码 获取验证码 获取验证码

      手机验证码已经成功发送,5分钟内有效

      设置密码

      6-20个字符,数字、字母或符号

      注册即视为同意教习网「注册协议」「隐私条款」
      QQ注册
      手机号注册
      微信注册

      注册成功

      返回
      顶部
      学业水平 高考一轮 高考二轮 高考真题 精选专题 初中月考 教师福利
      添加客服微信 获取1对1服务
      微信扫描添加客服
      Baidu
      map