所属成套资源:2025年高考数学二轮复习讲与练(北京专用)
专题02 不等式与复数(练习)-2025年高考数学二轮复习讲与练(北京专用)
展开
这是一份专题02 不等式与复数(练习)-2025年高考数学二轮复习讲与练(北京专用),文件包含专题02不等式与复数练习-2025年高考数学二轮复习讲与练北京专用原卷版docx、专题02不等式与复数练习-2025年高考数学二轮复习讲与练北京专用解析版docx等2份试卷配套教学资源,其中试卷共21页, 欢迎下载使用。
题型一:利用基本不等式比较大小
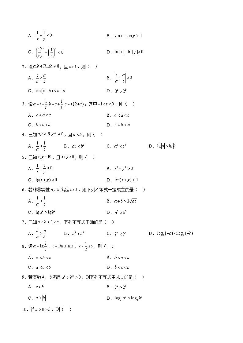
1.已知,且,则( )
A.B.
C.D.
【答案】C
【分析】根据题意,利用不等式的基本性质,正切函数的性质,以及指数函数与对数函数的性质,逐项判定,即可求解.
【详解】对于A中,,其中,但的符号不确定,所以A不正确;
对于B中,例如,此时,所以B不正确;
对于C中,由函数在上为单调递减函数,
因为,所以,可得,所以C正确;
对于D中,例如,此时,所以D不正确.
故选:C.
2.设,且,则( )
A.B.
C.D.
【答案】C
【分析】举反例即可求解ABD,根据导数求证即可判断C.
【详解】对于A,取,则,故A错误,
对于B,,则,故B错误,
对于C,由于,故在单调递减,故,因此,
由于,所以,故,C正确,
对于D, ,则,故D错误,
故选:C
3.设,其中,则( )
A.B.
C.D.
【答案】C
【分析】借助正负性、对勾函数的性质及二次函数的性质判断即可得.
【详解】由,故,故,
由对勾函数性质可得,
,且,
综上所述,有.
故选:C.
4.已知,且,则( )
A.B.C.D.
【答案】C
【分析】举出反例即可判断ABD,利用作差法即可判断C.
【详解】当时,,故AD错误;
当时,,故B错误;
对于C,因为,所以,因为,所以且,
则,
所以,故C正确.
故选:C.
5.已知,且,则( )
A.B.
C.D.
【答案】B
【分析】取特殊值即可判断A、C、D选项,因式分解即可判断B选项.
【详解】对于A,令,显然,错误;
对于B,,
又不能同时成立,故,正确;
对于C,取,则,错误;
对于D,取,则,错误.
故选:B.
6.若非零实数a,b满足,则下列不等式一定成立的是( )
A.B.
C.D.
【答案】D
【分析】根据不等式的基本性质、基本不等式的条件和对数的运算,逐项判定,即可求解.
【详解】对于A中,由,因为,可得,当不确定,所以A错误;
对于B中,只有当不相等时,才有成立,所以B错误;
对于C中,例如,此时满足,但,所以C错误;
对于D中,由不等式的基本性质,当时,可得成立,所以D正确.
故选:D.
7.已知,下列不等式正确的是( )
A.B.C.D.
【答案】C
【分析】A作差法比较大小;B特殊值法,令即可判断正误;C根据指数函数的单调性判断大小关系;D令,利用对数函数的性质判断即可.
【详解】A:,又,则,,故,即,错误;
B:当时,不成立,错误;
C:由,则,正确;
D:由,即,当时有,错误.
故选:C
8.设,,,则( )
A.B.
C.D.
【答案】A
【分析】根据对数函数的性质、对数的运算法则及基本不等式判断即可.
【详解】因为,,
又,,所以,
且,所以,
所以.
故选:A
9.若实数、满足,则下列不等式中成立的是( )
A.B.
C.D.
【答案】D
【分析】对于D,结合对数函数的单调性即可判断;对于ABC,取,即可判断.
【详解】由题意,,所以,故D正确;
当,时,,但,,,故A,B,C错误.
故选:D.
10.若,则( )
A.B.C.D.
【答案】A
【分析】根据不等式的性质判断A,取特殊值判断BCD.
【详解】,,即,故A正确;
取,则不成立,故B错误;
取,则不成立,故C错误;
取,则,故D错误.
故选:A
题型二:利用基本不等式求最值
11.设,,.若,,则最大值为( )
A.2B.C.1D.
【答案】C
【分析】先利用指、对数的关系,用表示,再利用基本不等式求最大值.
【详解】∵,,,,
∴,,
∴,
当且仅当,时取等号.
∴的最大值为1.
故选:C.
12.下列函数中,是偶函数且有最小值的是( )
A.B.
C.D.
【答案】D
【分析】判断二次函数的对称轴,可得函数不是偶函数,判断选项A,根据函数的定义域判断选项B,判断得,从而得函数为偶函数,结合三角函数的性质可判断得该函数不具有最小值,从而判断选项C,根据,得函数为偶函数,再利用基本不等式求解出最小值,即可判断选项D.
【详解】对A,二次函数的对称轴为,
不是偶函数,故A错误;
对B,函数的定义域为,
定义域不关于原点对称,所以不是偶函数,故B错误;
对C,,
定义域为,所以函数是偶函数,
结合三角函数的性质易判断函数无最小值,故C错误;
对D,,定义域为,
所以函数是偶函数,因为,,
所以,当且仅当,即时取等号,
所以函数有最小值,故D正确.
故选:D
13.已知,则的最小值为( )
A.-2B.0C.1D.
【答案】B
【分析】由基本不等式求得最小值.
【详解】∵,∴,当且仅当即时等号成立.
故选:B.
14.设,,则“”是“”的( )
A.充分而不必要条件B.必要而不充分条件
C.充分必要条件D.既不充分也不必要条件
【答案】A
【分析】根据基本不等式判断充分性,根据举反例说明必要性不成立,即可得结论.
【详解】因为,,则,当且仅当时等号成立,故充分性成立;
若,满足,但,故必要性不成立,
所以“”是“”的充分而不必要条件.
故选:A.
15.已知,,,则的最小值是( )
A.3B.4C.5D.6
【答案】B
【分析】根据基本不等式“1”的用法求解即可.
【详解】因为,,,
所以,
当且仅当时等号成立,
故选:B
16.在ΔABC中,,,则ΔABC的最大周长是()
A.B.C.D.
【答案】B
【分析】由余弦定理变形为含的式子,利用均值不等式求解.
【详解】由余弦定理知,,
即,
故,当且仅当时等号成立
解得,又,
所以,
故周长,
故选:B
17.设,.若是与的等比中项,则的最小值为( )
A.B.C.D.8
【答案】C
【解析】先根据等比中项的性质求得的值,利用“1”的变换得,展开后利用基本不等式求最小值.
【详解】由条件可知,即,
所以,
当时,即时,等号成立.
故选:C
18.已知平面向量,的夹角为,且,则的最小值为( )
A.1B.C.2D.
【答案】D
【解析】根据平面向量的数量积的应用,利用基本不等式即可求解.
【详解】平面向量,的夹角为,
,
,
则,
当且仅当时取等号,
故的最小值为,
故选:.
19.已知,,,则的最小值为( )
A.B.C.D.
【答案】B
【分析】把要求的式子变形为,再利用基本不等式求得它的最小值.
【详解】已知,,,
则,
当且仅当 时,即当,且,等号成立,
故的最小值为,
故选:.
20.已知a>0,b>0,a+b =1,若 α=,则的最小值是( )
A.3B.4C.5D.6
【答案】C
【解析】根据题意,将a、b代入,利用基本不等式求出最小值即可.
【详解】∵a>0,b>0,a+b=1,
∴,
当且仅当时取“=”号.
答案:C
题型三:复数的基本考点
21.在复平面内,点对应的复数为,则实数( )
A.1B.C.2D.
【答案】D
【分析】根据复数的乘法运算及复数对应点求参即可.
【详解】因为对应点为,
所以,
即得.
故选:D.
22.已知为纯虚数,则实数( )
A.0B.1C.D.
【答案】D
【分析】根据复数代数形式的乘方运算化简,再根据实部为,虚部不为得到方程(不等式)组,解得即可.
【详解】因为,
又为纯虚数,所以,解得.
故选:D
23.在复平面,复数z对应的点坐标为,则( )
A.iB.-iC.D.
【答案】B
【分析】由题可得,再由复数除法法则即可求解.
【详解】z对应的点坐标为,所以,
所以
故选:B.
24.已知复数,则在复平面上对应的点位于( )
A.第一象限B.第二象限C.第三象限D.第四象限
【答案】C
【分析】根据条件,利用复数的运算法则及共轭复数的定义得到,即可求出结果.
【详解】由,得到,
所以,其对应点为,位于第三象限.
故选:C.
25.若复数为纯虚数,其中,为虚数单位,则( )
A.B.C.1D.
【答案】A
【分析】由复数概念求出参数,结合复数四则运算即可求解.
【详解】由是纯虚数可知,所以,
故选:A
26.在复平面内,复数的共轭复数对应的点的坐标是,则的虚部是( )
A.B.1C.D.
【答案】A
【分析】根据共轭复数的定义结合虚部的定义即可得解.
【详解】因为复数的共轭复数对应的点的坐标是−1,1,所以,
所以,即的虚部是.
故选:A.
27.在复平面内,复数对应的点的坐标是,则( )
A.B.C.D.
【答案】D
【分析】由复数的几何意义得出,再运算化简即可.
【详解】复数对应的点的坐标是,所以,,
所以.
故选:D.
28.复数在复平面内对应的点位于( )
A.第一象限B.第二象限C.第三象限D.第四象限
【答案】A
【分析】利用复数的除法运算,化解复数,并结合复数的几何意义,即可求解.
【详解】复数,所以复数对应的点为,为第一象限的点.
故选:A
29.已知复数,则=( )
A.B.5C.3D.
【答案】D
【分析】由复数乘法以及模的运算公式即可求解.
【详解】由题意,则.
故选:D.
30.复数的虚部为( )
A.B.C.D.
【答案】A
【分析】先利用复数的乘法化简,再利用复数的相关概念求解.
【详解】解:,
复数的虚部为.
故选:.
题型四:复数的高级考点
31.在复平面内,复数z对应的点的坐标为,则( )
A.B.C.D.
【答案】A
【分析】由复数的几何意义和复数的运算求出结果即可.
【详解】由题意可得,
所以,
故选:A.
32.已知,其中为虚数单位,则( )
A.B.C.D.
【答案】B
【分析】根据复数的乘、除法运算可得,进而,结合复数的乘法计算即可求解.
【详解】由题意知,,
所以,
所以.
故选:B
33.若为虚数单位,复数,则( )
A.B.C.D.
【答案】D
【分析】首先化简复数,再求共轭复数.
【详解】,则.
故选:D
34.复数满足,则复数的虚部为( )
A.1B.C.D.
【答案】D
【分析】利用复数除法法则及复数的概念即可求解.
【详解】由,得,
所以复数的虚部为.
故选:D.
35.若复数满足,则( )
A.B.
C.D.
【答案】C
【分析】根据题意,由复数的运算,即可得到结果.
【详解】由可得.
故选:C
36.复数在复平面内对应的点位于( )
A.第一象限B.第二象限
C.第三象限D.第四象限
【答案】D
【分析】直接利用复数的除法运算,结合复数的几何意义即可.
【详解】复数,
则其在复平面所对应的点为,故其在第四象限,
故选:D.
37.复数的模( )
A.B.2C.D.1
【答案】D
【分析】首先根据体题意得到,再求模长即可.
【详解】,
所以.
故选:D
38.若(其中i为虚数单位),,则( ).
A.B.C.D.
【答案】A
【分析】将代入中,进行分母有理化,再代入求模公式求解即可.
【详解】因为,
所以,
所以.
故选:A.
39.在复平面内,复数z满足,则复数z对应的点位于( )
A.第一象限B.第二象限C.第三象限D.第四象限
【答案】D
【分析】先求出复数z,即可求出答案.
【详解】,复数z对应的点为
则复数z对应的点位于第四象限
故选:D.
40.已知复数满足,则复数的模为( )
A.B.2C.D.
【答案】A
【分析】求出复数后可求其模,从而可得正确的选项.
【详解】,故,
故选:A.
目录
TOC \ "1-2" \h \z \u \l "_Tc181640862" 01 模拟基础练 PAGEREF _Tc181640862 \h 2
\l "_Tc181640863" 题型一:利用基本不等式比较大小2
\l "_Tc181640864" 题型二:利用基本不等式求最值6
\l "_Tc181640865" 题型三:复数的基本考点10
\l "_Tc181640866" 题型四:复数的高级考点13
相关试卷
这是一份模块一 基础知识(集合、常用逻辑用语、不等式、复数)(测试)-2025年高考数学二轮复习讲与练(北京专用),文件包含模块一基础知识集合常用逻辑用语不等式复数测试-2025年高考数学二轮复习讲与练北京专用原卷版docx、模块一基础知识集合常用逻辑用语不等式复数测试-2025年高考数学二轮复习讲与练北京专用解析版docx等2份试卷配套教学资源,其中试卷共15页, 欢迎下载使用。
这是一份专题02 不等式与复数(讲义)-2025年高考数学二轮复习讲与练(北京专用),文件包含专题02不等式与复数讲义-2025年高考数学二轮复习讲与练北京专用原卷版docx、专题02不等式与复数讲义-2025年高考数学二轮复习讲与练北京专用解析版docx等2份试卷配套教学资源,其中试卷共37页, 欢迎下载使用。
这是一份专题1.4 不等式与复数(练习)(举一反三)(新高考专用)-2025年高考数学二轮复习专练,文件包含专题14不等式与复数练习举一反三新高考专用原卷版-2025年高考数学二轮复习专练docx、专题14不等式与复数练习举一反三新高考专用解析版-2025年高考数学二轮复习专练docx等2份试卷配套教学资源,其中试卷共28页, 欢迎下载使用。

