还剩24页未读,
继续阅读
成套系列资料,整套一键下载
- (人教A版2019必修第一册)高一数学精讲与精练高分突破系列专题强化一 指对幂运算(附答案) 试卷 0 次下载
- (人教A版2019必修第一册)高一数学精讲与精练高分突破系列专题强化三 函数与方程(零点)问题(附答案) 试卷 0 次下载
- (人教A版2019必修第一册)高一数学精讲与精练高分突破系列专题强化训练一 含参数的不等式方程和恒成立问题(附答案) 试卷 0 次下载
- (人教A版2019必修第一册)高一数学精讲与精练高分突破系列专题强化训练一 集合的综合考点必刷题(附答案) 试卷 0 次下载
- (人教A版2019必修第一册)高一数学精讲与精练高分突破系列专题强化训练二 集合和常用逻辑用语的综合问题(附答案) 试卷 0 次下载
(人教A版2019必修第一册)高一数学精讲与精练高分突破系列专题强化三 三角函数图像和最值的问题基础过关必刷题(附答案)
展开
这是一份(人教A版2019必修第一册)高一数学精讲与精练高分突破系列专题强化三 三角函数图像和最值的问题基础过关必刷题(附答案),共27页。
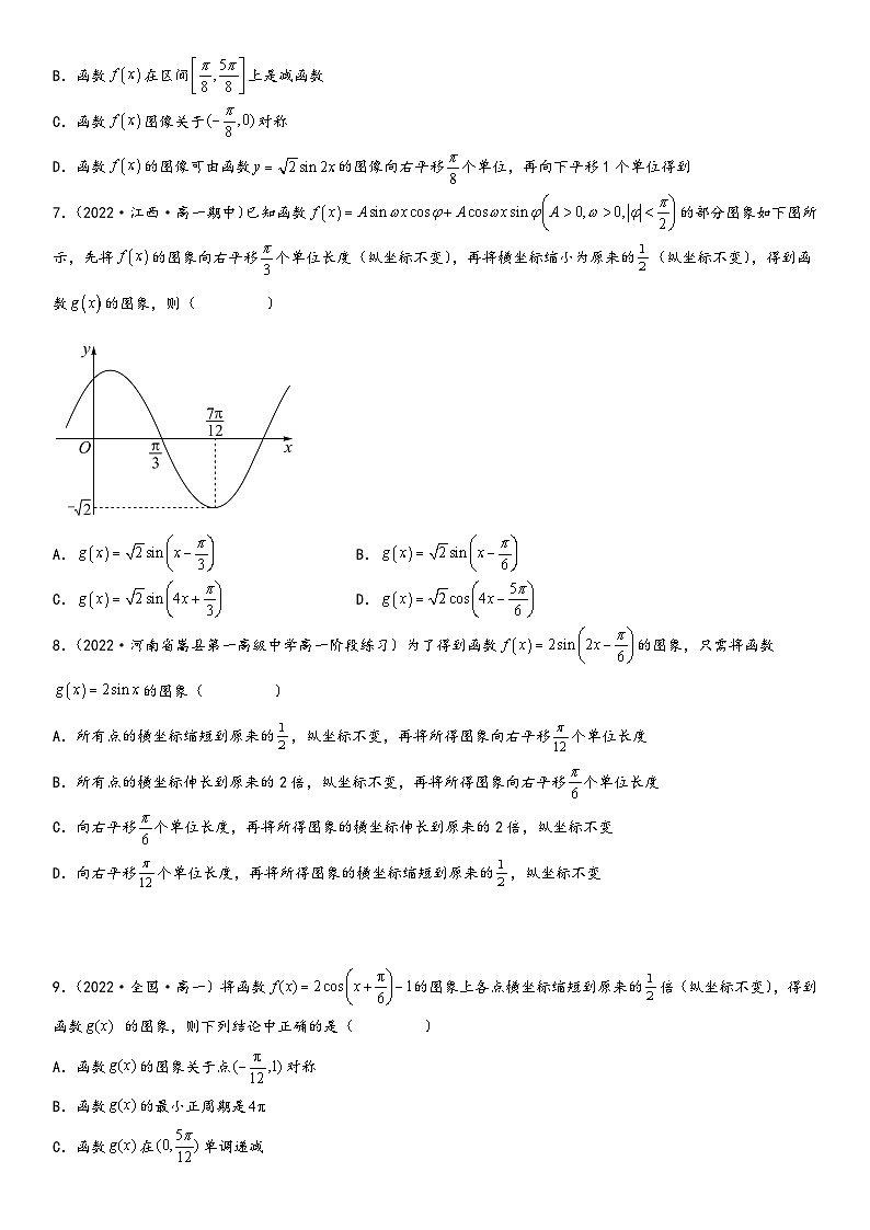
专题强化三:三角函数图像和最值的问题基础过关必刷题一、单选题1.(2022·上海市控江中学高一期末)已知常数,函数在区间上是严格增函数,则实数的取值范围是( )A. B. C. D.2.(2022·全国·高一课时练习)设,若函数在上单调递增,则的取值范围是( )A. B. C. D.3.(2022·全国·高一课时练习)关于函数,下列说法正确的是( )A.的一个周期是 B.的最小值为2C.在上单调递增 D.的图象关于直线对称4.(2022·全国·高一课时练习)已知函数,则( )A.的最大值为3,最小值为1B.的最大值为3,最小值为-1C.的最大值为,最小值为D.的最大值为,最小值为5.(2022·陕西渭南·高一期末)已知函数(其中,,)的部分图象如图所示;将函数图象上所有点的横坐标伸长到原来的6倍后,再向左平移个单位,得到函数的图象,则函数的解析式为( )A. B.C. D.6.(2022·陕西·宝鸡市金台区教育体育局教研室高一期末)已知函数,给出下列结论,正确的是( )A.函数的最小正周期是B.函数在区间上是减函数C.函数图像关于对称D.函数的图像可由函数的图像向右平移个单位,再向下平移1个单位得到7.(2022·江西·高一期中)已知函数的部分图象如下图所示,先将的图象向右平移个单位长度(纵坐标不变),再将横坐标缩小为原来的(纵坐标不变),得到函数的图象,则( )A. B.C. D.8.(2022·河南省嵩县第一高级中学高一阶段练习)为了得到函数的图象,只需将函数的图象( )A.所有点的横坐标缩短到原来的,纵坐标不变,再将所得图象向右平移个单位长度B.所有点的横坐标伸长到原来的2倍,纵坐标不变,再将所得图象向右平移个单位长度C.向右平移个单位长度,再将所得图象的横坐标伸长到原来的2倍,纵坐标不变D.向右平移个单位长度,再将所得图象的横坐标缩短到原来的,纵坐标不变9.(2022·全国·高一)将函数的图象上各点横坐标缩短到原来的倍(纵坐标不变),得到函数 的图象,则下列结论中正确的是( )A.函数的图象关于点对称B.函数的最小正周期是C.函数在单调递减D.函数在的最小值是-310.(2022·浙江·杭十四中高一期中)已知函数的部分图像如图所示,则( )A.函数的最小正周期是 B.函数关于直线对称C.函数在区间上单调递增 D.函数在区间上的最大值是11.(2022·辽宁·大连市一0三中学高一期中)将函数的图象向左平移个单位,得到函数的图象,若函数在区间上单调递增,则的值可能为( )A. B. C.3 D.412.(2022·河南新乡·高一期中)如图,A,B是函数图像上的两个最高点,点是图像上的一个对称中心,若为直角三角形,则( )A. B. C. D.二、多选题13.(2022·湖北·郧阳中学高一阶段练习)已知函数的图象的一条对称轴为,其中为常数,且,则以下结论正确的是( )A.函数的最小正周期为B.C.函数的图象的对称中心为D.函数在区间上有67个零点14.(2022·全国·高一课时练习)已知函数,则下列结论正确的是( )A.是的一个周期 B.C.的定义域是 D.的图象关于点对称15.(2022·全国·高一单元测试)已知函数,则下列说法正确的是( )A.函数的最小正周期为B.函数的图象关于直线对称C.函数的图象关于点对称D.函数在上单调递减16.(2022·重庆市巫山大昌中学校高一期末)已知函数(),若是f(x)图象的一条对称轴的方程,则下列说法错误的是( )A.的图象的一个对称中心B.在[-,]上是减函数C.的图象过点(0,)D.的最大值是A17.(2022·全国·高一)已知函数(其中,,)的部分图象如图所示,则下列结论正确的是( )A.函数f(x)的图象的周期为B.函数f(x)的图象关于点(,0)对称C.函数f(x)在区间[-,]上的最大值为2D.直线与)图像所有交点的横坐标之和为18.(2022·安徽蚌埠·高一期末)关于函数,以下说法正确的是( )A.函数是偶函数 B.函数的最小正周期是C.是函数图象的一条对称轴 D.函数在区间上单调递增19.(2022·广东清远·高一期末)设函数,已知在上有且仅有4个零点,则( )A.的取值范围是B.的图象与直线在上的交点恰有2个C.的图象与直线在上的交点恰有2个D.在上单调递减20.(2022·江西宜春·高一期末)已知函数,则 ( )A.的最小正周期为B.的图象关于直线对称C.在区间上单调递减D.可以改写成21.(2022·江西上饶·高一期末)设函数,若在上有且仅有3条对称轴,则( )A.在上有且仅有2个最大值点B.在上有且仅有2个零点C.的取值范围是D.在上单调递增三、填空题22.(2022·浙江·杭州高级中学高一期末)已知函数单调递增区间为________.23.(2022·江西·景德镇一中高一期中)函数在区间上单调递增,且存在唯一,使得,则的取值范围为_______.24.(2022·上海·华东师范大学附属周浦中学高一期末)将函数的图像上所有点的纵坐标不变,横坐标缩短到原来的,所得图像的解析式为______.25.(2022·上海市浦东中学高一期末)函数()的部分图象如图所示,若将图象上的所有点向右平移个单位得到函数的图象,则函数__.26.(2022·江西·景德镇一中高一期中)己知函数的图象向左平移个单位后得到函数的图象,若实数,满足,则的最小值为______.27.(2022·浙江杭州·高一期中)有下列说法:①函数的最小正周期是;②终边在轴上的角的集合是;③把函数的图像上所有的点向右平移个单位长度得到函数的图像;④函数在上是减函数.其中,正确的说法是__________.(填序号)28.(2022·上海市控江中学高一期末)函数的图象为,现有三个论断:(1)图象关于直线对称;(2)函数在区间内是增函数;(3)由函数的图象向右平移个单位长度可以得到图象.以上三个论断中,正确结论的序号为______.29.(2022·湖南·长沙一中高一期末)已知函数的部分图象如图所示,将该函数的图象向左平移t()个单位长度,得到函数的图象.若函数的图象关于原点对称,则t的最小值为________.30.(2022·全国·高一专题练习)已知函数的部分图象如图所示,下述四个结论:①;②;③是奇函数;④是偶函数中,其中所有正确结论的编号是_______.四、解答题31.(2022·山东东营·高一期中)已知函数图象的相邻两条对称轴间的距离为(1)求函数的单调递增区间和其图象的对称轴方程;(2)先将函数的图象各点的横坐标向左平移个单位长度,纵坐标不变得到曲线C,再把C上各点的横坐标保持不变,纵坐标变为原来的,得到的图象,若,求x的取值范围.32.(2022·山东临沂·高一期末)已知函数.(1)求的周期;(2)将函数的图象向右平移个单位,再把图象上所有点的横坐标伸长到原来的2倍,纵坐标不变,得到函数的图象,求在上的值域.33.(2022·全国·高一课时练习)若将函数图象上所有点的横坐标缩短到原来的 ,纵坐标不变,再向右平移个单位长度,得到函数的图象.(1)求图象的对称中心;(2)若,求的值.34.(2022·河北张家口·高一阶段练习)已知.(1)求的最小正周期及单调递减区间;(2)将函数的图象向右平移个单位,得到的图象,求的对称轴.35.(2022·广东省阳山县阳山中学高一阶段练习)如图为函数的部分图像.(1)求函数解析式;(2)函数在上有两个不同的零点,,求实数的取值范围及的值.36.(2022·陕西西安·高一期末)已知函数是偶函数.(1)求的值;(2)将函数的图象上所有点的横坐标缩短为原来的倍,纵坐标不变,然后再向左平移个单位长度,最后向上平移1个单位长度后,得到的图象,若关于的方程在有两个不同的根,求实数的取值范围.37.(2022·全国·高一专题练习)已知函数.(1)求函数的最小正周期;(2)现将图像上所有点的横坐标缩短到原来的,纵坐标不变;再向右平移个单位长度得到的图像,若当时,恒成立,求实数m的取值范围.参考答案:1.B【分析】根据正弦型三角函数的单调性列不等式,由此求得的取值范围.【详解】,由于且在区间上是严格增函数,所以,即的取值范围是. 故选:B2.D【分析】先用诱导公式化简,再根据正弦函数的单调性可得,结合条件即得.【详解】,由,,可得,根据正弦函数的单调性,可得:,又,所以,即.故选:D.3.D【分析】根据给定的函数,用周期性定义判断A;取特值计算判断B;分析单调性判断C;证明对称性判断D作答.【详解】对于A,,即不是的周期,A错误;对于B,取,则,即的最小值不是2,B错误;对于C,当时,令,函数在上单调递减,而在上单调递增,因此在上单调递减,C错误;对于D,,即函数的图象关于直线对称,D正确.故选:D4.C【分析】利用换元法求解函数的最大值和最小值即可.【详解】因为函数,设,,则,所以,,当时,;当时,.故选:C5.A【分析】由图象求三角形的解析式,再由图象平移过程求的解析式.【详解】由图知:且,则,所以,故,则,由,则,,所以,,又,故,综上,,所以.故选:A6.B【分析】化简函数的解析式为,结合三角函数的图象与性质,以及三角函数的图象变换,逐项判定,即可求解.【详解】由题意,函数,所以函数的最小正周期为,所以A错误;因为,可得,根据正弦函数的图象与性质,可得函数在上单调递减,所以函数在区间上是减函数,所以B正确;由函数,令,解得,当时,可得,所以函数的对称中心为,所以C不正确;由函数的图像向右平移个单位,,再向下平移1个单位得到,所以D不正确.故选:B.7.D【分析】根据两角和的正弦公式可得,再根据周期求解得,结合图形可得,代入最低点可得可得,进而根据三角函数图象平移的方法求得即可【详解】,由图知周期,解得,又最小值为,所以,故.又,结合,可得,所以.将的图象向右平移个单位长度(纵坐标不变),得到,再将横坐标缩小为原来的,得到故选:D.8.A【分析】利用三角函数图象变换知识解答.【详解】解:将函数图象所有点的横坐标缩短到原来的,纵坐标不变,得到,再将所得图象向右平移个单位,得到函数的图象,所以选项A正确.故选:A9.C【分析】利用函数的图象变换规律,得到的解析式,再利用余弦函数的对称性可判断A;利用周期公式,判断B;根据余弦函数的单调性,判断C,D.【详解】由已知可得,对于A, 由于当时,为函数最大值,故函数的图象不关于点,对称,故错误;对于B, 函数的最小正周期是,故B错误;对于C,当时,,此时g(x)单调递减.故C正确;对于D, 当时,,此时g(x)单调递减. ,故D错误,故选:.10.D【分析】根据函数的部分图像得出周期求出,将代入即可求出的值,进而得出的解析式,根据三角函数的性质及对称轴对称中心对应的函数值的特征进行分析即可求解.【详解】由函数图像可知,所以,因为,所以,故A错误;又函数过点,所以,所以,解得,因为,所以,所以,,当时,,故不是函数的对称轴,故B错误;当时,,因为在上不单调,故C错误;当时,,所以,故D正确;故选:D.11.B【分析】先利用平移变换得到,再根据函数在区间上单调递增,利用正弦函数的性质求解.【详解】解:将函数的图象向左平移个单位,得到函数,因为,所以,又因为函数在区间上单调递增,所以,解得,所以的值可能为,故选:B12.B【分析】由题意得,,设的最小正周期为,分别用表示出,,,由勾股定理解出,进一步求出,又因为点在图像上,代入即可求出.【详解】由题意得,.设的最小正周期为,所以,,,所以,即,所以.因为,所以,即,又,所以.故选:B.13.ABD【分析】先根据已知条件求得,然后根据三角函数值的最小正周期、函数值、对称中心、零点等知识求得正确答案.【详解】依题意,函数的图象的一条对称轴为,所以,由于,所以令,得.所以.所以的最小正周期为,A选项正确.,B选项正确.,即函数的图象的对称中心为,所以C选项错误.,,由于,所以,共个,即函数在区间上有67个零点,D选项正确.故选:ABD14.ABC【分析】根据的图象逐个分析即可.【详解】对A,画出函数的图象(如图),易得的周期为,取,则是的一个周期,故A正确;对B,是偶函数,则,故B正确;对C,易得的定义域是,故C正确;对D,由图可得点不是函数图象的对称中心,故D错误.故选:ABC15.BCD【分析】根据余弦函数的性质一一判断即可;【详解】解:因为,所以函数的最小正周期,故A错误;,所以函数的图象关于直线对称,故B正确;,所以的图象关于点对称,故C正确;若,则,因为在上单调递减,所以在上单调递减,故D正确;故选:BCD16.BCD【分析】根据是图象的一条对称轴的方程,代入对称轴的方程式可得,再根据三角函数的图象性质逐个判断即可【详解】∵是图象的一条对称轴的方程,∴,又∴,∴,对A,为正弦函数的对称中心横坐标,故A正确,对BD,由于A的正负未知,所以不能判断的单调性和最值,故B,D错误,对C,,故C错误.故选:BCD17.AC【分析】先利用函数图象 ,从而求得函数解析式,然后利用零点,对称性及正弦三角形最值求解得结果.【详解】依题意,,得,故A正确;,,则,当时,取最小值,则,得,即,当时,,故B错误;当[-,],则,则,故C正确;,则,设直线与)图像所有交点的横坐标为,则,解得,故D错误;故选:AC.18.BCD【分析】根据奇偶性的定义可判断A项,根据正弦型函数的周期可判断B项,根据正弦型函数的对称性可判断C项,整体代入求解正弦型函数的单调性可判断D项.【详解】解:对于A,,故函数不是偶函数,故A错误;对于B,令,则函数的最小正周期为,故函数的最小正周期为,故B正确;对于C,函数图象的对称轴方程为,即,当时,,故C正确;对于D,当时,,故函数在区间上单调递减,则在区间上单调递增,故D正确;故选:BCD.19.AB【分析】对于A,确定,根据零点个数确定,求得参数范围;对于B,C,采用整体代换思想,结合余弦函数的图象和性质即可判断;对于D,当时,确定,计算的范围,从而确定在上单调性.【详解】当时,,因为在上有且仅有4个零点,所以,解得,故A正确;又由以上分析可知,函数在上有且仅有4个零点,且,则在上,出现两次最大值,此时函数的大致图象如图示:即在上两次出现最大值1,即取时,取最大值,故的图象与直线在上的交点恰有2个,故B正确;由于当时,,,当时,取最小值 ,由于是否取到不确定,故的图象与直线在上的交点可能是1个或2个,故C错误;当时, ,因为,所以,,故的值不一定小于,所以在上不一定单调递减.故选:AB.【点睛】本题考查了复合型余弦函数的解析式中参数的确定以及零点以及最值和单调性问题,综合性强,计算量大,解答时要能综合应用三角函数的相关知识灵活解答,关键是整体代换思想的应用.20.BC【分析】将函数解析式变形为,利用余弦型函数的周期公式可判断A选项;由余弦型函数的对称性可判断B选项;利用余弦型函数的单调性可判断C选项;利用诱导公式可判断D选项.【详解】因为.对于A选项,函数的最小正周期为,A错;对于B选项,,B对;对于C选项,当时,,所以,函数在区间上单调递减,C对;对于D选项,,D错.故选:BC.21.ACD【分析】由换元法结合正弦函数的图象以及性质逐一判断即可.【详解】∵,,∴,∴,令,∴,画出图象进行分析:对于A选项:由图象可知:在上有且仅有,对应的这2个最大值点,故A选项正确;对于B选项:当,即时,在有且仅有2个零点;当,即时,在有且仅有3个零点,故B选项不正确;对于C选项:∵在有且仅有3条对称轴,∴,∴,∴的取值范围是,故C选项正确;对于D选项:∵,,∴,∴,由C选项可知,,∴,即在上单调递增,故D选项正确.故选:ACD.22.【分析】令,求得的范围,即可求得的单调递增区间.【详解】令,解得,故的单调递增区间为.故答案为:.23.【分析】根据函数得单调性可得,根据后一个条件可得,解之即可得解.【详解】解:由,得,因为函数在区间上单调递增,且,所以,解得,由,得,因为存在唯一,使得所以,解得,综上所述的取值范围为.故答案为:.24.【分析】横坐标缩短到原来的,将变为即可.【详解】将函数的图像上所有点的纵坐标不变,横坐标缩短到原来的,所得图像的解析式为.故答案为:.25.【分析】根据函数图象求得和最小正周期,继而求得 ,利用点带入解析式求得,即得函数解析式,根据三角函数图象的平移变换可得答案.【详解】由函数图象可知, ,将代入函数解析式得,则,由于,所以,即,将图象上的所有点向右平移个单位得到函数的图象,则,故答案为:26.##【分析】首先根据题意得到,根据题意得到,从而得到,,,即可得到答案.【详解】,因为实数,满足,所以.所以,,解得,,,,解得,,所以,,.所以.综上:.故答案为:27.①③【分析】由余弦函数性质判断①,由角的定义判断②,由三角函数的平移变换判断③,由诱导公式和余弦函数性质判断④.【详解】①函数的最小正周期是,正确;;②终边在轴上的角的集合是,错误;;③把函数的图像上所有的点向右平移个单位长度得到图象的函数解析式为,正确;④,它在上是增函数,错误.故答案为:①③.28.(1)【分析】根据三角函数的对称性、单调性、三角函数图象变换等知识求得正确答案.【详解】(1),,所以(1)正确.(2),,根据正弦函数的单调性可知,在区间内不是增函数.所以(2)错误.(3)函数的图象向右平移个单位长度得到,所以(3)错误.故答案为:(1)29.【分析】由图象可得时,函数的函数值为0,可以解出的表达式,再利用平移的知识可以得出的最小值.【详解】解:由图象可得时,函数的函数值为0,即,,,将此函数向左平移个单位得,,又为奇函数,,,的最小值是.故答案为:.30.①②④【分析】根据部分图象求出的解析式,再利用三角函数的性质即可求解.【详解】由函数图象的最值可得,由,解得,所以,所以①正确;此时 代入得,,又,,所以②正确;所以的解析式为.不是奇函数,所以③错误;,为偶函数,所以④正确.综上知,正确的命题序号是①②④.故答案为:①②④.31.(1)单调递增区间为,对称轴方程为;(2)【分析】(1)由条件可得函数的最小正周期,结合周期公式求,再由正弦函数性质求函数的单调递增区间和对称轴方程;(2)根据函数图象变换结论求函数的解析式,根据直线函数性质解不等式求x的取值范围.【详解】(1)因为图象的相邻两条对称轴间的距离为,所以的最小正周期为,所以,,所以,由,可得,,所以函数的单调递增区间为,由得,所以所求对称轴方程为(2)将函数的图象向左平移个单位长度得到曲线,把C上各点的横坐标保持不变,纵坐标变为原来的得到的图象,由得,所以,,所以,,所以x的取值范围为32.(1)(2)【分析】(1)由三角恒等变换化简函数的表达式,可得,从而根据周期公式即可求解;(2)根据图象变换求出函数的解析式,然后由三角函数的图象与性质即可求解在上的值域.(1)解:,所以的周期;(2)解:将函数的图象向右平移个单位,可得,再把图象上所有点的横坐标伸长到原来的2倍,纵坐标不变,可得,所以,因为,所以,所以,所以,所以,所以在上的值域为.33.(1)(2)2【分析】(1)由三角函数的图象变换得到,结合三角函数的性质,即可求解;(2)由,得出,即可求得的值.(1)解:由题意将函数图象上所有点的横坐标缩短到原来的,纵坐标不变,再向右平移个单位长度,可得,由,可得,故图象的对称中心为.(2)解:由,,因为,可得,所以.34.(1)最小正周期为,(2)【分析】(1)根据二倍角公式结合辅助角公式化简可得,进而求得周期,并代入单调递减区间求解即可;(2)根据函数图象平移的性质可得,再代入正弦函数的对称轴方程求解即可.【详解】(1),所以的最小正周期为.由,解得,所以的单调递减区间为.(2)将函数的图象向右平移个单位,得到的图象,所以所以函数的对称轴为,解得35.(1)(2),【分析】(1)根据图像得出,进而得出,由图可得,然后将点代入函数解析式可求得的值,即可求解;(2)画出函数的图像,函数零点即函数与图像交点横坐标,结合图像可得出的取值范围,也可得出,进而求得.(1)解:由题中的图像知:,,所以,,因为图像过点,所以,,解得,,函数解析式为;(2)列表得:作出函数在上图像:函数零点即函数与图像交点横坐标,如图可得:,当时,,则=当时,,则=36.(1)(2)【分析】(1)根据三角函数的性质可知,,再结合,即可解出;(2)由(1)知,,根据三角变换法则可得,原方程在有两个不同的根,等价于函数与的图象在上有两个交点,即可根据数形结合思想解出.(1)是偶函数,,,,.(2)由(1)知,,由题意,,,,即.有两个不同的根,与的图象在上有两个交点,画出在上的图象,如图所示:由图可知,,解得,的取值范围是.37.(1)(2)【分析】(1)先化简得出的解析式,由周期公式可得答案(2)由图像的变换得到变换后的解析式,由题意只需的最小值大于等于即可,求出的最小值即可.(1)由所以 所以最小正周期为;(2)将图像上所有点的横坐标缩短为到原来的,纵坐标不变得, 再向右平移个单位长度得到. 要使恒成立,只需,只需的最小值大于等于即可,由,则. 所以的最小值为,则,得,所以实数m的取值范围是..x020﹣2﹣1
专题强化三:三角函数图像和最值的问题基础过关必刷题一、单选题1.(2022·上海市控江中学高一期末)已知常数,函数在区间上是严格增函数,则实数的取值范围是( )A. B. C. D.2.(2022·全国·高一课时练习)设,若函数在上单调递增,则的取值范围是( )A. B. C. D.3.(2022·全国·高一课时练习)关于函数,下列说法正确的是( )A.的一个周期是 B.的最小值为2C.在上单调递增 D.的图象关于直线对称4.(2022·全国·高一课时练习)已知函数,则( )A.的最大值为3,最小值为1B.的最大值为3,最小值为-1C.的最大值为,最小值为D.的最大值为,最小值为5.(2022·陕西渭南·高一期末)已知函数(其中,,)的部分图象如图所示;将函数图象上所有点的横坐标伸长到原来的6倍后,再向左平移个单位,得到函数的图象,则函数的解析式为( )A. B.C. D.6.(2022·陕西·宝鸡市金台区教育体育局教研室高一期末)已知函数,给出下列结论,正确的是( )A.函数的最小正周期是B.函数在区间上是减函数C.函数图像关于对称D.函数的图像可由函数的图像向右平移个单位,再向下平移1个单位得到7.(2022·江西·高一期中)已知函数的部分图象如下图所示,先将的图象向右平移个单位长度(纵坐标不变),再将横坐标缩小为原来的(纵坐标不变),得到函数的图象,则( )A. B.C. D.8.(2022·河南省嵩县第一高级中学高一阶段练习)为了得到函数的图象,只需将函数的图象( )A.所有点的横坐标缩短到原来的,纵坐标不变,再将所得图象向右平移个单位长度B.所有点的横坐标伸长到原来的2倍,纵坐标不变,再将所得图象向右平移个单位长度C.向右平移个单位长度,再将所得图象的横坐标伸长到原来的2倍,纵坐标不变D.向右平移个单位长度,再将所得图象的横坐标缩短到原来的,纵坐标不变9.(2022·全国·高一)将函数的图象上各点横坐标缩短到原来的倍(纵坐标不变),得到函数 的图象,则下列结论中正确的是( )A.函数的图象关于点对称B.函数的最小正周期是C.函数在单调递减D.函数在的最小值是-310.(2022·浙江·杭十四中高一期中)已知函数的部分图像如图所示,则( )A.函数的最小正周期是 B.函数关于直线对称C.函数在区间上单调递增 D.函数在区间上的最大值是11.(2022·辽宁·大连市一0三中学高一期中)将函数的图象向左平移个单位,得到函数的图象,若函数在区间上单调递增,则的值可能为( )A. B. C.3 D.412.(2022·河南新乡·高一期中)如图,A,B是函数图像上的两个最高点,点是图像上的一个对称中心,若为直角三角形,则( )A. B. C. D.二、多选题13.(2022·湖北·郧阳中学高一阶段练习)已知函数的图象的一条对称轴为,其中为常数,且,则以下结论正确的是( )A.函数的最小正周期为B.C.函数的图象的对称中心为D.函数在区间上有67个零点14.(2022·全国·高一课时练习)已知函数,则下列结论正确的是( )A.是的一个周期 B.C.的定义域是 D.的图象关于点对称15.(2022·全国·高一单元测试)已知函数,则下列说法正确的是( )A.函数的最小正周期为B.函数的图象关于直线对称C.函数的图象关于点对称D.函数在上单调递减16.(2022·重庆市巫山大昌中学校高一期末)已知函数(),若是f(x)图象的一条对称轴的方程,则下列说法错误的是( )A.的图象的一个对称中心B.在[-,]上是减函数C.的图象过点(0,)D.的最大值是A17.(2022·全国·高一)已知函数(其中,,)的部分图象如图所示,则下列结论正确的是( )A.函数f(x)的图象的周期为B.函数f(x)的图象关于点(,0)对称C.函数f(x)在区间[-,]上的最大值为2D.直线与)图像所有交点的横坐标之和为18.(2022·安徽蚌埠·高一期末)关于函数,以下说法正确的是( )A.函数是偶函数 B.函数的最小正周期是C.是函数图象的一条对称轴 D.函数在区间上单调递增19.(2022·广东清远·高一期末)设函数,已知在上有且仅有4个零点,则( )A.的取值范围是B.的图象与直线在上的交点恰有2个C.的图象与直线在上的交点恰有2个D.在上单调递减20.(2022·江西宜春·高一期末)已知函数,则 ( )A.的最小正周期为B.的图象关于直线对称C.在区间上单调递减D.可以改写成21.(2022·江西上饶·高一期末)设函数,若在上有且仅有3条对称轴,则( )A.在上有且仅有2个最大值点B.在上有且仅有2个零点C.的取值范围是D.在上单调递增三、填空题22.(2022·浙江·杭州高级中学高一期末)已知函数单调递增区间为________.23.(2022·江西·景德镇一中高一期中)函数在区间上单调递增,且存在唯一,使得,则的取值范围为_______.24.(2022·上海·华东师范大学附属周浦中学高一期末)将函数的图像上所有点的纵坐标不变,横坐标缩短到原来的,所得图像的解析式为______.25.(2022·上海市浦东中学高一期末)函数()的部分图象如图所示,若将图象上的所有点向右平移个单位得到函数的图象,则函数__.26.(2022·江西·景德镇一中高一期中)己知函数的图象向左平移个单位后得到函数的图象,若实数,满足,则的最小值为______.27.(2022·浙江杭州·高一期中)有下列说法:①函数的最小正周期是;②终边在轴上的角的集合是;③把函数的图像上所有的点向右平移个单位长度得到函数的图像;④函数在上是减函数.其中,正确的说法是__________.(填序号)28.(2022·上海市控江中学高一期末)函数的图象为,现有三个论断:(1)图象关于直线对称;(2)函数在区间内是增函数;(3)由函数的图象向右平移个单位长度可以得到图象.以上三个论断中,正确结论的序号为______.29.(2022·湖南·长沙一中高一期末)已知函数的部分图象如图所示,将该函数的图象向左平移t()个单位长度,得到函数的图象.若函数的图象关于原点对称,则t的最小值为________.30.(2022·全国·高一专题练习)已知函数的部分图象如图所示,下述四个结论:①;②;③是奇函数;④是偶函数中,其中所有正确结论的编号是_______.四、解答题31.(2022·山东东营·高一期中)已知函数图象的相邻两条对称轴间的距离为(1)求函数的单调递增区间和其图象的对称轴方程;(2)先将函数的图象各点的横坐标向左平移个单位长度,纵坐标不变得到曲线C,再把C上各点的横坐标保持不变,纵坐标变为原来的,得到的图象,若,求x的取值范围.32.(2022·山东临沂·高一期末)已知函数.(1)求的周期;(2)将函数的图象向右平移个单位,再把图象上所有点的横坐标伸长到原来的2倍,纵坐标不变,得到函数的图象,求在上的值域.33.(2022·全国·高一课时练习)若将函数图象上所有点的横坐标缩短到原来的 ,纵坐标不变,再向右平移个单位长度,得到函数的图象.(1)求图象的对称中心;(2)若,求的值.34.(2022·河北张家口·高一阶段练习)已知.(1)求的最小正周期及单调递减区间;(2)将函数的图象向右平移个单位,得到的图象,求的对称轴.35.(2022·广东省阳山县阳山中学高一阶段练习)如图为函数的部分图像.(1)求函数解析式;(2)函数在上有两个不同的零点,,求实数的取值范围及的值.36.(2022·陕西西安·高一期末)已知函数是偶函数.(1)求的值;(2)将函数的图象上所有点的横坐标缩短为原来的倍,纵坐标不变,然后再向左平移个单位长度,最后向上平移1个单位长度后,得到的图象,若关于的方程在有两个不同的根,求实数的取值范围.37.(2022·全国·高一专题练习)已知函数.(1)求函数的最小正周期;(2)现将图像上所有点的横坐标缩短到原来的,纵坐标不变;再向右平移个单位长度得到的图像,若当时,恒成立,求实数m的取值范围.参考答案:1.B【分析】根据正弦型三角函数的单调性列不等式,由此求得的取值范围.【详解】,由于且在区间上是严格增函数,所以,即的取值范围是. 故选:B2.D【分析】先用诱导公式化简,再根据正弦函数的单调性可得,结合条件即得.【详解】,由,,可得,根据正弦函数的单调性,可得:,又,所以,即.故选:D.3.D【分析】根据给定的函数,用周期性定义判断A;取特值计算判断B;分析单调性判断C;证明对称性判断D作答.【详解】对于A,,即不是的周期,A错误;对于B,取,则,即的最小值不是2,B错误;对于C,当时,令,函数在上单调递减,而在上单调递增,因此在上单调递减,C错误;对于D,,即函数的图象关于直线对称,D正确.故选:D4.C【分析】利用换元法求解函数的最大值和最小值即可.【详解】因为函数,设,,则,所以,,当时,;当时,.故选:C5.A【分析】由图象求三角形的解析式,再由图象平移过程求的解析式.【详解】由图知:且,则,所以,故,则,由,则,,所以,,又,故,综上,,所以.故选:A6.B【分析】化简函数的解析式为,结合三角函数的图象与性质,以及三角函数的图象变换,逐项判定,即可求解.【详解】由题意,函数,所以函数的最小正周期为,所以A错误;因为,可得,根据正弦函数的图象与性质,可得函数在上单调递减,所以函数在区间上是减函数,所以B正确;由函数,令,解得,当时,可得,所以函数的对称中心为,所以C不正确;由函数的图像向右平移个单位,,再向下平移1个单位得到,所以D不正确.故选:B.7.D【分析】根据两角和的正弦公式可得,再根据周期求解得,结合图形可得,代入最低点可得可得,进而根据三角函数图象平移的方法求得即可【详解】,由图知周期,解得,又最小值为,所以,故.又,结合,可得,所以.将的图象向右平移个单位长度(纵坐标不变),得到,再将横坐标缩小为原来的,得到故选:D.8.A【分析】利用三角函数图象变换知识解答.【详解】解:将函数图象所有点的横坐标缩短到原来的,纵坐标不变,得到,再将所得图象向右平移个单位,得到函数的图象,所以选项A正确.故选:A9.C【分析】利用函数的图象变换规律,得到的解析式,再利用余弦函数的对称性可判断A;利用周期公式,判断B;根据余弦函数的单调性,判断C,D.【详解】由已知可得,对于A, 由于当时,为函数最大值,故函数的图象不关于点,对称,故错误;对于B, 函数的最小正周期是,故B错误;对于C,当时,,此时g(x)单调递减.故C正确;对于D, 当时,,此时g(x)单调递减. ,故D错误,故选:.10.D【分析】根据函数的部分图像得出周期求出,将代入即可求出的值,进而得出的解析式,根据三角函数的性质及对称轴对称中心对应的函数值的特征进行分析即可求解.【详解】由函数图像可知,所以,因为,所以,故A错误;又函数过点,所以,所以,解得,因为,所以,所以,,当时,,故不是函数的对称轴,故B错误;当时,,因为在上不单调,故C错误;当时,,所以,故D正确;故选:D.11.B【分析】先利用平移变换得到,再根据函数在区间上单调递增,利用正弦函数的性质求解.【详解】解:将函数的图象向左平移个单位,得到函数,因为,所以,又因为函数在区间上单调递增,所以,解得,所以的值可能为,故选:B12.B【分析】由题意得,,设的最小正周期为,分别用表示出,,,由勾股定理解出,进一步求出,又因为点在图像上,代入即可求出.【详解】由题意得,.设的最小正周期为,所以,,,所以,即,所以.因为,所以,即,又,所以.故选:B.13.ABD【分析】先根据已知条件求得,然后根据三角函数值的最小正周期、函数值、对称中心、零点等知识求得正确答案.【详解】依题意,函数的图象的一条对称轴为,所以,由于,所以令,得.所以.所以的最小正周期为,A选项正确.,B选项正确.,即函数的图象的对称中心为,所以C选项错误.,,由于,所以,共个,即函数在区间上有67个零点,D选项正确.故选:ABD14.ABC【分析】根据的图象逐个分析即可.【详解】对A,画出函数的图象(如图),易得的周期为,取,则是的一个周期,故A正确;对B,是偶函数,则,故B正确;对C,易得的定义域是,故C正确;对D,由图可得点不是函数图象的对称中心,故D错误.故选:ABC15.BCD【分析】根据余弦函数的性质一一判断即可;【详解】解:因为,所以函数的最小正周期,故A错误;,所以函数的图象关于直线对称,故B正确;,所以的图象关于点对称,故C正确;若,则,因为在上单调递减,所以在上单调递减,故D正确;故选:BCD16.BCD【分析】根据是图象的一条对称轴的方程,代入对称轴的方程式可得,再根据三角函数的图象性质逐个判断即可【详解】∵是图象的一条对称轴的方程,∴,又∴,∴,对A,为正弦函数的对称中心横坐标,故A正确,对BD,由于A的正负未知,所以不能判断的单调性和最值,故B,D错误,对C,,故C错误.故选:BCD17.AC【分析】先利用函数图象 ,从而求得函数解析式,然后利用零点,对称性及正弦三角形最值求解得结果.【详解】依题意,,得,故A正确;,,则,当时,取最小值,则,得,即,当时,,故B错误;当[-,],则,则,故C正确;,则,设直线与)图像所有交点的横坐标为,则,解得,故D错误;故选:AC.18.BCD【分析】根据奇偶性的定义可判断A项,根据正弦型函数的周期可判断B项,根据正弦型函数的对称性可判断C项,整体代入求解正弦型函数的单调性可判断D项.【详解】解:对于A,,故函数不是偶函数,故A错误;对于B,令,则函数的最小正周期为,故函数的最小正周期为,故B正确;对于C,函数图象的对称轴方程为,即,当时,,故C正确;对于D,当时,,故函数在区间上单调递减,则在区间上单调递增,故D正确;故选:BCD.19.AB【分析】对于A,确定,根据零点个数确定,求得参数范围;对于B,C,采用整体代换思想,结合余弦函数的图象和性质即可判断;对于D,当时,确定,计算的范围,从而确定在上单调性.【详解】当时,,因为在上有且仅有4个零点,所以,解得,故A正确;又由以上分析可知,函数在上有且仅有4个零点,且,则在上,出现两次最大值,此时函数的大致图象如图示:即在上两次出现最大值1,即取时,取最大值,故的图象与直线在上的交点恰有2个,故B正确;由于当时,,,当时,取最小值 ,由于是否取到不确定,故的图象与直线在上的交点可能是1个或2个,故C错误;当时, ,因为,所以,,故的值不一定小于,所以在上不一定单调递减.故选:AB.【点睛】本题考查了复合型余弦函数的解析式中参数的确定以及零点以及最值和单调性问题,综合性强,计算量大,解答时要能综合应用三角函数的相关知识灵活解答,关键是整体代换思想的应用.20.BC【分析】将函数解析式变形为,利用余弦型函数的周期公式可判断A选项;由余弦型函数的对称性可判断B选项;利用余弦型函数的单调性可判断C选项;利用诱导公式可判断D选项.【详解】因为.对于A选项,函数的最小正周期为,A错;对于B选项,,B对;对于C选项,当时,,所以,函数在区间上单调递减,C对;对于D选项,,D错.故选:BC.21.ACD【分析】由换元法结合正弦函数的图象以及性质逐一判断即可.【详解】∵,,∴,∴,令,∴,画出图象进行分析:对于A选项:由图象可知:在上有且仅有,对应的这2个最大值点,故A选项正确;对于B选项:当,即时,在有且仅有2个零点;当,即时,在有且仅有3个零点,故B选项不正确;对于C选项:∵在有且仅有3条对称轴,∴,∴,∴的取值范围是,故C选项正确;对于D选项:∵,,∴,∴,由C选项可知,,∴,即在上单调递增,故D选项正确.故选:ACD.22.【分析】令,求得的范围,即可求得的单调递增区间.【详解】令,解得,故的单调递增区间为.故答案为:.23.【分析】根据函数得单调性可得,根据后一个条件可得,解之即可得解.【详解】解:由,得,因为函数在区间上单调递增,且,所以,解得,由,得,因为存在唯一,使得所以,解得,综上所述的取值范围为.故答案为:.24.【分析】横坐标缩短到原来的,将变为即可.【详解】将函数的图像上所有点的纵坐标不变,横坐标缩短到原来的,所得图像的解析式为.故答案为:.25.【分析】根据函数图象求得和最小正周期,继而求得 ,利用点带入解析式求得,即得函数解析式,根据三角函数图象的平移变换可得答案.【详解】由函数图象可知, ,将代入函数解析式得,则,由于,所以,即,将图象上的所有点向右平移个单位得到函数的图象,则,故答案为:26.##【分析】首先根据题意得到,根据题意得到,从而得到,,,即可得到答案.【详解】,因为实数,满足,所以.所以,,解得,,,,解得,,所以,,.所以.综上:.故答案为:27.①③【分析】由余弦函数性质判断①,由角的定义判断②,由三角函数的平移变换判断③,由诱导公式和余弦函数性质判断④.【详解】①函数的最小正周期是,正确;;②终边在轴上的角的集合是,错误;;③把函数的图像上所有的点向右平移个单位长度得到图象的函数解析式为,正确;④,它在上是增函数,错误.故答案为:①③.28.(1)【分析】根据三角函数的对称性、单调性、三角函数图象变换等知识求得正确答案.【详解】(1),,所以(1)正确.(2),,根据正弦函数的单调性可知,在区间内不是增函数.所以(2)错误.(3)函数的图象向右平移个单位长度得到,所以(3)错误.故答案为:(1)29.【分析】由图象可得时,函数的函数值为0,可以解出的表达式,再利用平移的知识可以得出的最小值.【详解】解:由图象可得时,函数的函数值为0,即,,,将此函数向左平移个单位得,,又为奇函数,,,的最小值是.故答案为:.30.①②④【分析】根据部分图象求出的解析式,再利用三角函数的性质即可求解.【详解】由函数图象的最值可得,由,解得,所以,所以①正确;此时 代入得,,又,,所以②正确;所以的解析式为.不是奇函数,所以③错误;,为偶函数,所以④正确.综上知,正确的命题序号是①②④.故答案为:①②④.31.(1)单调递增区间为,对称轴方程为;(2)【分析】(1)由条件可得函数的最小正周期,结合周期公式求,再由正弦函数性质求函数的单调递增区间和对称轴方程;(2)根据函数图象变换结论求函数的解析式,根据直线函数性质解不等式求x的取值范围.【详解】(1)因为图象的相邻两条对称轴间的距离为,所以的最小正周期为,所以,,所以,由,可得,,所以函数的单调递增区间为,由得,所以所求对称轴方程为(2)将函数的图象向左平移个单位长度得到曲线,把C上各点的横坐标保持不变,纵坐标变为原来的得到的图象,由得,所以,,所以,,所以x的取值范围为32.(1)(2)【分析】(1)由三角恒等变换化简函数的表达式,可得,从而根据周期公式即可求解;(2)根据图象变换求出函数的解析式,然后由三角函数的图象与性质即可求解在上的值域.(1)解:,所以的周期;(2)解:将函数的图象向右平移个单位,可得,再把图象上所有点的横坐标伸长到原来的2倍,纵坐标不变,可得,所以,因为,所以,所以,所以,所以,所以在上的值域为.33.(1)(2)2【分析】(1)由三角函数的图象变换得到,结合三角函数的性质,即可求解;(2)由,得出,即可求得的值.(1)解:由题意将函数图象上所有点的横坐标缩短到原来的,纵坐标不变,再向右平移个单位长度,可得,由,可得,故图象的对称中心为.(2)解:由,,因为,可得,所以.34.(1)最小正周期为,(2)【分析】(1)根据二倍角公式结合辅助角公式化简可得,进而求得周期,并代入单调递减区间求解即可;(2)根据函数图象平移的性质可得,再代入正弦函数的对称轴方程求解即可.【详解】(1),所以的最小正周期为.由,解得,所以的单调递减区间为.(2)将函数的图象向右平移个单位,得到的图象,所以所以函数的对称轴为,解得35.(1)(2),【分析】(1)根据图像得出,进而得出,由图可得,然后将点代入函数解析式可求得的值,即可求解;(2)画出函数的图像,函数零点即函数与图像交点横坐标,结合图像可得出的取值范围,也可得出,进而求得.(1)解:由题中的图像知:,,所以,,因为图像过点,所以,,解得,,函数解析式为;(2)列表得:作出函数在上图像:函数零点即函数与图像交点横坐标,如图可得:,当时,,则=当时,,则=36.(1)(2)【分析】(1)根据三角函数的性质可知,,再结合,即可解出;(2)由(1)知,,根据三角变换法则可得,原方程在有两个不同的根,等价于函数与的图象在上有两个交点,即可根据数形结合思想解出.(1)是偶函数,,,,.(2)由(1)知,,由题意,,,,即.有两个不同的根,与的图象在上有两个交点,画出在上的图象,如图所示:由图可知,,解得,的取值范围是.37.(1)(2)【分析】(1)先化简得出的解析式,由周期公式可得答案(2)由图像的变换得到变换后的解析式,由题意只需的最小值大于等于即可,求出的最小值即可.(1)由所以 所以最小正周期为;(2)将图像上所有点的横坐标缩短为到原来的,纵坐标不变得, 再向右平移个单位长度得到. 要使恒成立,只需,只需的最小值大于等于即可,由,则. 所以的最小值为,则,得,所以实数m的取值范围是..x020﹣2﹣1
相关资料
更多

