- 人教版(2024)2024-2025学年七年级数学上册课时优化训练2.2.1有理数的乘法(含详解) 试卷 1 次下载
- 人教版(2024)2024-2025学年七年级数学上册课时优化训练2.2.2有理数的除法(含答案) 试卷 1 次下载
- 人教版(2024)2024-2025学年七年级数学上册第一、二章质量评价 答案版 试卷 2 次下载
- 人教版(2024)2024-2025学年七年级数学上册课时优化训练第二章 有理数的运算 综合素质评价(单元测试)(含答案) 试卷 8 次下载
- 人教版(2024)2024-2025学年七年级数学上册课时优化训练3.1 列代数式表示数量关系(含解析) 试卷 1 次下载
初中人教版(2024)2.3 有理数的乘方课后练习题
展开A.B.
C.D.
2.计算的结果是( )
A.8B.C.4D.
3.中国航空母舰“辽宁号”的满载排水量为67500吨,将数67500用科学记数法表示为( )
A.B.C.D.
4.与的关系是( )
A.互为相反数B.互为倒数C.和为零D.绝对值相等
5.下列说法正确的是( )
A.近似数和的精确度相同B.近似数精确到百分位是
C.近似数精确到十分位D.近似数万精确到百分位
6.下列各组数中,相等的是( ).
A.与B.与C.与D.与
7.比较,,的大小,正确的是( )
A.B.
C.D.
8.计算:( )
A.B.8C.D.4
9.填空:__________;__________;__________;__________;__________;__________.
10.用四舍五入法,按括号里的要求对下列各数取近似值:_________(精确到百分位);_________(精确到0.001);_________(精确到十万位)
11.地球与月球的平均距离大约是384500千米,把这个数保留三个有效数字大约是_____千米(四舍五入,用科学记数法表示).
12.2013年12月2日,“嫦娥三号”从西昌卫星发射中心发射升空,并于12月14日在月球上成功实施软着陆.月球距离地球平均为384401000米,用四舍五入法取近似值,精确到百万位,并用科学记数法表示,其结果是_____米.
13.用四舍五入法,对下列各数按括号中的要求取近似数.
(1)0.6328(精确到0.01);
(2)7.9122(精确到个位);
(3)130.96(精确到十分位);
(4)46021(精确到百位).
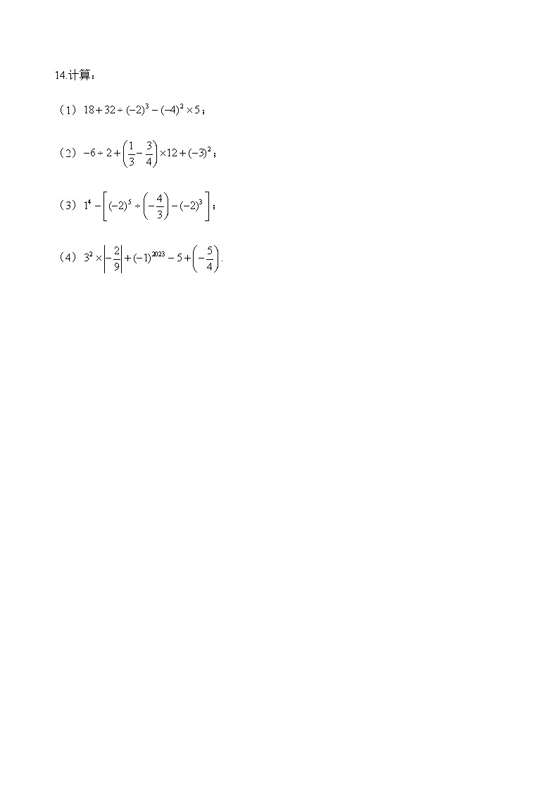
14.计算:
(1);
(2);
(3);
(4).
答案以及解析
1.答案:B
解析:在计算器中,先按2,再按键,接着按5,最后按=即可.
故答案为:B.
2.答案:B
解析:.
故选:B.
3.答案:B
解析:将67500用科学记数法表示为:.
故选B.
4.答案:B
解析:∵,,且,
∴与互为倒数.
故选:B.
5.答案:B
解析:A、近似数精确到十分位,近似数精确到百分位,故此选项不符合题意;
B、数精确到百分位是,正确,故本选项符合题意;
C、近似数精确到千位,故此选项不符合题意;
D、近似数万精确到百位,故此选项不符合题意.
故选:B.
6.答案:A
解析:A.,,所以,故本选项符合题意;
B.,所以,故本选项不符合题意;
C.,,所以,故本选项不符合题意;
D.,,所以,故本选项不符合题意.
故选A.
7.答案:D
解析:因为,,,,,且,
所以,所以.故选D.
8.答案:B
解析:原式
故选:B.
9.答案:9;;;或;;
解析:;;;;;,
故答案为:9,,,,,.
10.答案:0.86,2.500,
解析:(精确到百分位);
(精确到0.001);
31962000(精确到千位).
故答案为:0.86;2.500;
11.答案:
解析:依题意,
则这个数保留三个有效数字大约是.
故答案为:
12.答案:
解析:.
故答案为:.
13.答案:(1)0.63
(2)8
(3)131.0
(4)
解析:(1)0.6328(精确到0.01).
(2)7.9122(精确到个位).
(3)130.96(精确到十分位).
(4)46021(精确到百位).
14.答案:(1)
(2)1
(3)
(4)
解析:(1)原式.
(2)原式.
(3)原式.
(4)原式.
初中数学6.3 角综合训练题: 这是一份初中数学<a href="/sx/tb_c4050894_t7/?tag_id=28" target="_blank">6.3 角综合训练题</a>,共9页。试卷主要包含了已知,则的补角是,如图,点O在直线上,等内容,欢迎下载使用。
初中数学人教版(2024)七年级上册(2024)6.3 角复习练习题: 这是一份初中数学人教版(2024)七年级上册(2024)<a href="/sx/tb_c4050894_t7/?tag_id=28" target="_blank">6.3 角复习练习题</a>,共10页。试卷主要包含了如图所示,若,那么,如图,已知,,那么,如图等内容,欢迎下载使用。
初中数学人教版(2024)七年级上册(2024)6.3 角练习: 这是一份初中数学人教版(2024)七年级上册(2024)<a href="/sx/tb_c4050894_t7/?tag_id=28" target="_blank">6.3 角练习</a>,共9页。试卷主要包含了若,则用度、分、秒表示为,图中角的个数是,如图,下列说法错误的是等内容,欢迎下载使用。

