高中人教A版 (2019)5.2 导数的运算教学ppt课件
展开能求简单的复合函数(限于形如f(ax+b))的导数.
在根据复合函数的求导法则求复合函数的导数的过程中,发展学生的数学运算素养.
一般地,对于两个函数y=f(u)和u=g(x),如果通过中间变量u,y可以表示成x的函数,那么称这个函数为函数y=f(u)和u=g(x)的复合函数,记作____________________.
2.复合函数的求导法则
一般地,对于由函数y=f(u)和u=g(x)复合而成的函数y=f(g(x)),它的导数与y=f(u),u=g(x)的导数间的关系为yx′=________________,即y对x的导数等于y对u的导数与u对x的导数的乘积.
对于复合函数的求导法则要注意以下三点:(1)yx′=yu′·ux′也可表示为yx′=f′(u)·g′(x);(2)我们把复合函数的这种求导法则称为“链式法则”;(3)法则可以推广到两个以上的中间变量,例如yx′=yu′·uv′·vx′.
1.思考辨析,判断正误
(1)函数y=sin(πx)的复合过程是y=sin u,u=πx.( )
(3)f(x)=x2cs 2x,则f′(x)=2xcs 2x+2x2sin 2x.( )提示 f′(x)=2xcs 2x-2x2sin 2x.
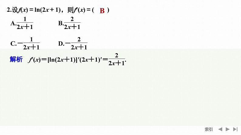
2.设f(x)=ln(2x+1),则f′(x)=( )
4.设曲线y=eax在点(0,1)处的切线与直线x+2y+1=0垂直,则a=________.
题型一 求复合函数的导数
【例1】 求下列函数的导数.
解 (3)设y=eu,u=3x+2,则yx′=y′uu′x=(eu)′·(3x+2)′=3eu=3e3x+2,即y′=3e3x+2.
(1)求复合函数的导数的步骤
(2)求复合函数的导数的注意点:①分解的函数通常为基本初等函数;②求导时分清是对哪个变量求导;③计算结果尽量简洁.
【训练1】 求下列函数的导数: (1)y=(2x-1)4;(2)y=102x+3;
解 (1)设y=u4,u=2x-1,则yx′=yu′ux′=(u4)′(2x-1)′=4u3·2=8(2x-1)3.(2)设y=10u,u=2x+3,则yx′=yu′ux′=(10u)′(2x+3)′=10uln 10×2=2×102x+3×ln 10=102x+3×ln 100.
解 (3)yx′=(e-x)′sin 2x+e-x·(sin 2x)′=-e-xsin 2x+2e-xcs 2x.
【例2】 (1)曲线y=ln(2x-1)上的点到直线2x-y+3=0的最短距离是( )
题型二 复合函数求导法则的综合应用
(2)令y=f(x),则曲线y=eax在点(0,1)处的切线的斜率为f′(0),又切线与直线x+2y+1=0垂直,所以f′(0)=2.因为f(x)=eax,所以f′(x)=(eax)′=eax·(ax)′=aeax,所以f′(0)=ae0=a,故a=2.
解 由题意可知,设切点P(x0,y0),则
当m=-12时,直线2x-y-12=0与曲线y=ln(2x-1)有交点,则曲线上的点到曲线2x-y+m=0的距离为0,故m=-12舍去.即实数m的值为8.
【迁移2】 (变条件、变结论)把本例(1)条件变为“若直线y=kx+b是y=ln x+2的切线,也是y=ln(x+1)的切线”,求b的值.
利用导数的几何意义解题时的注意点(1)求曲线过某一定点的切线方程或斜率时,首先应判断所给定点是不是切点,如果不是,需将切点坐标设出.(2)切点既在原函数的图象上也在切线上,可将切点坐标代入两者的函数解析式建立方程组.(3)如果切线的斜率存在,那么函数在切点处的导数值等于切线的斜率,这是求切线方程最重要的条件.(4)与曲线只有一个公共点的直线不一定是曲线的切线,曲线的切线与曲线的公共点不一定只有一个.
【训练2】 已知f(x)为偶函数,当x≤0时,f(x)=e-x-1-x,则曲线y=f(x)在点(1,2)处的切线方程是__________.
解析 设x>0,则-x<0,f(-x)=ex-1+x.又f(x)为偶函数,f(x)=f(-x)=ex-1+x.所以当x>0时,f(x)=ex-1+x.因此,当x>0时,f′(x)=ex-1+1,f′(1)=e0+1=2.则曲线y=f(x)在点(1,2)处的切线的斜率为f′(1)=2,所以切线方程为y-2=2(x-1),即2x-y=0.
题型三 复合函数导数的综合问题
将复合函数的求导与导数的实际意义结合,函数在某点处的导数反映了函数在该点的瞬时变化率,体现导数揭示物体在某时刻的变化状况.
【训练3】 已知某质点的位移s与位移时间t满足s=tet-1,则质点在t=1时的瞬时速度为________.
解析 s′=(t+1)et-1,当t=1时,s′(1)=2.
1.求复合函数的导数的3个注意点:①分解函数为基本初等函数;②求导时分清是对哪个变量求导;③计算结果尽量简洁.2.和与差的运算法则的1个推广[f(x1)±f(x2)±…±f(xn)]′=f′(x1)±f′(x2)±…±f′(xn).
2.函数y=x(1-ax)2(a>0),且y′|x=2=5,则a=( )A.1 B.-1 C.2 D.-2
解析 y′=(1-ax)2-2ax(1-ax),则y′|x=2=12a2-8a+1=5(a>0),解得a=1.
3.设函数f(x)=(2 021-2 020x)3,则f′(1)=( )A.6 060 B.-6 060C.2 020 D.-2 020
解析 f′(x)=3×(-2 020)(2 021-2 020x)2,则f′(1)=3×(-2 020)=-6 060.
4.(多选题)下列结论中不正确的是( )
对于B,y=sin x2,则y′=2xcs x2,故正确;
对于C,y=cs 5x,则y′=-5sin 5x,故错误;
6.某铁路线新开行“绿巨人”动力集中复兴号动车组,最高时速为160 km/h.假设“绿巨人”开出站一段时间内,速度v(m/s)与行驶时间t(s)的关系v=0.4t+0.6t2,则出站后“绿巨人”速度首次达到24 m/s时加速度为________(m/s2).
解析 当v=24时,0.4t+0.6t2=24,解得t=6(负根舍去),v′=0.4+1.2t,当t=6时,v′=0.4+1.2×6=7.6(m/s2).
7.已知直线y=x+1与曲线y=ln(x+a)相切,则a的值为________.
解析 设直线y=x+1切曲线y=ln(x+a)于点(x0,y0),则y0=1+x0,y0=ln(x0+a),
又y0=ln(x0+a),∴y0=0,∴x0=-1,∴a=2.
解析 由曲线y=f(x)过(0,0)点,可得ln 1+1+b=0,故b=-1.
此即为曲线y=f(x)在点(0,0)处的切线的斜率.
所以a=0,b=-1.
三、解答题9.求下列函数的导数:
解 (1)设y=u8,u=1+2x2,∴y′=(u8)′(1+2x2)′=8u7·4x=8(1+2x2)7·4x=32x(1+2x2)7.
(3)y=sin 2x-cs 2x;(4)y=cs x2.
解 (3)yx′=(sin 2x-cs 2x)′=(sin 2x)′-(cs 2x)′
(4)设y=cs u,u=x2,则yx′=(cs u)′·(x2)′=(-sin u)·2x=(-sin x2)·2x=-2xsin x2.
10.已知a>0,f(x)=ax2-2x+1+ln(x+1),l是曲线y=f(x)在点P(0,f(0))处的切线.求切线l的方程.
解 f(x)=ax2-2x+1+ln(x+1),f(0)=1.
∴切点P的坐标为(0,1),l的斜率为-1,∴切线l的方程为x+y-1=0.
A.y=2x+6 B.y=2x-4C.y=3x+1 D.y=3x-4
解析 y′=e2x(2cs 3x-3sin 3x),∴y′|x=0=2,
∴直线l的方程为y=2x+6或y=2x-4.
∴f′(x)是偶函数,∴f′(x)-f′(-x)=0,
∴f(2 021)+f(-2 021)+f′(2 021)-f′(-2 021)=2.
故由复合函数求导法则得
将t=1代入S′(t),得S′(1)=2.25(m/s).它表示当t=1 s时,梯子上端下滑的速度为2.25 m/s.
14.函数f(x)=ln(x2+1)的图象在点(1,f(1))处的切线的倾斜角为( )
高中数学5.2 导数的运算课文内容课件ppt: 这是一份高中数学5.2 导数的运算课文内容课件ppt,共22页。PPT课件主要包含了创设情境揭示课题,阅读精要研讨新知,例题研讨,学习例题的正规表达,小组互动,探索与发现思考与感悟,归纳小结回顾重点,作业布置精炼双基等内容,欢迎下载使用。
人教A版 (2019)选择性必修 第二册5.2 导数的运算说课ppt课件: 这是一份人教A版 (2019)选择性必修 第二册5.2 导数的运算说课ppt课件,共32页。
人教A版 (2019)选择性必修 第二册5.2 导数的运算图片ppt课件: 这是一份人教A版 (2019)选择性必修 第二册5.2 导数的运算图片ppt课件,共35页。PPT课件主要包含了学习目标,问题探究,概念解析,求导法则,小试牛刀,典例解析,归纳总结,跟踪训练,当堂达标等内容,欢迎下载使用。

