所属成套资源:全套人教A版高中数学必修第二册章末综合测试+微专题强化练+模块综合测试含答案
人教A版高中数学必修第二册微专题强化练1答案
展开
这是一份人教A版高中数学必修第二册微专题强化练1答案,共5页。
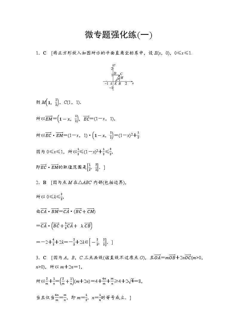
微专题强化练(一)1.C [将正方形放入如图所示的平面直角坐标系中,设E(x,0),0≤x≤1. 则M1,12,C(1,1).所以EM=1-x,12,EC=(1-x,1),所以EC·EM=(1-x,1)·1-x,12=(1-x)2+12.因为0≤x≤1,所以12≤(1-x)2+12≤32,即EC·EM的取值范围是12,32.]2.B [因为点M在△ABC内部(包括边界),所以0≤λ≤23,由CA·BM=CA·(BC+CM)=CA·BC+13CA+λCB=-2+43+2λ=-23+2λ∈-23,23.]3.C [因为A,B,C三点共线(该直线不过原点O),且OA=mOB+2nOC(m>0,n>0),所以m+2n=1,所以2m+1n=2m+1n(m+2n)=4+4nm+mn≥4+24=8,当且仅当4nm=mn,即m=12,n=14时等号成立.]4.C [以BC中点M为原点,BC所在直线为x轴,BC的垂直平分线为y轴建立平面直角坐标系(图略).∵等边△ABC的边长为2,∴M(0,0),A(0,3),B(-1,0).∴AB=(-1,-3),AM=(0,-3),∴AB-tAM=(-1,-3+3t),∴|AB-tAM|=-12+-3+3t2≥2,化简得t2-2t≥0,∴t≥2或t≤0.故选C.]5.B [法一:(极化恒等式)结合题意画出图形,如图①所示,设BC的中点为D,AD的中点为E,连接AD,PE,PD,则有PB+PC=2PD,则PA·(PB+PC)=2PA·PD=2(PE+EA)·(PE-EA)=2(PE2-EA2).而EA2=322=34,当点P与点E重合时,PE2有最小值0,故此时PA·(PB+PC)取得最小值,最小值为-2EA2=-2×34=-32.法二:(坐标法)如图②,以等边△ABC的底边BC所在直线为x轴,以边BC的垂直平分线为y轴建立平面直角坐标系,则A(0,3),B(-1,0),C(1,0),设P(x,y),则PA=(-x,3-y),PB=(-1-x,-y),PC=(1-x,-y),所以PA·(PB+PC)=(-x,3-y)·(-2x,-2y)=2x2+2y-322-32,当x=0,y=32时,PA·(PB+PC)取得最小值,最小值为-32.故选B.]6.3 [因为AE,AD共线,设AE=kAD(0≤k≤1),又B是CD的中点,则AD=2AB-AC,AE=2kAB-kAC,又AE=λAB+μAC,∴λ=2k,μ=-k,∴t=λ-μ=3k≤3,故t的最大值为3.]7.[0,22] [法一:(坐标法)将矩形放在坐标系中,设P(x,y),则A(0,0),B(2,0),PA+PB=(-x,-y)+(2-x,-y)=(2-2x,-2y),|PA+PB|=2-2x2+-2y2=2x-12+y2,转化为矩形内的点到定点(1,0)的距离的2倍.由图可知点D(0,1)和点C(2,1)到定点(1,0)的距离相等同时取最大值:2-12+1-02=2.故|PA+PB|的取值范围是[0,22].法二:(基向量法)取AB的中点H,易知PA+PB=2PH,∴|PA+PB|=2|PH|,结合题意可知0≤|PH|≤|CH|=2.故|PA+PB|的取值范围为[0,22].]8.154 [如图,取EF的中点H,则DE·DF=DH2-EF24=DH2-14, 因为|CH|+|DH|≥|CD|,所以|DH|≥|CD|-|CH|=52-12=2,所以DE·DF=DH2-14≥4-14=154.]9.解:(1)证明:当t=1时,C(3,1),则AB=(-1,-2),BC=(4,-2),所以AB·BC=(-1)×4+(-2)×(-2)=0.所以AB⊥BC,即△ABC为直角三角形.(2)AB=(-1,-2),AC=(3,t-5),所以AB+AC=(-1,-2)+(3,t-5)=(2,t-7),所以|AB+AC|=4+t-72.当t=7时,|AB+AC|有最小值,最小值为2.10.解:(1)由|ka+b|=3|a-kb|,得(ka+b)2=3(a-kb)2,∴k2a2+2ka·b+b2=3a2-6ka·b+3k2b2,∴(k2-3)a2+8ka·b+(1-3k2)b2=0.又a=(cos α,sin α),b=(cos β,sin β),故|a|=|b|=1,∴k2-3+8ka·b+1-3k2=0,∴a·b=2k2+28k=k2+14k.(2)由(1)得a·b=k2+14k=14k+1k≥14×2k·1k=12,当且仅当k=1k,即k=1时等号成立.∴a·b的最小值为12.设此时a与b的夹角为θ,则cos θ=a·bab=12,又θ∈[0,π],∴θ=π3.

