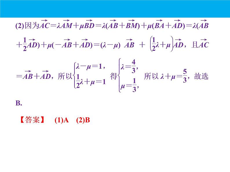
数学人教A版(2019)必修第二册 期末复习:专题 平面向量(课件)
展开期末复习课件平面向量谢 谢
数学人教A版(2019)必修第二册 期末复习:专题 统计与概率(课件): 这是一份数学必修 第二册全册综合复习ppt课件,共55页。PPT课件主要包含了第一课时统计,网络构建,第p百分位数,答案D,答案C,第二课时概率,要点三古典概型等内容,欢迎下载使用。
数学人教A版(2019)必修第二册 期中复习:专题 平面向量(课件): 这是一份人教A版 (2019)必修 第二册全册综合优秀复习ppt课件,共56页。
数学人教A版(2019)必修第二册 期末复习:专题 复数(课件): 这是一份高中数学人教A版 (2019)必修 第二册全册综合复习ppt课件,共20页。PPT课件主要包含了网络构建,复数集,复数的几何形式,复数的四则运算,要点二复数相等等内容,欢迎下载使用。

