所属成套资源:2025版高考数学一轮总复习课件
2025版高考数学一轮总复习第4章三角函数解三角形第3讲第2课时三角函数式的化简与求值课件
展开
这是一份2025版高考数学一轮总复习第4章三角函数解三角形第3讲第2课时三角函数式的化简与求值课件,共45页。PPT课件主要包含了化简下列各式,求值问题多维探究,角度2给值求值,角度3给值求角等内容,欢迎下载使用。
考点突破 · 互动探究
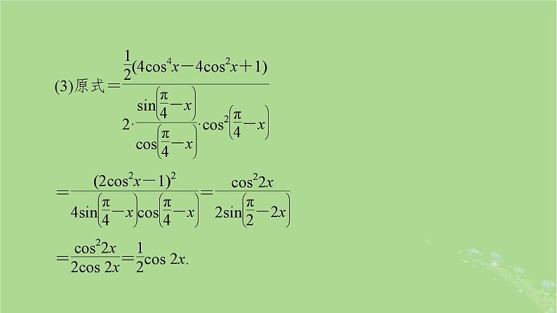
三角函数式的化简——师生共研
名师点拨:1.此类化简题,对公式既要会正用,又要会逆用,甚至变形应用.2.应用公式时特别注意角不要化错,函数名称、符号一定要把握准确.3.对asin x+bcs x化简时,辅助角φ的值如何求要清楚.
角度1 给角求值1.cs 20°·cs 40°·cs 100°=( )
[解析] cs 20°·cs 40°·cs 100°=-cs 20°·cs 40°·cs 80°
A.2 B.-2 C.1 D.-1
名师点拨:给角求值问题的解题思路给角求值问题往往给出的角是非特殊角,求值时要注意:1.观察角,分析角之间的差异,巧用诱导公式或拆分;2.观察名,尽可能使函数统一名称;3.观察结构,利用公式,整体化简.
2.(2023·河北冀州一中月考)若tan(α+2β)=3,tan(α-β)=2,则tan(α+5β)=( )
名师点拨:1.已知三角函数值求角的解题步骤:(1)求出角的某一三角函数值;(2)确定角的范围;(3)根据角的范围确定角.
2.给值求角的原则:(1)已知正切函数值,选正切函数;
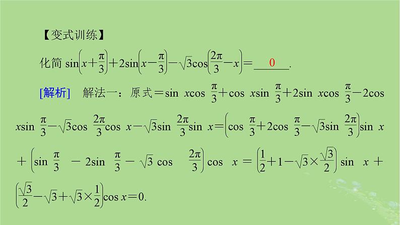
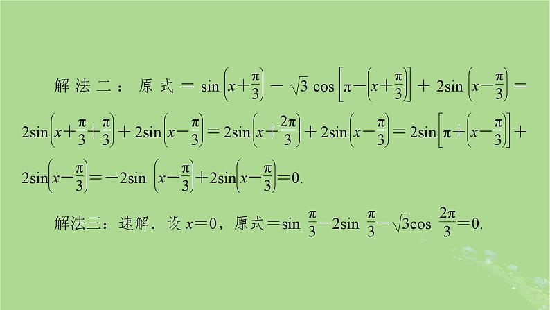
【变式训练】1.(角度1)(多选题)下列各式正确的是( )A.(1+tan 1°)(1+tan 44°)=2
名师讲坛 · 素养提升
三角形中的恒等变换问题
[分析] 由sin C=sin(A+B)=sin Acs B+cs Asin B知求sin A、cs B即可.
2.(2024·河北唐山一中质检)在△ABC中,若sin(A-B)=1+2cs(B+C)sin(A+C),则△ABC的形状一定是( )A.等边三角形B.不含60°的等腰三角形C.钝角三角形D.直角三角形[分析] 利用cs(B+C)=-cs A,sin(A+C)=sin B及两角差的正弦公式求解.
[解析] ∵sin(A-B)=1+2cs(B+C)·sin(A+C),∴sin Acs B-cs Asin B=1-2cs Asin B,∴sin Acs B+cs Asin B=1,即sin(A+B)=1,∴△ABC为直角三角形,故选D.
名师点拨:利用三角函数解决三角形问题要注意一些隐含条件,再根据所给的三角函数值确定角的范围,然后再进行求值.本题应用三角形中大角对大边,也可知A>B⇔a>b⇔sin A>sin B,知B为锐角.
相关课件
这是一份2025版高考数学一轮总复习第4章三角函数解三角形第2讲同角三角函数的基本关系式与诱导公式课件,共49页。PPT课件主要包含了-sinα,sinα,cosα,-cosα,tanα,-tanα,题组二走进教材,名师点拨,变式训练等内容,欢迎下载使用。
这是一份2025版高考数学一轮总复习第4章三角函数解三角形第3讲第1课时三角函数公式的基本应用课件,共60页。PPT课件主要包含了cos2α,sin2α,题组三走向高考,角度1公式的逆用,2倍角公式变形,变式训练,-31,应用3求单调区间等内容,欢迎下载使用。
这是一份高考数学一轮总复习课件第3章三角函数解三角形第5讲三角函数的图象与性质(含解析),共60页。PPT课件主要包含了名师点睛,k∈Z,题组三真题展现,答案A,答案C,函数线,答案B,题后反思,考法全练,答案AD等内容,欢迎下载使用。

