还剩13页未读,
继续阅读
所属成套资源:全套人教A版高中数学必修第一册课时学案
成套系列资料,整套一键下载
人教A版高中数学必修第一册第5章5-4-2第2课时单调性与最值课时学案
展开
这是一份人教A版高中数学必修第一册第5章5-4-2第2课时单调性与最值课时学案,共16页。
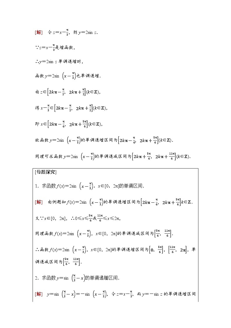
第2课时 单调性与最值1.会求函数y=A sin (ωx+φ)及y=A cos (ωx+φ)的单调区间.(数学运算)2.能利用单调性比较函数值的大小以及求函数的最值、值域等问题.(逻辑推理、数学运算)过山车是一项富有刺激性的娱乐工具,该工具包含了许多物理学原理,人们在设计过山车时巧妙地运用了这些原理.一个基本的过山车构造中,包含了爬升、滑落、倒转(儿童过山车没有倒转)几个循环路径.正弦曲线、余弦曲线也像过山车一样“爬升”“滑落”,这是它们的哪些性质? 知识点 正弦函数、余弦函数的图象和性质1.思考辨析(正确的画“√”,错误的画“×”)(1)正弦函数、余弦函数在R上都是单调函数. ( )(2)存在x∈R满足cos x=1.2. ( )(3)函数y=-12sin x,x∈0,π2的最大值为0. ( )(4)函数y=sin x的增区间恰好是y=sin (-x)的减区间. ( )[答案] (1)× (2)× (3)√ (4)√2.函数y=-2cos x的最大值为________,此时x=________.2 π+2kπ,k∈Z [当x=π+2kπ,k∈Z时y=-2cos x取得最大值2.]3.函数y=sin x的图象的对称轴方程为________,对称中心为________.x=π2+kπ,k∈Z (kπ,0),k∈Z 类型1 求正弦函数、余弦函数的单调区间【例1】 求函数y=2sin x-π3的单调区间.[解] 令z=x-π3,则y=2sin z.∵z=x-π3是增函数,∴y=2sin z单调递增时,函数y=2sin x-π3也单调递增.由z∈2kπ-π2,2kπ+π2(k∈Z),得x-π3∈2kπ-π2,2kπ+π2(k∈Z),即x∈2kπ-π6,2kπ+5π6(k∈Z),故函数y=2sin x-π3的单调递增区间为2kπ-π6,2kπ+5π6(k∈Z).同理可求函数y=2sin x-π3的单调递减区间为2kπ+5π6,2kπ+11π6(k∈Z).[母题探究]1.求函数f (x)=2sin x-π3,x∈[0,2π]的单调区间.[解] 由例题知f (x)=2sin x-π3的单调递增区间为2kπ-π6,2kπ+5π6k∈Z.又∵x∈[0,2π],∴0≤x≤5π6或11π6≤x≤2π,同理函数f (x)=2sin x-π3,x∈[0,2π]的单调递减区间为5π6,11π6.∴函数f (x)=2sin x-π3,x∈[0,2π]的单调递增区间为0,5π6,11π6,2π,单调递减区间为5π6,11π6.2.求函数y=sin π3-x的单调递增区间.[解] y=sin π3-x=-sin x-π3,令z=x-π3,而y=-sin z的单调递增区间是π2+2kπ,3π2+2kπ,k∈Z,∴令π2+2kπ≤x-π3≤3π2+2kπ,k∈Z,得5π6+2kπ≤x≤11π6+2kπ,k∈Z,∴函数y=sin π3-x的单调递增区间为5π6+2kπ,11π6+2kπ,k∈Z. 求解与正弦、余弦函数有关的单调区间的两个技巧(1)数形结合法:结合正、余弦函数的图象,熟记它们的单调区间.(2)整体代换:在求形如y=A sin (ωx+φ)(其中A,ω,φ为常数,且A≠0,ω>0)的函数的单调区间时,应采用整体代换,将“ωx+φ”看作一个整体“z”,即通过求y=A sin z的单调区间而求出原函数的单调区间.求形如y=A cos (ωx+φ)(其中A,ω,φ为常数,且A≠0,ω>0)的函数的单调区间同上.提醒:复合函数的单调性遵循“同增异减”的规律.[跟进训练]1.(源自湘教版教材)求函数y=cos π4-2x的单调递增区间.[解] cos π4-2x=cos 2x-π4.令z=2x-π4,函数y=cos z的单调递增区间是[π+2kπ,2π+2kπ],k∈Z.由π+2kπ≤2x-π4≤2π+2kπ,得5π8+kπ≤x≤9π8+kπ,k∈Z.因此,函数y=cos π4-2x的单调递增区间是5π8+kπ,9π8+kπ,k∈Z. 类型2 利用三角函数的单调性比较大小【例2】 利用三角函数的单调性,比较下列各组数的大小.(1)sin -π18与sin -π10;(2)sin 196°与cos 156°;(3)cos -235π与cos -174π.[解] (1)∵-π2<-π10<-π18<π2,且y=sin x在-π2,π2上是单调递增的,∴sin -π18>sin -π10.(2)sin 196°=sin (180°+16°)=-sin 16°,cos 156°=cos (180°-24°)=-cos 24°=-sin 66°,∵0°<16°<66°<90°,∴sin 16°<sin 66°,从而-sin 16°>-sin 66°,即sin 196°>cos 156°.(3)cos -235π=cos 235π=cos 4π+35π=cos 35π,cos -174π=cos 174π=cos 4π+π4=cos π4.∵0<π4<35π<π,且y=cos x在[0,π]上是单调递减的,∴cos 35π<cos π4,即cos -235π<cos -174π. 三角函数值大小比较的策略(1)利用诱导公式,对于正弦函数来说,一般将两个角转化到-π2,π2或π2,3π2内;对于余弦函数来说,一般将两个角转化到[-π,0]或[0,π]内.(2)不同名的函数化为同名的函数.(3)自变量不在同一单调区间化至同一单调区间内,借助正弦、余弦函数的单调性来比较大小.[跟进训练]2.比较下列各组数的大小:(1)cos 15π8,cos 14π9;(2)cos 1,sin 1.[解] (1)cos 15π8=cos π8,cos 14π9=cos 4π9,因为0<π8<4π9<π,而y=cos x在[0,π]上单调递减,所以cos π8>cos 4π9,即cos 15π8>cos 14π9.(2)因为cos 1=sin π2-1,而0<π2-1<1<π2,且y=sin x在0,π2上单调递增,所以sin π2-1<sin 1,即cos 1<sin 1. 类型3 正弦函数、余弦函数的最值问题 正弦、余弦函数的最值(值域)问题【例3】 求函数y=2cos 2x+π3,x∈-π6,π6的值域.[解] ∵-π60,ω>0)的单调区间?[提示] 把ωx+φ看成一个整体,由2kπ-π2≤ωx+φ≤2kπ+π2(k∈Z)解出x的范围,所得区间即为单调递增区间,由2kπ+π2≤ωx+φ≤2kπ+3π2(k∈Z)解出x的范围,所得区间即为单调递减区间.若ω<0,先利用诱导公式把ω转化为正数后,再利用上述整体思想求出相应的单调区间.2.如何利用函数单调性比较sin α与sin β的大小关系?[提示] 比较三角函数值的大小,先利用诱导公式把问题转化为同一单调区间上的同名三角函数值的大小比较,再利用单调性作出判断.3.求三角函数最值或值域的常用方法有哪些?[提示] 单调性法、配方法或换元法等.课时分层作业(五十) 单调性与最值一、选择题1.函数y=-cos x在区间-π2,π2上是( )A.增函数 B.减函数C.先减后增函数 D.先增后减函数C [因为y=cos x在区间-π2,π2上先增后减,所以y=-cos x在区间-π2,π2上先减后增.故选C.]2.函数f (x)=2sin x在区间0,3π4上的最大值为( )A.0 B.-2 C.2 D.2D [∵x∈0,3π4,∴0≤sin x≤1,∴f (x)=2sin x∈[0,2].故选D.]3.(2021·新高考Ⅰ卷)下列区间中,函数f (x)=7sin x-π6单调递增的区间是( )A.0,π2 B.π2,πC.π,3π2 D.3π2,2πA [法一(常规求法):令-π2+2kπ≤x-π6≤π2+2kπ,k∈Z,得-π3+2kπ≤x≤2π3+2kπ,k∈Z.取k=0,则-π3≤x≤2π3.因为0,π2-π3,2π3,所以区间0,π2是函数f (x)的单调递增区间.故选A.法二(判断单调性法):当0<x<π2时,-π6<x-π6<π3,所以f (x)在0,π2上单调递增,故A正确;当π2<x<π时,π3<x-π6<5π6,所以f (x)在π2,π上不单调,故B不正确;当π<x<3π2时,5π6<x-π6<4π3,所以f (x)在π,3π2上单调递减,故C不正确;当3π2<x<2π时,4π3<x-π6<11π6,所以f (x)在3π2,2π上不单调,故D不正确.故选A.4.(多选)(2022·山东淄博实验中学月考)已知函数f (x)=sin x+π6在x0处取得最值,则x0可能是( )A.-2π3 B.π4C.π3 D.π2AC [当x0+π6=π2+kπ,k∈Z时,f (x) 取得最值.取k=0,-1,则x=π3或- 2π3符合题意.]5.(多选)下列不等式中成立的是( )A.sin -π8>sin -π10B.cos 400°>cos (-50°)C.sin 3>sin 2D.sin 8π7>cos 7π8BD [y=sin x在-π2,0上单调递增,又-π8<-π10,∴sin -π8cos 50°=cos (-50°),故B成立;y=sin x在π2,π上单调递减,又π2<2<3<π,∴sin 2>sin 3,故C不成立;sin 8π7=-sin π7,cos 7π8=-cos π8=-sin π2-π8=-sin 3π8.∵0<π7<3π8<π2,且y=sin x在0,π2上单调递增.∴sin π7cos 7π8,故D成立.]二、填空题6.若cos x=m-1有意义,则m的取值范围是________.[0,2] [因为-1≤cos x≤1,要使cos x=m-1有意义,须有-1≤m-1≤1,所以0≤m≤2.]7.函数y=cos x在区间[-π,a]上单调递增,则a的取值范围是________.(-π,0] [因为y=cos x在[-π,0]上是单调递增,在[0,π]上是单调递减,所以只有-π<a≤0时满足条件,故a∈(-π,0].]8.(2022·河北冀州中学月考)函数y=sin2x+sinx-1的值域为________.-54,1 [令sin x=t,则t∈[-1,1],∴f (t)=t2+t-1=t+122-54,∴当t=-12时,f (t)min=-54;当t=1时,f (t)max=1.所以函数y=sin2x+sinx-1的值域为-54,1.]三、解答题9.已知函数f (x)=cos 2x-π6,x∈0,π2,求:(1)f (x)的最大值和最小值;(2)f (x)的单调递减区间.[解] (1)∵x∈0,π2,∴2x-π6∈-π6,5π6,易知y=cos x在-π6,0上单调递增,在0,5π6上单调递减,故当2x-π6=0,即x=π12时,f (x)max=1.当2x-π6=5π6,即x=π2时f (x)min=-32.(2)由函数y=cos x的图象知,y=cos x在-π6,5π6上的单调递减区间为0,5π6.令0≤2x-π6≤5π6,解得π12≤x≤π2,故f (x)的单调递减区间为π12,π2.10.(多选)正弦函数y=sin x,x∈R的图象的一条对称轴是( )A.y轴 B.直线x=-π2C.直线x=π2 D.直线x=πBC [y=sin x的对称轴方程为x=π2+kπ,k∈Z,故选BC.]11.符合以下三个条件:①0,π2上单调递减;②以2π为周期;③是奇函数.这样的函数是( )A.y=sin x B.y=-sin xC.y=cos 2x D.y=cos x2B [在0,π2上单调递减,可以排除A,是奇函数可以排除C、D.]12.(2022·河南林州一中月考)已知α,β为锐角三角形的两个内角,则以下结论正确的是( )A.sin α<sin β B.cos α<sin βC.cos α<cos β D.cos α>cos βB [α,β为锐角三角形的两个内角,α+β>π2,α>π2-β,α∈0,π2,π2-β∈0,π2,所以cos α<cos π2-β=sin β.]13.若函数f (x)=sin ωx(0<ω<2)在区间0,π3上单调递增,在区间π3,π2上单调递减,则ω等于________,f (x)在0,π2上的值域为________.32 [0,1] [根据题意知f (x)在x=π3处取得最大值1,∴sin ωπ3=1,∴ωπ3=2kπ+π2,k∈Z,即ω=6k+32,k∈Z.又0<ω<2,∴ω=32.又f (x)=sin 32x,x∈0,π2,∴32x∈0,3π4,∴当32x=π2,即x=π3时,f (x)max=1.当32x=0,即x=0时,f (x)min=0,∴f (x)在0,π2上的值域为[0,1].]14.已知函数f (x)=a sin 2x-π3+b(a>0).当x∈0,π2时,f (x)的最大值为3,最小值是-2,求a和b的值.[解] ∵0≤x≤π2,∴-π3≤2x-π3≤2π3,∴-32≤sin 2x-π3≤1,∴f (x)max=a+b=3,f (x)min=-32a+b=-2.由a+b=3, -32a+b=-2,得a=2, b=-2+3. 15.在①f (x)的图象关于直线x=5π6对称,②f (x)的图象关于点5π18,0对称,③f (x)在-π4,π4上单调递增这三个条件中,任选一个,补充在下面问题中.已知函数f (x)=4sin ωx+π6(ω∈N*)的最小正周期不小于π3,且________,是否存在ω的值满足条件,若不存在,请说明理由.[解] 由于函数f (x)的最小正周期不小于π3,所以2πω≥π3,所以1≤ω≤6,ω∈N*.若选择①,即f (x)的图象关于直线x=5π6对称,则有5π6ω+π6=kπ+π2(k∈Z),解得ω=65k+25(k∈Z),由于1≤ω≤6,ω∈N*,k∈Z,所以k=3,ω=4.故存在ω=4满足条件.若选择②,即f (x)的图象关于点5π18,0对称,则有5π18ω+π6=kπ(k∈Z),解得ω=185k-35(k∈Z),由于1≤ω≤6,ω∈N*,k∈Z,所以k=1,ω=3.故存在ω=3满足条件.若选择③,即f (x)在-π4,π4上单调递增,则有-ωπ4+π6≥2kπ-π2,ωπ4+π6≤2kπ+π2 (k∈Z),解得ω≤-8k+83,ω≤8k+43 (k∈Z),由于1≤ω≤6,ω∈N*,k∈Z,所以k=0,ω=1.故存在ω=1满足条件.解析式y=sin xy=cos x图象值域[-1,1][-1,1]单调性在2kπ-π2,2kπ+π2(k∈Z)上单调递增,在2kπ+π2,2kπ+3π2(k∈Z)上单调递减在[-π+2kπ,2kπ],k∈Z上单调递增,在[2kπ,π+2kπ],k∈Z上单调递减最值x=π2+2kπ,k∈Z时,ymax=1;x=-π2+2kπ,k∈Z时,ymin=-1x=2kπ,k∈Z时,ymax=1;x=π+2kπ,k∈Z时,ymin=-1
第2课时 单调性与最值1.会求函数y=A sin (ωx+φ)及y=A cos (ωx+φ)的单调区间.(数学运算)2.能利用单调性比较函数值的大小以及求函数的最值、值域等问题.(逻辑推理、数学运算)过山车是一项富有刺激性的娱乐工具,该工具包含了许多物理学原理,人们在设计过山车时巧妙地运用了这些原理.一个基本的过山车构造中,包含了爬升、滑落、倒转(儿童过山车没有倒转)几个循环路径.正弦曲线、余弦曲线也像过山车一样“爬升”“滑落”,这是它们的哪些性质? 知识点 正弦函数、余弦函数的图象和性质1.思考辨析(正确的画“√”,错误的画“×”)(1)正弦函数、余弦函数在R上都是单调函数. ( )(2)存在x∈R满足cos x=1.2. ( )(3)函数y=-12sin x,x∈0,π2的最大值为0. ( )(4)函数y=sin x的增区间恰好是y=sin (-x)的减区间. ( )[答案] (1)× (2)× (3)√ (4)√2.函数y=-2cos x的最大值为________,此时x=________.2 π+2kπ,k∈Z [当x=π+2kπ,k∈Z时y=-2cos x取得最大值2.]3.函数y=sin x的图象的对称轴方程为________,对称中心为________.x=π2+kπ,k∈Z (kπ,0),k∈Z 类型1 求正弦函数、余弦函数的单调区间【例1】 求函数y=2sin x-π3的单调区间.[解] 令z=x-π3,则y=2sin z.∵z=x-π3是增函数,∴y=2sin z单调递增时,函数y=2sin x-π3也单调递增.由z∈2kπ-π2,2kπ+π2(k∈Z),得x-π3∈2kπ-π2,2kπ+π2(k∈Z),即x∈2kπ-π6,2kπ+5π6(k∈Z),故函数y=2sin x-π3的单调递增区间为2kπ-π6,2kπ+5π6(k∈Z).同理可求函数y=2sin x-π3的单调递减区间为2kπ+5π6,2kπ+11π6(k∈Z).[母题探究]1.求函数f (x)=2sin x-π3,x∈[0,2π]的单调区间.[解] 由例题知f (x)=2sin x-π3的单调递增区间为2kπ-π6,2kπ+5π6k∈Z.又∵x∈[0,2π],∴0≤x≤5π6或11π6≤x≤2π,同理函数f (x)=2sin x-π3,x∈[0,2π]的单调递减区间为5π6,11π6.∴函数f (x)=2sin x-π3,x∈[0,2π]的单调递增区间为0,5π6,11π6,2π,单调递减区间为5π6,11π6.2.求函数y=sin π3-x的单调递增区间.[解] y=sin π3-x=-sin x-π3,令z=x-π3,而y=-sin z的单调递增区间是π2+2kπ,3π2+2kπ,k∈Z,∴令π2+2kπ≤x-π3≤3π2+2kπ,k∈Z,得5π6+2kπ≤x≤11π6+2kπ,k∈Z,∴函数y=sin π3-x的单调递增区间为5π6+2kπ,11π6+2kπ,k∈Z. 求解与正弦、余弦函数有关的单调区间的两个技巧(1)数形结合法:结合正、余弦函数的图象,熟记它们的单调区间.(2)整体代换:在求形如y=A sin (ωx+φ)(其中A,ω,φ为常数,且A≠0,ω>0)的函数的单调区间时,应采用整体代换,将“ωx+φ”看作一个整体“z”,即通过求y=A sin z的单调区间而求出原函数的单调区间.求形如y=A cos (ωx+φ)(其中A,ω,φ为常数,且A≠0,ω>0)的函数的单调区间同上.提醒:复合函数的单调性遵循“同增异减”的规律.[跟进训练]1.(源自湘教版教材)求函数y=cos π4-2x的单调递增区间.[解] cos π4-2x=cos 2x-π4.令z=2x-π4,函数y=cos z的单调递增区间是[π+2kπ,2π+2kπ],k∈Z.由π+2kπ≤2x-π4≤2π+2kπ,得5π8+kπ≤x≤9π8+kπ,k∈Z.因此,函数y=cos π4-2x的单调递增区间是5π8+kπ,9π8+kπ,k∈Z. 类型2 利用三角函数的单调性比较大小【例2】 利用三角函数的单调性,比较下列各组数的大小.(1)sin -π18与sin -π10;(2)sin 196°与cos 156°;(3)cos -235π与cos -174π.[解] (1)∵-π2<-π10<-π18<π2,且y=sin x在-π2,π2上是单调递增的,∴sin -π18>sin -π10.(2)sin 196°=sin (180°+16°)=-sin 16°,cos 156°=cos (180°-24°)=-cos 24°=-sin 66°,∵0°<16°<66°<90°,∴sin 16°<sin 66°,从而-sin 16°>-sin 66°,即sin 196°>cos 156°.(3)cos -235π=cos 235π=cos 4π+35π=cos 35π,cos -174π=cos 174π=cos 4π+π4=cos π4.∵0<π4<35π<π,且y=cos x在[0,π]上是单调递减的,∴cos 35π<cos π4,即cos -235π<cos -174π. 三角函数值大小比较的策略(1)利用诱导公式,对于正弦函数来说,一般将两个角转化到-π2,π2或π2,3π2内;对于余弦函数来说,一般将两个角转化到[-π,0]或[0,π]内.(2)不同名的函数化为同名的函数.(3)自变量不在同一单调区间化至同一单调区间内,借助正弦、余弦函数的单调性来比较大小.[跟进训练]2.比较下列各组数的大小:(1)cos 15π8,cos 14π9;(2)cos 1,sin 1.[解] (1)cos 15π8=cos π8,cos 14π9=cos 4π9,因为0<π8<4π9<π,而y=cos x在[0,π]上单调递减,所以cos π8>cos 4π9,即cos 15π8>cos 14π9.(2)因为cos 1=sin π2-1,而0<π2-1<1<π2,且y=sin x在0,π2上单调递增,所以sin π2-1<sin 1,即cos 1<sin 1. 类型3 正弦函数、余弦函数的最值问题 正弦、余弦函数的最值(值域)问题【例3】 求函数y=2cos 2x+π3,x∈-π6,π6的值域.[解] ∵-π6
相关资料
更多

