初中人教版15.2.2 分式的加减一等奖教学作业课件ppt
展开人教版初中数学八年级上册
15.2.3 分式的加减 导学案
一、学习目标:
1.掌握分式的加减运算法则并运用其进行计算.
2.能够进行异分母的分式加减法运算.
重点:运用分式的加减法则进行运算.
难点:异分母分式加减的运算(异分母转化为同分母).
二、学习过程:
自主学习
从分数所想到的……
![]()
你认为
![]()
【同分母分数加减法的法则】_________________________________________.
【同分母分式加减法的法则】_________________________________________.
典例解析
例1.计算下列各题:
(1)
(2)
(1)
(2)![]()
合作探究
从分数所想到的……
![]()
你认为
=?
小明认为,只要把异分母的分式化成同分母的分式,异分母分式的加减问题就变成了同分母的加减问题.小亮同意小明的这种看法,但他俩的具体做法不同.

你对这两种做法有何评论?
【异分母分式加减法的法则】_________________________________________.
符号表达式:_________________________________________.
典例解析
例2.计算:
![]()
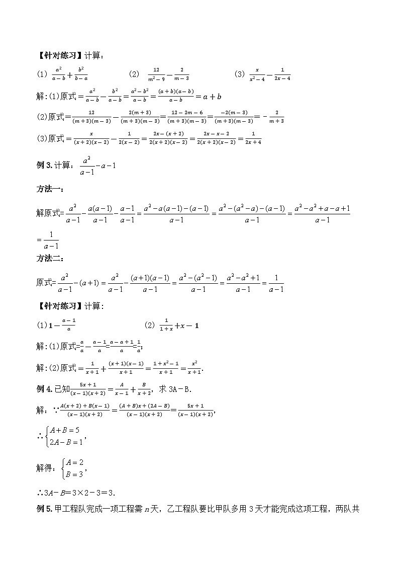
【针对练习】计算:
(1)
(2)
(3) ![]()
例3.计算:![]()
【针对练习】计算:
(1)
(2) ![]()
例4.已知
,求3A-B.
例5.甲工程队完成一项工程需n天,乙工程队要比甲队多用3天才能完成这项工程,两队共同工作一天完成这项工程的几分之几?
【针对练习】2009年、2010年、2011年某地的森林面积(单位:km2)分别是S1,S2,S3,2011年与2010年相比,森林面积增长率提高了多少?
达标检测
1.化简
的结果是( )
A.
B.
C.
D.![]()
2.计算
的正确结果是( )
A.
B.
C.
D.![]()
3.如果
,且
,那么代数式
的值为( )
A.
B.
C.
D.![]()
4.两个分式
,
,其中
,则A与B的关系是( )
A.相等 B.互为倒数 C.互为相反数 D.A大于B
5.计算
的结果是______.
6.已知
,则
的值为_____.
7.已知
+
=4,则
=________.
8.计算:
(1)
(2)
(3) ![]()
9.已知
,
为实数,且
,
,
,试确定
、
的大小关系.
10.等式
对于任何使分母不为0的x均成立,求A、B的值.
八年级上册15.2.2 分式的加减教课内容ppt课件: 这是一份八年级上册15.2.2 分式的加减教课内容ppt课件,共20页。PPT课件主要包含了复习回顾,新课讲授,例计算,解原式,化为最简分式,结果化简,因式分解,练习计算,巩固提高,异分母等内容,欢迎下载使用。
数学人教版第十五章 分式15.2 分式的运算15.2.2 分式的加减备课课件ppt: 这是一份数学人教版第十五章 分式15.2 分式的运算15.2.2 分式的加减备课课件ppt
人教版八年级上册15.2.2 分式的加减优秀课件ppt: 这是一份人教版八年级上册15.2.2 分式的加减优秀课件ppt,共18页。PPT课件主要包含了火眼金睛来帮忙,有错吗,比比谁更细心,怎样确定最简公分母,小练习,有错误吗,注意变号,比比谁更认真,比一比谁的对等内容,欢迎下载使用。

