人教A版 (2019)第四章 数列4.2 等差数列课堂教学ppt课件
展开1.掌握等差数列前n项和公式的推导方法.(逻辑推理)2.掌握等差数列的前n项和公式,能够运用公式解决相关问题.(数学运算)3.理解Sn与an的关系,并能运用这个关系解决相关问题.(数学运算)
【激趣诱思】泰姬陵坐落于印度古都阿格拉,是17世纪莫卧儿帝国皇帝沙·贾汗为纪念其爱妃所建,被评为世界新七大奇迹之一.它的主体建筑由纯白大理石砌建而成,陵寝以宝石镶饰,图案之细致令人叫绝.传说陵寝中有一个三角形图案,以相同大小的圆宝石镶饰而成,共有100层(如图),你知道这个图案一共用了多少颗宝石吗?
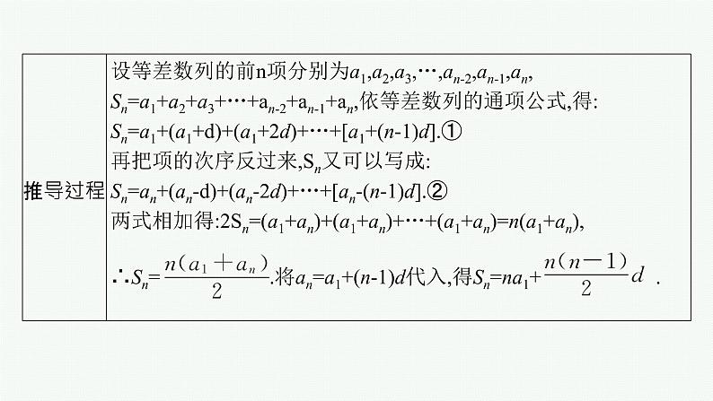
等差数列的前n项和公式及其推导
微拓展从函数角度认识等差数列的前n项和公式:(1)公式的变形(2)从函数角度认识公式①当d≠0时,Sn是项数n的二次函数,且不含常数项;②当d=0时,Sn=na1,Sn不是项数n的二次函数.(3)结论及其应用已知数列{an}的前n项和Sn=An2+Bn+C,若C=0,则数列{an}为等差数列;若C≠0,则数列{an}不是等差数列.
名师点析 (1)两个公式均为等差数列的求和公式,一共涉及a1,an,Sn,n,d五个量.通常已知其中三个,可求其余两个,而且方法就是解方程(组),这也是等差数列的基本问题形式之一.
微练习(1)记等差数列{an}的前n项和为Sn,若a3=0,a6+a7=14,则S7= . (2)已知等差数列{an}的前n项和为Sn,公差为d.若S17=102,a11=12,则d= ,S20= .
答案 (1)14 (2)3 210
例1(1)设Sn是等差数列{an}的前n项和,且a1=1,a4=7,则S9= . (2)设Sn为等差数列{an}的前n项和,若S3=3,S6=24,则a9= . (3)在等差数列{an}中,若a1=1,an=-512,Sn=-1 022,则公差d= . 分析利用等差数列的通项公式和前n项和公式列方程进行计算求解.
答案 (1)81 (2)15 (3)-171解析 (1)设等差数列{an}的公差为d,则a4=a1+3d=1+3d=7,所以d=2.(2)设等差数列{an}的公差为d,
解得n=4.又由an=a1+(n-1)d,即-512=1+(4-1)d,解得d=-171.方法技巧a1,d,n称为等差数列的三个基本量,an和Sn都可以用这三个基本量来表示,五个量a1,d,n,an,Sn中,可知三求二,即等差数列的通项公式及前n项和公式中“知三求二”的问题,一般是通过通项公式和前n项和公式联立方程(组)来求解.这种方法是解决数列运算的基本方法.在运算中要注意等差数列性质的应用.
变式训练 1(1)设等差数列{an}的前n项之和为Sn,已知a2=3,a5=9,则S5=( )A.15 B.20 C.25 D.30(2)若等差数列{an}的前5项和S5=25,且a2=3,则a7=( )A.12B.13C.14D.15(3)已知Sn为等差数列{an}的前n项的和,若a3=16,S20=20,Sn=110,则n= .
答案 (1)C (2)B (3)10或11又a2=3,∴a4=7,∴公差d=2.∴a7=a4+3d=7+3×2=13.
例2(1)已知数列{an}的前n项和Sn=5n-1,求数列{an}的通项公式.(2)已知数列{an}的前n项和 ,求数列{an}的通项公式.分析利用an与Sn的关系求通项公式,注意对首项的检验.
解 (1)当n=1时,a1=S1=51-1=4.当n≥2时,an=Sn-Sn-1=(5n-1)-(5n-1-1)=5n-5n-1=4·5n-1.由于a1=4也适合an=4·5n-1,因此数列{an}的通项公式是an=4·5n-1(n∈N*).
反思感悟 已知数列{an}的前n项和Sn,求通项公式an的步骤(1)当n=1时,a1=S1.(2)当n≥2时,根据Sn写出Sn-1,化简an=Sn-Sn-1.(3)如果a1也满足当n≥2时,an=Sn-Sn-1的通项公式,那么数列{an}的通项公式为an=Sn-Sn-1;如果a1不满足当n≥2时,an=Sn-Sn-1的通项公式,那么数列{an}的通项公式要分段表示为
变式训练 2已知数列{an}的前n项和Sn=n2-9n,第k项满足5
反思感悟 应用等差数列解决实际问题的一般思路
变式训练 3甲、乙两物体分别从相距70 m的两处同时相向运动,甲第1分钟移动2 m,以后每分钟比前1分钟多移动1 m,乙每分钟移动5 m.(1)甲、乙两物体开始运动后几分钟相遇?(2)如果甲、乙两物体到达对方起点后立即返回,甲继续每分钟比前1分钟多移动1 m,乙继续每分钟移动5 m,那么开始运动后几分钟第二次相遇?
解 (1)设n分钟后甲、乙两物体第1次相遇,由题意,得2n+ +5n=70,整理得n2+13n-140=0,解得n=7,n=-20(舍去).所以第1次相遇是在开始运动后7分钟.(2)设n分钟后甲、乙两物体第2次相遇,由题意,得2n+ +5n=3×70,整理得n2+13n-420=0,解得n=15,n=-28(舍去).所以第2次相遇是在开始运动后15分钟.
利用Sn与an的关系式求通项公式典例 已知数列{an}的各项均为正数,前n项和为Sn,且满足2Sn= +n-4.(1)求证:{an}为等差数列;(2)求出{an}的通项公式.分析在等式2Sn= +n-4中,令n取n-1,可得2Sn-1= +n-5.两式相减,利用an与Sn的关系可消去Sn,得到an与an-1的关系,从而可判断数列{an}是不是等差数列,再根据a1=S1可求出a1的值,即得{an}的通项公式.
若an-1=-an-1,则an+an-1=1,而a1=3,所以a2=-2,这与数列{an}的各项均为正数相矛盾;若an-1=an-1,即an-an-1=1,因此{an}为等差数列.(2)由(1)知,{an}为等差数列,且a1=3,公差d=1,所以an=3+(n-1)=n+2,故{an}的通项公式为an=n+2.
方法点睛已知an与Sn的关系式求an时,可根据已给出的关系式,令n取n+1或n取n-1,再写出一个关系式,将两式相减,消去Sn,得到an与an+1或an与an-1的关系,从而确定数列{an}是等差数列或其他数列,求出其通项公式.
延伸探究 在本例中,若将条件变为“数列{an}的各项均为正数,前n项和为Sn,且满足8Sn=(an+2)2”,求数列{an}的通项公式.即(an+an-1)(an-an-1-4)=0.因为数列{an}的各项均为正数,所以an+an-1>0,所以an-an-1-4=0,即an-an-1=4,所以数列{an}为首项为2,公差为4的等差数列,故an=2+4(n-1)=4n-2.
1.设Sn为等差数列{an}的前n项和,公差d=-2,若S10=S11,则a1=( )A.18D.24答案 B
2.(2021安徽江淮名校高二联考)若等差数列{an}的前n项和为Sn,且S3=6,a3=4,则其公差d=( )
3.小于20的正奇数的所有和为( )A.64B.81C.100 D.121答案 C解析 设小于20的正奇数构成的数列为{an},则{an}是首项a1=1,公差d=2的等差数列,∴an=2n-1.由an≤19,得n≤10,即共有10个数.
4.已知数列{an}的前n项和Sn=-n2+3n,若ak+1=-16,则k的值等于( )A.9B.8C.7D.6答案 A解析 当n≥2时,an=Sn-Sn-1=-n2+3n+(n-1)2-3(n-1)=-2n+4.又a1=S1=2也适合上式,所以an=-2n+4(n∈N*),由ak+1=-16,得-2(k+1)+4=-16,解得k=9.
5.某电影院中,从第2排开始,每一排的座位数比前一排多2,第1排有18个座位,最后一排有36个座位,则该电影院共有 个座位. 答案 270解析 从第1排开始每排座位数形成等差数列{an},其中a1=18,an=36.公差为d=2,则36=18+2(n-1),解得n=10.
高中数学人教A版 (2019)选择性必修 第二册4.2 等差数列教学演示课件ppt: 这是一份高中数学人教A版 (2019)选择性必修 第二册4.2 等差数列教学演示课件ppt,共11页。PPT课件主要包含了第四章,等差数列,学习目标,新知学习,复习引入,新知探究,新知讲解,典例剖析,随堂小测,课堂小结等内容,欢迎下载使用。
人教A版 (2019)选择性必修 第二册4.2 等差数列优质ppt课件: 这是一份人教A版 (2019)选择性必修 第二册4.2 等差数列优质ppt课件
人教A版 (2019)选择性必修 第二册4.2 等差数列优秀课件ppt: 这是一份人教A版 (2019)选择性必修 第二册4.2 等差数列优秀课件ppt

