2021学年7.3 三角函数的图象和性质集体备课课件ppt
展开类型1 作函数y=Asin(ωx+φ)的图象
类型2 三角函数的图象变换
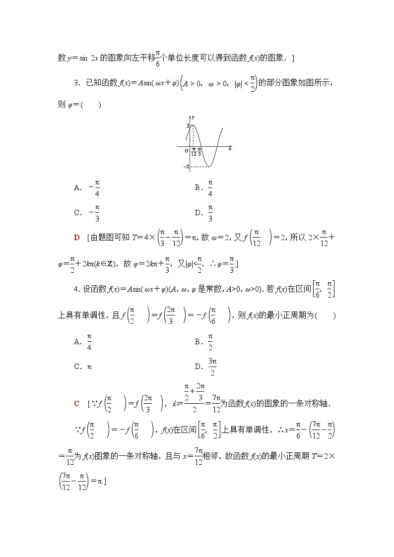
类型3 由图象求函数的解析式
类型4 y=Asin(ωx+φ)(A>0,ω>0)的性质
高中数学湘教版(2019)必修 第一册5.4 函数y=Asin(wx+φ)的图象与性质教课内容课件ppt: 这是一份高中数学湘教版(2019)必修 第一册5.4 函数y=Asin(wx+φ)的图象与性质教课内容课件ppt,文件包含湘教版高中数学必修第一册第5章54第2课时函数y=Asinωx+φ的图象及性质的应用课件ppt、湘教版高中数学必修第一册第5章54第2课时函数y=Asinωx+φ的图象及性质的应用学案doc、湘教版高中数学必修第一册课后素养落实49函数y=Asinωx+φ的图象及性质的应用含答案doc等3份课件配套教学资源,其中PPT共51页, 欢迎下载使用。
2021学年第5章 三角函数5.4 函数y=Asin(wx+φ)的图象与性质背景图ppt课件: 这是一份2021学年第5章 三角函数5.4 函数y=Asin(wx+φ)的图象与性质背景图ppt课件,文件包含湘教版高中数学必修第一册第5章54第1课时函数y=Asinωx+φ的图象及变换课件ppt、湘教版高中数学必修第一册第5章54第1课时函数y=Asinωx+φ的图象及变换学案doc、湘教版高中数学必修第一册课后素养落实48函数y=Asinωx+φ的图象及变换含答案doc等3份课件配套教学资源,其中PPT共54页, 欢迎下载使用。
数学必修 第一册5.6 函数 y=Asin( ωx + φ)课前预习课件ppt: 这是一份数学必修 第一册5.6 函数 y=Asin( ωx + φ)课前预习课件ppt,共54页。

