- 专题1.29 《有理数》数轴上的动点问题(专项练习)-2021-2022学年七年级数学上册基础知识专项讲练(人教版) 试卷 9 次下载
- 专题1.30 《有理数》规律问题(专项练习)-2021-2022学年七年级数学上册基础知识专项讲练(人教版) 试卷 8 次下载
- 专题1.32 《有理数》计算题综合训练(提高篇)(专项练习)-2021-2022学年七年级数学上册基础知识专项讲练(人教版) 试卷 8 次下载
- 专题1.33 《有理数》计算题综合训练(培优篇)(专项练习)-2021-2022学年七年级数学上册基础知识专项讲练(人教版) 试卷 6 次下载
- 专题1.34 《有理数》中考真题专练(基础篇)(专项练习)-2021-2022学年七年级数学上册基础知识专项讲练(人教版) 试卷 6 次下载
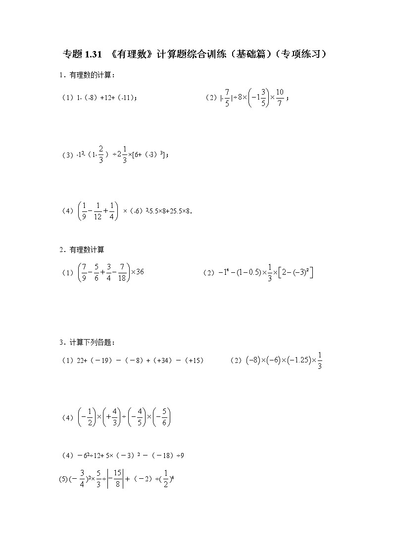
专题1.31 《有理数》计算题综合训练(基础篇)(专项练习)-2021-2022学年七年级数学上册基础知识专项讲练(人教版)
展开专题1.31 《有理数》计算题综合训练(基础篇)(专项练习)
1.有理数的计算:
(1)1﹣(﹣8)+12+(﹣11); (2)|﹣|;
(3) ﹣12﹣(1﹣)×[6+(﹣3)3];
(4) ×(﹣6)2﹣5.5×8+25.5×8.
2.有理数计算
(1) (2)
3.计算下列各题:
(1)22+(-19)-(-8)+(+34)-(+15) (2)
(4)
(4)-62÷12+ 5×(-3)2 -(-18)÷9
(5) (-)2×÷+(-2)÷()4
4.计算:
(1) ; (2)(—1)×(—)÷(—2)
(3) ; (4)
(4) (-96)×(-0.125)+96×+(-96)×.
(6)
5.计算:
(1)﹣20+(﹣14)﹣(﹣18)﹣13 (2)4﹣8×(﹣)3
(3) (4)
6.计算:
(1)(-1)2×5+(-2)3÷4; (2)24+÷+|-22|
7.计算:
(1)-; (2)|-49|×;
(3) |-3|-|-1|+|-3|.
8. 计算:(1) 23××0.5; (2)-×(-3)÷;
(4) (-30)×-×;(4)-22+[12-(-3)×4]÷(-3).
9.计算下列各题:
(1)(-12.5)+20.5; (2)2×(-);
(3)10+2÷×(-2); (4)1-(1-0.5)××[2-(-2)2].
9. 计算:(1) (-15)÷(-3); (2) (-0.48)÷0.16;
(3) (-12)÷(-); (4) (-12)÷(-)÷(-100).
11.计算下列各题:
(1)--+;
(2) ×2×32-÷(-1.75);
(3) -13×-0.34×+×(-13)-×0.34.
12.计算:
(1) -3.7-(- )-1.3; (2) (-3)÷+;
(3) ; (4 ) ÷(-32+2).
13.计算:
(1)
(4) .
14.计算题
(1); ;
; (4);
(5) ; (6)
15.计算:
; .
16.计算:
.
17.请你仔细阅读下列材料:计算:
解法:按常规方法计算
原式
解法:简便计算,先求其倒数
原式的倒数为:
故
再根据你对所提供材料的理解,模仿以上两种方法分别进行计算:.
18.计算:
(1)(-49)-(+91)-(-5)+(-9); (2)-17+17÷(-1)11-52×(-0.2)3;
(4) -5--15-1-0.2×35÷(-2)2.
19.计算:
(1) ; (2) ;
(4) .
20.计算下列各式的值:
(1) (-5)-(+3); (2) ( -5)-(-3);
(3) 5-18 (4) 0-(-4).
21.计算:
(1); (2).
22. 计算:(1)(﹣12)×(﹣); (2);
23.计算下列各题:
(1)-3-4+19-11; (2)(﹣0.75)×(﹣)÷(﹣);
(3) [2﹣(﹣0.2)×(﹣)];
24.阅读下面的解题过程,然后回答问题.
计算:.
解:
(第一步)
(第二步)
(第三步)
.
上述解题过程是否有错误?若无错误,请指出每一步的根据;若有错误,请指出错误原因并予以更正.
25.计算:
(1) (2)
26. 计算
(1) (2)()
(2)
27. 计算 (1) (2)
(3) (4).
28.计算
(1); (2).
29.求下列各式中的值.
(1); (2).
30.仔细算一算:
(1) (2)
(4) (4)
(5)
(6)
参考答案
1.(1)10;(2);(3)2;(4)170.
【解析】
【分析】
(1)根据有理数的加减法可以解答本题;
(2)根据有理数的乘除法可以解答本题;
(3)根据有理数的乘除法和加减法可以解答本题;
(4)根据乘法分配律和有理数的乘法和加减法可以解答本题.
【详解】
解:(1)1﹣(﹣8)+12+(﹣11)
=1+8+12+(﹣11)
=10;
(2)|﹣ |
=
= ;
(3)﹣12﹣(1﹣ ) ×[6+(﹣3)3]
=﹣1﹣ [6+(﹣27)]
=﹣1﹣(﹣21)
=﹣1+3
=2;
(4) ×(﹣6)2﹣5.5×8+25.5×8
= ×36+(﹣5.5+25.5)×8
=4+(﹣3)+9+20×8
=4+(﹣3)+9+160
=170.
故答案为:(1)10;(2);(3)2;(4)170.
【点拨】
本题考查有理数的混合运算,解题的关键是明确有理数混合运算的计算方法.
2.(1)11;(2)
【分析】
(1)根据乘法分配律即可求解;
(2)根据有理数的混合运算法则即可求解.
【详解】
解:原式
解:原式
.
【点拨】
此题主要考查有理数的运算,解题的关键是熟知有理数的运算法则.
3.(1)30; (2)-20; (3); (4) 44; (5) -31.5 .
【解析】
【分析】
根据有理数的运算法则计算即可.
【详解】
解:(1)原式=22-19+8+34-15=30;
(2)原式=10×(-2)=-20;
(3)原式=;
(4)原式=-36÷12+5×9+18÷9=-3+45+2=44;
(5)原式=.
【点拨】
本题考查有理数的运算,熟练掌握运算顺序和运算法则是解题关键.
4.(1)-29;(2)-;(3)-8;(4)-4;(5)-72;(6).
【详解】
试题分析:(1)先把原式写成省略“+”的形式,再把同号数相加即可求出答案;
(2)原式先计算乘法,再计算除法即可得到结果;
(3)原式先算乘方,再算乘除,最后算加减即可得到结果;
(4)原式利用乘法分配律计算即可得到结果;
(5)原式先提出96,再计算加减运算即可得到结果;
(6)原式先算乘方与括号,再算乘法,最后进行加减计算即可得到结果.
试题解析:(1)原式=-20-14+18-13=-29;
(2)原式=×÷(-)=-;
(3)原式=-8÷=-8×=-8;
(4)原式=
=-5-8+9=-4;
(5)原式=96×()=96×(-)=-72
(6)原式=-1-××(2-9)=-1+=.
考点:有理数的混合运算.
5.(1)-29;(2)5;(3)-26;(4)-.
【解析】
试题分析:(1)去括号进行加减运算即可;(2)先对乘方进行运算,再计算乘法,最后进行加减运算即可;(3)将除法变为乘法,再用乘法分配律进行计算;(4)先去绝对值,对乘方进行计算,再去括号,将除法变为乘法,最后进行减法运算即可.
试题解析:
解:(1)原式=-20-14+18-13=-29;
(2)原式=4-8×=5;
(3)原式=(--+)×36=-×36-×36+×36=-27-20+21=-26;
(4)原式=÷-=×-=-=-.
点拨:去括号的时候注意符号问题.
6.(1)3;(2)19
【解析】
试题分析:(1)按照先算乘方,再算乘除,后算加减的顺序计算;(2)按照先算乘方,再算乘除,后算加减的顺序计算,部分可按照乘法分配律计算.
解:(1)(-1)2×5+(-2)3÷4
=1×5+(-8) ×
=5-2
=3 ;
(2)
=
=
=15-16-2+22
=19.
7.(1) (2)7 (3)5
【详解】
分析:先化简绝对值,然后进行有理数的运算即可.
详解:(1)原式=-=.
(2)原式=49×=7.
(3)原式=3-1+3=5.
点拨:本题考查了绝对值及有理数的运算.解题的关键是正确得出各数的绝对值.
8.(1)3;(2)-6;(3)-15;(4)-12.
【解析】
分析:(1)先算乘方和括号里,然后根据乘法法则计算即可;
(2)先算乘方,再把除法转化为乘法,然后根据乘法法则计算即可;
(1)先算乘方和括号里,再算除法,后算加法即可.
详解:(1)原式=8××=3.
(2)原式=-×÷=-××=-6.
(3)原式=-15-=-15.
(4)原式=-4+[12-(-12)]÷(-3)=-4+24÷(-3)=-4+(-8)=-12.
点拨:本题考查了有理数的混合运算,熟练掌握有理数的运算法则是解答本体的额关键,混合运算的顺序是先算乘方,再算乘除,最后算加减,有括号的先算括号里,有时也可以根据运算定律改变运算的顺序.
9.(1) 8;(2)-2;(3)-2;(4).
【解析】
分析:(1)按照加法法则直接计算即可;
(2)先把2化成假分数,再按乘法法则计算;
(3)按先算乘除,后算加减的顺序计算;
(4)按先算乘方和括号里,再算乘法,后算加减的顺序计算.
详解:(1)原式=20.5-12.5=8.
(2)原式=-×=-2.
(3)原式=10+2×3×(-2)=10-12=-2.
(4)原式=1-××(2-4)=1-×(-2)=1+=.
点拨:本题考查了有理数的混合运算,混合运算的顺序是先算乘方,再算乘除,最后算加减;同级运算,按从左到右的顺序计算;如果有括号,先算括号里面的,并按小括号、中括号、大括号的顺序进行;有时也可以根据运算定律改变运算的顺序.
10.(1)5;(2)-3;(3)48;(4)-1.44.
【解析】
分析:首先确定商的符号,然后再进行绝对值的计算,从而得出答案.奇数个负有理数相除商为负数;偶数个负有理数相除商为正数.
详解:解:(1)(-15)÷(-3)=+(15÷3)=5.
(2)(-0.48)÷0.16=-(0.48÷0.16)=-3.
(3)(-12)÷(-)=+(12÷)=48.
(4)(-12)÷(-)÷(-100)=+(12÷)÷(-100)=144÷(-100)=-1.44.
点拨:本题主要考查的是有理数的除法计算法则,属于基础题型.在除法计算时,首先要确定符号,然后再进行绝对值计算得出答案.
11.(1);(2) 7;(3)-13.34.
【解析】
分析:(1)、首先将括号去掉,然后将同分母的分数进行计算,从而得出答案;(2)、前面的利用简便计算,将除法改成乘法进行计算,最后根据加减法计算法则得出答案;(3)、利用乘法分配律的逆运算进行简便计算即可得出答案.
详解:(1)原式=-+-=-=1-=.
(2)原式=(×18-×18+×18)-1.75÷(-1.75)=14-15+7+1=7.
(3)-13×-0.34×+×(-13)-×0.34=-13×+×(-13)-0.34×-×0.34=-13×-0.34×=-13×1-0.34×1=-13-0.34=-13.34.
点拨:本题主要考查的是有理数的简便计算法则,属于基础题型.理解乘方分配律是解决这个问题的关键.
12.(1)-4(2)-(3)19(4)-
【解析】
【分析】
(1)原式利用减法法则变形,计算即可得到结果;
(2)原式先计算除法运算,再计算加减运算即可得到结果;
(3)原式利用除法法则变形,再利用乘法分配律计算即可得到结果;
(4)原式先计算乘方运算,再计算乘除运算,最后算加减运算即可得到结果.
【详解】
(1)原式=(+)-(3.7+1.3)=1-5=-4;
(2)原式=(-3)÷+=-+=-;
(3)原式=×(-24)=×(-24)+×(-24)-×(-24)=18-14+15=19;
(4)原式=÷(-7)=×=-.
【点拨】
此题考查了有理数的混合运算,有理数的混合运算首先弄清运算顺序,先乘方,再乘除,最后算加减,有括号先算括号里边的,同级运算从左到右依次进行计算,然后利用各种运算法则计算,有时可以利用运算律来简化运算.
13.(1)-8;(2)-1;(3)10;(4)24;(5);
【解析】
【分析】
(1)先把减法转化为加法,然后按照加法法则计算;
(2)先把小数化为分数,带分数化为假分数,然后按照乘法法则计算;
(3)先算乘除,后算加减;
(4)按照乘法的分配律计算;
(5)按照先算乘方,再算乘除,后算加减,有括号的先算括号里的顺序计算.
【详解】
(1)
;
;
;
;
(5).
.
【点拨】
本题考查了有理数的混合运算,熟练掌握混合运算的顺序是解答本题的关键.混合运算的顺序是先算乘方,再算乘除,最后算加减;同级运算,按从左到右的顺序计算;如果有括号,先算括号里面的,并按小括号、中括号、大括号的顺序进行;有时也可以根据运算定律改变运算的顺序.
14.(1)3;(2)-2;(3)-22;(4)-11;(5)-66;(6)-108.
【分析】
(1)计算加减法即可求解;
(2)计算乘除法即可求解;
(3)根据乘法分配律简便计算;
(4)先算乘除,再算加减;
(5)(6)先算乘方,再算乘除,最后算加减;
【详解】
解:(1);
;
;
(4),
;
(5),
;
(6),
.
【点拨】
考查了有理数的混合运算,有理数混合运算顺序:先算乘方,再算乘除,最后算加减;同级运算,应按从左到右的顺序进行计算;如果有括号,要先做括号内的运算.进行有理数的混合运算时,注意各个运算律的运用,使运算过程得到简化.
15.(1)26;(2).
【解析】
【分析】
(1)根据乘法分配律可以解答本题;
(2)根据幂的乘方、有理数的乘除法和加法可以解答本题.
【详解】
;
.
【点拨】
本题考查有理数的混合运算,解题的关键是明确有理数混合运算的计算方法.
16.①; ②; ③; ④.
【解析】
【分析】
(1)原式利用减法法则变形,计算即可得到结果;
(2)原式先计算乘除运算,再计算加减运算即可得到结果;
(3)原式逆用乘法分配律计算即可得到结果;
(4)原式先计算乘方运算,再计算除法运算,最后算加减运算即可得到结果.
【详解】
①原式;
②原式;
③原式;
④原式.
【点拨】
此题考查了有理数的混合运算,熟练掌握运算法则是解本题的关键.
17..
【解析】
【分析】
观察解法1,用常规方法计算即可求解;
观察解法2,可让除数和被除数交换位置进行计算,最后的结果取计算结果的倒数即可.
【详解】
解法,
;
解法,原式的倒数为:
,
故.
【点拨】
此题考查了有理数的混合运算,,解决本题的关键是读懂题意,理解第二种解法的思路:两个数相除,可先求这两个数相除的倒数.
18.(1)-144;(2) -3345;(3) -42950.
【解析】
【分析】
(1)去括号后用有理数加减法运算法则计算即可.
(2)先算乘方运算,在算乘除,在进行加减运算即可.
(3)先算小括号内的,在算中括号内的,最后算括号外的可得结果.
【详解】
(1)原式=-49-91+5-9
=-49-91-9+5=-149+5=-144;
(2)原式=-17+17÷(-1)-25×-1125
=-17+(-17)--15
=-34+15=-3345;
(3)原式=-5--15-1-325÷4
=-5--15-2225×14
=-5--2150=-5+2150=-42950.
【点拨】
本题主要考查有理数的运算法则及乘方的运算.
19.(1)-2;(2);(3)-29
【分析】
根据有理数的混合运算进行计算即可解答
【详解】
(1)原式= = =-2
(2)原式=
(3)原式= = =-29
【点拨】
此题考查有理数的混合运算,掌握运算法则是解题关键
20.(1)-8;(2)-2;(3)-13;(4)4
【解析】
【分析】
把减法转化为加法,然后根据加法法则计算即可.
【详解】
(1)(-5)-(+3)=(-5)+(-3)=-8.
(2)(-5)-(-3)=(-5)+(+3)=-2.
(3)5-18=5+(-18)=-13.
(4)0-(-4)=0+(+4)=4.
【点拨】
本题考查了有理数的减法运算,熟练掌握减去一个数等于加上这个数的相反数是解答本题的关键.
21.(1) ; (2)
【解析】
【分析】
把除法转化为乘法,并把带分数化为假分数,然后根据乘法法则计算即可.
【详解】
(1) 原式.
(2) 原式.
【点拨】
本题考查了两个有理数的除法法则,熟练掌握除以一个数等于乘以这个数的倒数是解答本题的关键.
22.(1)6;(2) .
【解析】
【分析】
(1)根据乘法的分配律进行计算即可;
(2)根据幂的乘方、绝对值、有理数的乘除和加减进行计算即可.
【详解】
解:(1)
=
=9+7﹣10
=6;
(2)
=
=
=.
【点拨】
本题考查有理数的混合运算,解题的关键是明确乘法的分配律和有理数的混合运算的方法.
23.(1)1;(2) ;(3) .
【解析】
【分析】
(1)根据有理数的加法和减法进行计算即可;
(2)根据有理数的乘法和加法进行计算即可;
(3)根据有理数混合运算的方法进行计算即可.
【详解】
解:(1)﹣3﹣4+19﹣11
=﹣3﹣4﹣11+19
=1;
(2)
=
=;
(3)
=
=
=
.
【点拨】
本题考查有理数的混合运算,解题的关键是明确有理数混合运算的方法.
24.有错误.第一步减法变加法时出现错误,减去一个数等于加上这个数的相反数,即括号内的各数都要变为原数的相反数,而本题只改变了括号内第一个数的符号.正确解法:见解析,.
【解析】
【分析】
根据有理数混合运算法则判断并计算即可.
【详解】
有错误.第一步减法变加法时出现错误,减去一个数等于加上这个数的相反数,即括号内的各数都要变为原数的相反数,而本题只改变了括号内第一个数的符号.
正确解法:
.
【点拨】
本题考查了有理数混合运算,熟练掌握运算顺序和运算法则是解题关键.
25.(1)15;(2)14
【分析】
(1)根据含乘方的有理数的混合运算法则,即可求解;
(2)根据有理数的混合运算以及分配律,即可求解.
【详解】
(1)原式=
=
=15;
(2)原式=
=
=14.
【点拨】
本题主要考查含乘方的有理数的混合运算,掌握运算顺序和分配律是解题的关键.
26.(1);(2)90;(3)
【分析】
(1)先求出绝对值,再进行除法运算;
(2)先算出绝对值,再算小括号里面的,然后进行乘法运算即可;
(3)先分别算出每个绝对值,再进行运算.
【详解】
解:(1)
=
(2)()
(3)
故答案为:(1);(2)90;(3)
【点拨】
本题考查了有理数的绝对值的混合运算,熟练绝对值的性质是解题的关键.
27.(1)-11(2)(3)(4)-10
【分析】
(1)根据有理数的混合运算法则即可求解;
(2)根据有理数的混合运算法则即可求解;
(3)根据有理数的加减运算法则即可求解;
(4)根据有理数的混合运算法则即可求解.
【详解】
(1)解:
=-11
(2)解:
(3)解:
(4)解:
.
【点拨】
此题主要考查有理数的运算,解题的关键是熟知其运算法则.
28.(1);(2).
【分析】
(1)将小数与百分数化为分数,并按照先乘除后加减的计算原则,对计算结果进行化简约分,最后求得答案;
(2)将小数化为分数,并按照先乘除后加减的计算原则,遇到括号先求括号里面的结果,对计算结果进行化简约分,最后求得答案.
【详解】
解:(1)
=
=
=
=;
(2)
=
=
==.
【点拨】
本题主要考察了有理数的加减乘除混合运算,解题的关键在于掌握先乘除后加减的计算原则,遇到括号先求括号里面的结果,并在计算过程中将小数、百分数等化为分数,方便约分.
29.(1) (2)或
【分析】
(1)由题意利用绝对值的性质可得,由此进行求解即可;
(2)根据题意利用绝对值的性质可得,由此进行求解即可.
【详解】
解:(1)∵,
∴,
∴;
(2)∵,
∴,
∴或.
【点拨】
本题考查绝对值的性质,注意掌握正负数的绝对值都是正数,求这个数要考虑正负两种情况.
30.(1)-1.5;(2)1;(3)5;(4)-8;(5)-79;(6)2
【分析】
根据有理数的混合运算法则计算即可.
【详解】
解:(1)
=
=
=-1.5;
(2)
=
=
=1;
(3)
=
=
=
=5;
(4)
=
=
=
=-8;
(5)
=
=
=
=-79;
(6)
=
=
=
=2
【点拨】本题考查了有理数的混合运算,解题的关键是掌握运算法则和运算顺序.
人教版七年级上册第一章 有理数1.2 有理数1.2.1 有理数同步测试题: 这是一份人教版七年级上册第一章 有理数1.2 有理数1.2.1 有理数同步测试题,共14页。
专题4.7 角(专项练习)(基础篇)-2021-2022学年七年级数学上册基础知识专项讲练(人教版): 这是一份专题4.7 角(专项练习)(基础篇)-2021-2022学年七年级数学上册基础知识专项讲练(人教版),共175页。试卷主要包含了角的概念理解,角的表示方法,角的分类,方位角,方位角有关的计算,钟表上有关夹角问题等内容,欢迎下载使用。
专题1.35 《有理数》中考真题专练(巩固篇)(专项练习)-2021-2022学年七年级数学上册基础知识专项讲练(人教版): 这是一份专题1.35 《有理数》中考真题专练(巩固篇)(专项练习)-2021-2022学年七年级数学上册基础知识专项讲练(人教版),共17页。试卷主要包含了单选题,填空题等内容,欢迎下载使用。

