2021学年1.2导数的计算教学设计
展开.
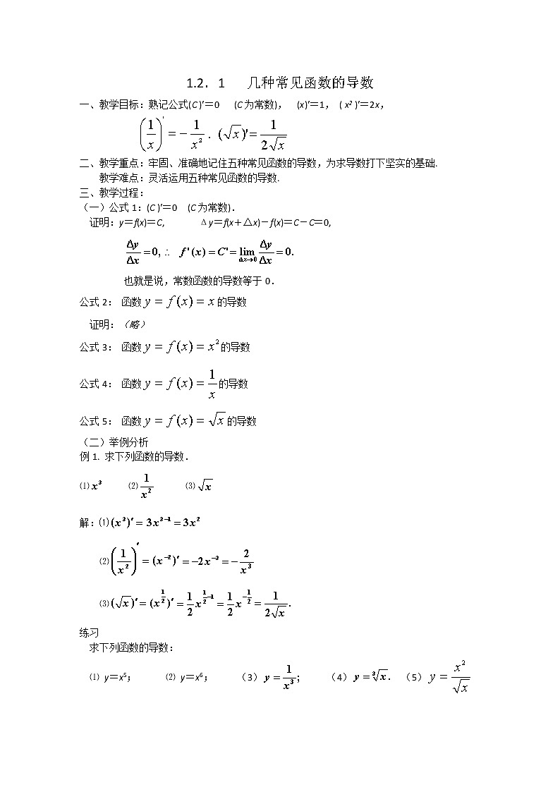
二、教学重点:牢固、准确地记住五种常见函数的导数,为求导数打下坚实的基础.
教学难点:灵活运用五种常见函数的导数.
三、教学过程:
(一)公式1:(C )=0 (C为常数).
证明:y=f(x)=C, Δy=f(x+Δx)-f(x)=C-C=0,
也就是说,常数函数的导数等于0.
公式2: 函数的导数
证明:(略)
公式3: 函数的导数
公式4: 函数的导数
公式5: 函数的导数
(二)举例分析
例1. 求下列函数的导数.
⑴ ⑵ ⑶
解:⑴
⑵
⑶
练习
求下列函数的导数:
⑴ y=x5; ⑵ y=x6; (3) (4) (5)
例2.求曲线和在它们交点处的两条切线与x轴所围成的三角形的面积。
例3.已知曲线上有两点A(1,1),B(2,2)。
求:(1)割线AB的斜率; (2)在[1,1+△x]内的平均变化率;
(3)点A处的切线的斜率; (4)点A处的切线方程
例4.求抛物线y=x2上的点到直线x-y-2=0 的最短距离.
(三)课堂小结
几种常见函数的导数公式
(C )=0 (C为常数), (x)=1, ( x2 )=2x, .
(四)课后作业
《习案》作业四
数学选修2-21.3导数在研究函数中的应用教学设计: 这是一份数学选修2-21.3导数在研究函数中的应用教学设计,共2页。教案主要包含了教学目标,教学重点,教学过程等内容,欢迎下载使用。
人教版新课标A选修2-21.3导数在研究函数中的应用教案设计: 这是一份人教版新课标A选修2-21.3导数在研究函数中的应用教案设计,共2页。教案主要包含了教学目标,教学重点,教学过程等内容,欢迎下载使用。
高中数学人教版新课标A选修2-21.3导数在研究函数中的应用教案: 这是一份高中数学人教版新课标A选修2-21.3导数在研究函数中的应用教案,共2页。

