- 2021_2022学年新教材高中数学过程性评价二十八第四章指数函数与对数函数4.2.2第2课时指数函数的图象和性质的应用课时练习课件新人教A版必修第一册 课件 0 次下载
- 2021_2022学年新教材高中数学过程性评价二十九第四章指数函数与对数函数4.3.1对数的概念课时练习课件新人教A版必修第一册 课件 0 次下载
- 2021_2022学年新教材高中数学过程性评价三十一第四章指数函数与对数函数4.4.1对数函数的概念课时练习课件新人教A版必修第一册 课件 0 次下载
- 2021_2022学年新教材高中数学过程性评价三十二第四章指数函数与对数函数4.4.2第1课时对数函数的图象和性质课时练习课件新人教A版必修第一册 课件 0 次下载
- 2021_2022学年新教材高中数学过程性评价三十三第四章指数函数与对数函数4.4.2第2课时对数函数的图象和性质的应用课时练习课件新人教A版必修第一册 课件 0 次下载
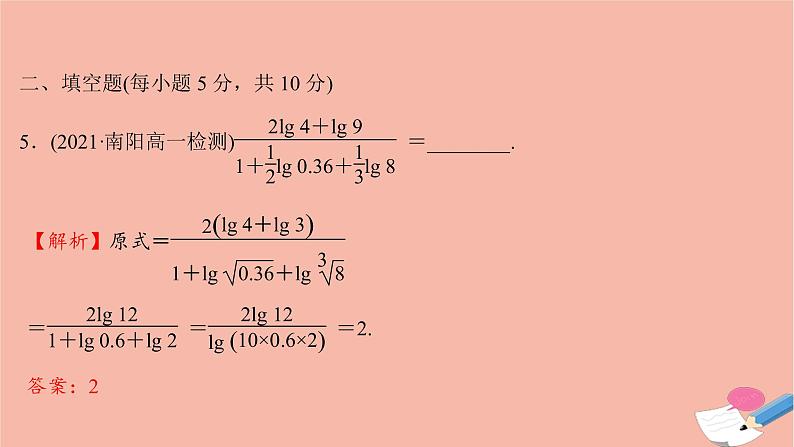
人教A版 (2019)必修 第一册4.3 对数背景图ppt课件
展开三十 对数的运算本课结束
高中人教A版 (2019)4.5 函数的应用(二)教课课件ppt: 这是一份高中人教A版 (2019)4.5 函数的应用(二)教课课件ppt,共18页。
人教A版 (2019)必修 第一册4.5 函数的应用(二)示范课ppt课件: 这是一份人教A版 (2019)必修 第一册4.5 函数的应用(二)示范课ppt课件,共19页。
数学必修 第一册4.4 对数函数教学课件ppt: 这是一份数学必修 第一册4.4 对数函数教学课件ppt,共20页。

