高中数学人教A版 (2019)必修 第一册5.3 诱导公式授课ppt课件
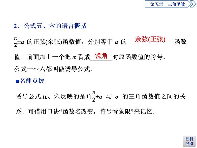
展开人教A版 (2019)必修 第一册5.3 诱导公式图片ppt课件: 这是一份人教A版 (2019)必修 第一册5.3 诱导公式图片ppt课件,共31页。PPT课件主要包含了目标认知,图5-3-1,知识点二诱导公式,cosα,sinα,-sinα等内容,欢迎下载使用。
高中数学人教A版 (2019)必修 第一册5.3 诱导公式图文ppt课件: 这是一份高中数学人教A版 (2019)必修 第一册5.3 诱导公式图文ppt课件,共33页。
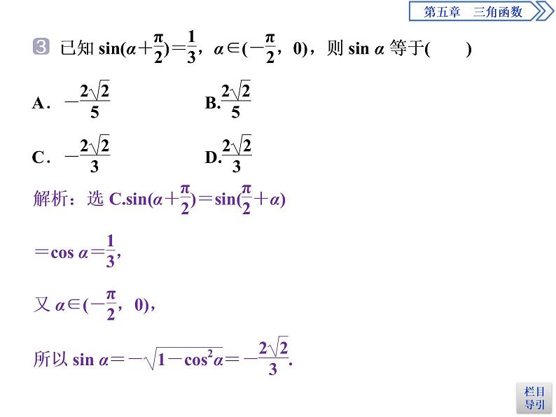
人教A版 (2019)必修 第一册第五章 三角函数5.3 诱导公式优秀ppt课件: 这是一份人教A版 (2019)必修 第一册第五章 三角函数5.3 诱导公式优秀ppt课件,共45页。PPT课件主要包含了自主阅读·新知预习,合作探究·深化提能,随堂检测·内化素养,课时作业·分层自检等内容,欢迎下载使用。

