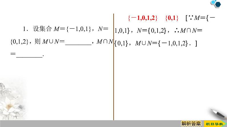
高中数学人教A版 (2019)必修 第一册1.3 集合的基本运算示范课课件ppt
展开数学必修 第一册1.3 集合的基本运算集体备课课件ppt: 这是一份数学必修 第一册1.3 集合的基本运算集体备课课件ppt,共34页。
高中1.3 集合的基本运算课堂教学ppt课件: 这是一份高中1.3 集合的基本运算课堂教学ppt课件,共18页。PPT课件主要包含了Venn图,反之亦然,自然语言,集合语言,且A∩BC,C-17等内容,欢迎下载使用。
人教A版 (2019)必修 第一册1.3 集合的基本运算集体备课ppt课件: 这是一份人教A版 (2019)必修 第一册1.3 集合的基本运算集体备课ppt课件,共45页。PPT课件主要包含了目标认知,知识点一集合的并集,A∪B,x∈A或x∈B,知识点二集合的交集,集合A且属于集合B,A∩B,x∈A且x∈B,x∈A但x∉B,x∈B但x∉A等内容,欢迎下载使用。

