江西省新余市2019-2020学年高一下学期期末考试数学(理)试题
展开新余市2019-2020学年度下学期期末质量检测
高一数学试题卷(理科)
说明:1.本卷共有三个大题,22个小题,全卷满分150分,考试时间120分钟.
2.本卷分为试题卷和答题卷,答案要求写在答题卷上,在试题卷上作答不给分.
一、选择题(本大题共12小题,每小题5分,共60分.在每小题给出的四个选项中,只有一项是符合题目要求的)
1.若,,则有( )
A. B. C. D.
2.下列四式不能化简为的是( )
A. B.
C. D.
3.( )
A. B. C. D.
4.已知向量、满足,,向量、的夹角为,则的值为( )
A.4 B.3 C.2 D.
5.等差数列的前项和为,若,,则( )
A.51 B.50 C.49 D.48
6.已知在中,点在边上,且,点在边上,且,则向量( )
A. B. C. D.
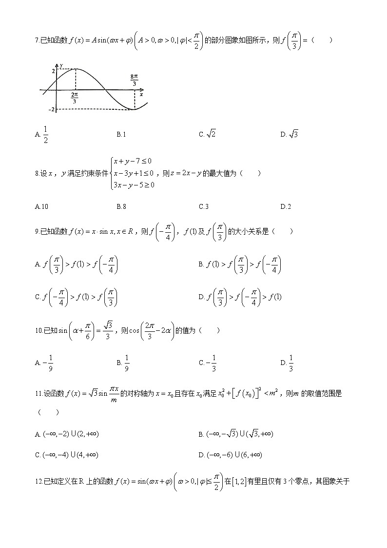
7.已知函数的部分图象如图所示,则( )
A. B.1 C. D.
8.设,满足约束条件,则的最大值为( )
A.10 B.8 C.3 D.2
9.已知函数,则,及的大小关系是( )
A. B.
C. D.
10.已知,则的值为( )
A. B. C. D.
11.设函数的对称轴为且存在满足,则的取值范围是( )
A. B.
C. D.
12.已知定义在上的函数在有里且仅有3个零点,其图象关于点和直线对称,给出下列结论:
②函数在上有且仅有3个最值点;
③函数在上单调递增;
④函数的最小正周期是2.
其中所有正确结论的个数是( )
A.1 B.2 C.3 D.4
二、填空题(本大题共4小题,每题5分,共20分.请将正确答案填在答题卷相应位置.)
13.是第___________象限角.
14.已知两个非零向量,不共线,,,,且、、三点共线,则等于___________.
15.记为数列的前项和,若,则等于___________.
16.当取遍所有值时,直线所围成图形的面积为___________.
三、解答题(本大题共6小题,共70分.解答应写出文字说明、证明过程或演算步骤)
17.(本小题10分)
已知角的终边过点.
(1)求的值;
(2)若为第三象限角,且,求的值.
18.(本小题12分)
如图,在中,已知,,,为线段中点,为线段中点.
(1)求的值;
(2)求,夹角的余弦值.
19.(本小题12分)
已知等差数列,公差,前项和为,,且满足,,成等比数列.
(1)求的通项公式;
(2)设,求数列的前项和的值.
20.(本小题12分)
已知为坐标原点,,,,若.
(1)求函数的最小正周期和单调递增区间
(2)设,求函数在上的最小值.
21.(本小题12分)
已知函数满足如下条件:
①函数的最小值为-3,最大值为9;
②且;
③若函数在区间上是单调函数,则的最大值为2.
试探究并解决如下问题:
(1)求的解析式;
(2)设,是函数的零点,求的取值集合.
22.(本小题12分)
将函数的图象向右平移一个单位,再将所得的图象上每一点的纵坐标不变,横坐标伸长为原来的2倍后所得到的图象对应的函数记作.
(1)在中,三个内角,,且,若角满足,求的取值范围;
(2)已知常数,,且函数在内恰有2021个零点,求常数与的值.
新余市2019-2020学年度下学期期末质量检测
高一数学参考答案(理科)
一、选择题(本大题共12小题,每小题5分,共60分)
1.D 2. C 3.D 4.C 5.C 6.B 7.D 8.B 9.A 10.C 11.A 12.B
二、填空题(本大题共4个小题,每小题5分,共20分.)
13.三(或写3) 14.2 15.32 16.
三、解答题(本大题共6小题,共70分。解答应写出必要的文字说明、证明过程及演算步骤)
17.解:(1)因为角的终边过点,
所以,,,
所以.
(2)因为为第三象限角,且,所以,.
由(1)知,,,
所以.
- 解:(1)依题意可知为直角三角形,,如图建立坐标系:
则,,因为为的中点,故.
,,.
(2)由为线段中点可知,
,,
.
19.解:(1)由,得,
又因为,,成等比数列,则,解得或,
,数列的通项公式为.
(2)由(1)可知,
.
20.解:(1)由题意,,
所以,
所以函数的最小正周期为,
由,得,
所以的单调递增区间为.
(2)由(1)得,∴,
∵,∴,
∴当,即时,有最小值,且,
∴函数在上的最小值为2.
21.解:(1)因为,,
所以,,所以,.
所以.
因为在区间上是单调函数,则的最大值为2,
所以,所以,所以即,
所以.
因为,所以,因为,所以或.
所以.
所以.
(2)令,则,所以函数的零点都满足:
或.
因为,是函数的零点,所以
即.
故的值的集合为.
22.解:(1)依题意可知
因为,所以,,,
,
因为,所以,所以,
,所以,的取值范围为.
(2)依题意,,
当时,,则在内的零点个数为偶数个,故,
令, ,得,,
二次方程必有两不等实根、,,则、异号,
(i)当且时,
方程在根的个数为偶数个,不合乎题意;
(ii)当,则,当时,
关于的方程在上有三个根,
由于,则为奇数,
则,解得,不是整数,舍去.
(iii)当时,则,当时,
关于的方程在上有三个根,且为奇数,
则,解得
此时,,得.
综上所述:,.
江西省新余市2023届高三二模数学(理)试题及答案: 这是一份江西省新余市2023届高三二模数学(理)试题及答案,共24页。
江西省新余市2023届高三二模数学(理)试题(含答案): 这是一份江西省新余市2023届高三二模数学(理)试题(含答案),共23页。试卷主要包含了单选题,填空题,解答题等内容,欢迎下载使用。
江西省新余市2023届高三二模数学(理)试题(含答案): 这是一份江西省新余市2023届高三二模数学(理)试题(含答案),共8页。试卷主要包含了单选题,填空题,解答题等内容,欢迎下载使用。

