江西省新余市2019-2020学年高一下学期期末考试数学(文)试题
展开说明:1.本卷共有三个大题,22个小题,全卷满分150分,考试时间120分钟.
2.本卷分为试题卷和答题卷,答案要求写在答题卷上,在试题卷上作答不给分.
一、选择题(本大题共12小题,每小题5分,共60分.在每小题给出的四个选项中,只有一项是符合题目要求的.)
1.已知集合,,则( )
A.B.C.D.
2.若角的终边过点则( )
A.B.C.D.
3.下列四个函数中,以为最小正周期,且在区间上为减函数的是( )
A.B.C.D.
4.《张丘建算经》中女子织布问题为:某女子善于织布,一天比一天织得快,且从第2天开始,每天比前一天多织相同量的布,已知第一天织5尺布,一月(按30天计)共织390尺布,则从第2天起每天比前一天多织( )尺布.
A.B.C.D.
5.已知是的边上一点,且设,,等于( )
A.B.C.D.
6.数列的通项公式是,若前项的和为,则项数为( )
A.12B.11C.10D.9
7.设变量,满足约束条件,则的最大值为( )
A.2B.4C.6D.
8.要得到函数,只需要将函数的图象上的所有点( )
A.横坐标缩短为原来的,再向左平移个单位得到
B.横坐标缩短为原来的,再向右平移个单位得到
C.横坐标伸长为原来的2倍,再向左平移个单位得到
D.横坐标伸长为原来的2倍,再向右平移个单位得到
9.设,,,则有( )
A.B.C.D.
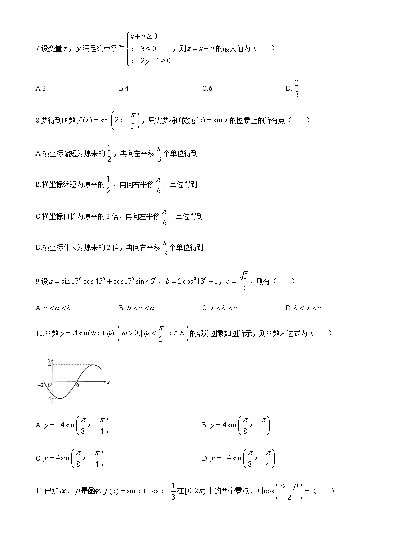
10.函数的部分图象如图所示,则函数表达式为( )
A.B.
C.D.
11.已知,是函数在上的两个零点,则( )
A.B.C.D.0
12.已知函数在区间上单调,且在区间内恰好取得一次最大值2,则的取值范围是( )
A.B.C.D.
二、填空题(本大题共4小题,每题5分,共20分.请将正确答案填在答题卷相应位置.)
13.用弧度制表示所有与终边相同的角的集合是__________.
14.已知,则最小值为__________.
15.将函数的图象向左平移个单位,再向上平移1个单位,得到的图象.若,且,则的最大值为__________.
16.为坐标原点,已知向量,,,,为非负实数且,,则的最小值为__________.
三、解答题(本大题共6小顾,共70分.解答应写出文字说明、证明过程或演算步骤)
17.(本小题10分)
已知为等差数列,且,.
(1)求的通项公式;
(2)若等比数列满足,,求的前项和公式.
18.(本小题12分)
已知向量、的夹角为,且,.
(1)求的值;
(2)求与的夹角的余弦.
19.(本小题12分)
已知.
(1)化简;
(2)若,且是第二象限角,求的值.
20.(本小题12分)
已知函数的最小正周期为.
(1)求的单调增区间和对称轴;
(2)若,求的最大值和最小值.
21.(本小题12分)
已知,设向量,.
(1)若,求的值;
(2)若,求的值.
22.(本小题12分)
已知,是函数的两个相邻的零点.
(1)求的值;
(2)若对任意的,都有,求实数的取值范围;
(3)若关于的方程在上有两个不同的解,求实数的取值范围.
新余市2019-2020学年度下学期期末质量检测
高一数学参考答案(文科)
一、选择题
1.B 2.C 3.D 4.B 5.D 6.C
7.C 8.B 9.A 10.A 11.C 12.B
二、填空题
13.
14.3
15.
16.
三、解答题
17.【答案】(1)设等差数列的公差为.
因为,
所以,解得.
所以.
(2)设等比数列的公比为.
因为,
所以,即.
所以的前项和公式为.
18.【答案】(1)(2)
(1)
(2)
19.【答案】解:
且是第二象限角,
20.【答案】(1)由题意知,解得,所以,
令,
解得,
所以的单调增区间为 ,
令,解得,
所以的对称轴为;
(2)则
当时,
当时,
所以时,,.
21.【答案】(1)
(2)因为, ,且
所以,即 .
,则,
.
.
22.【答案】
,
由题意知,的最小正周期为,,
故
由,得,,
,.
原方程可化为,设,
由图象可知,
2023届江西省新余市高三二模数学(文)试题含解析: 这是一份2023届江西省新余市高三二模数学(文)试题含解析,共19页。试卷主要包含了单选题,填空题,解答题等内容,欢迎下载使用。
江西省新余市2023届高三二模数学(文)试题: 这是一份江西省新余市2023届高三二模数学(文)试题,共21页。试卷主要包含了单选题,填空题,解答题等内容,欢迎下载使用。
江西省新余市2023届高三二模数学(文)试题(含答案): 这是一份江西省新余市2023届高三二模数学(文)试题(含答案),共8页。试卷主要包含了单选题,填空题,解答题等内容,欢迎下载使用。

