专题6 三角恒等变换-2021年高考冲刺之二轮专题精讲精析
展开1.将函数的图象沿轴向左平移个单位后得到函数,若为偶函数,则的最小值为( )
A.B.C.D.
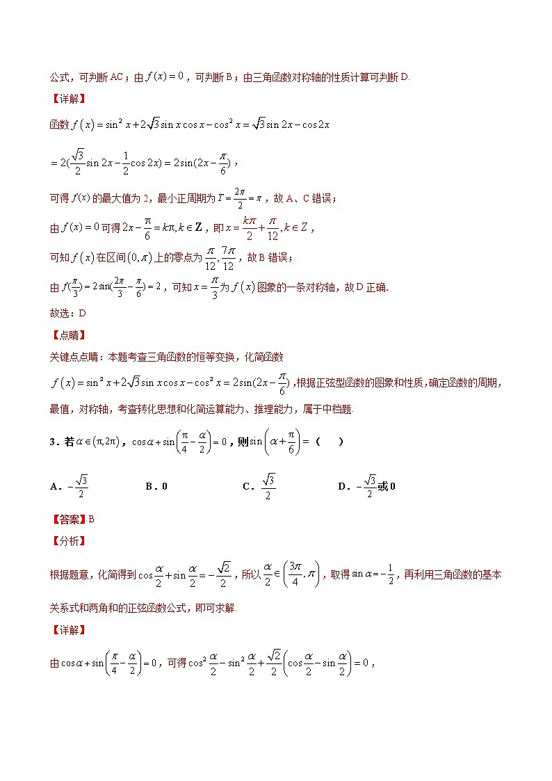
2.已知函数,,则( )
A.的最大值为B.在区间上只有个零点
C.的最小正周期为D.为图象的一条对称轴
3.若,,则( )
A.B.0C.D.或0
4.已知函数在上恰有5个不同的零点,则实数的范围是( )
A.B.C.D.
5.已知函数,其中,,且,若对一切恒成立,则( )
A.B.是奇函数
C.D.在区间上有2个极值点
6.向量,,则的最大值为( )
A.3B.4C.5D.6
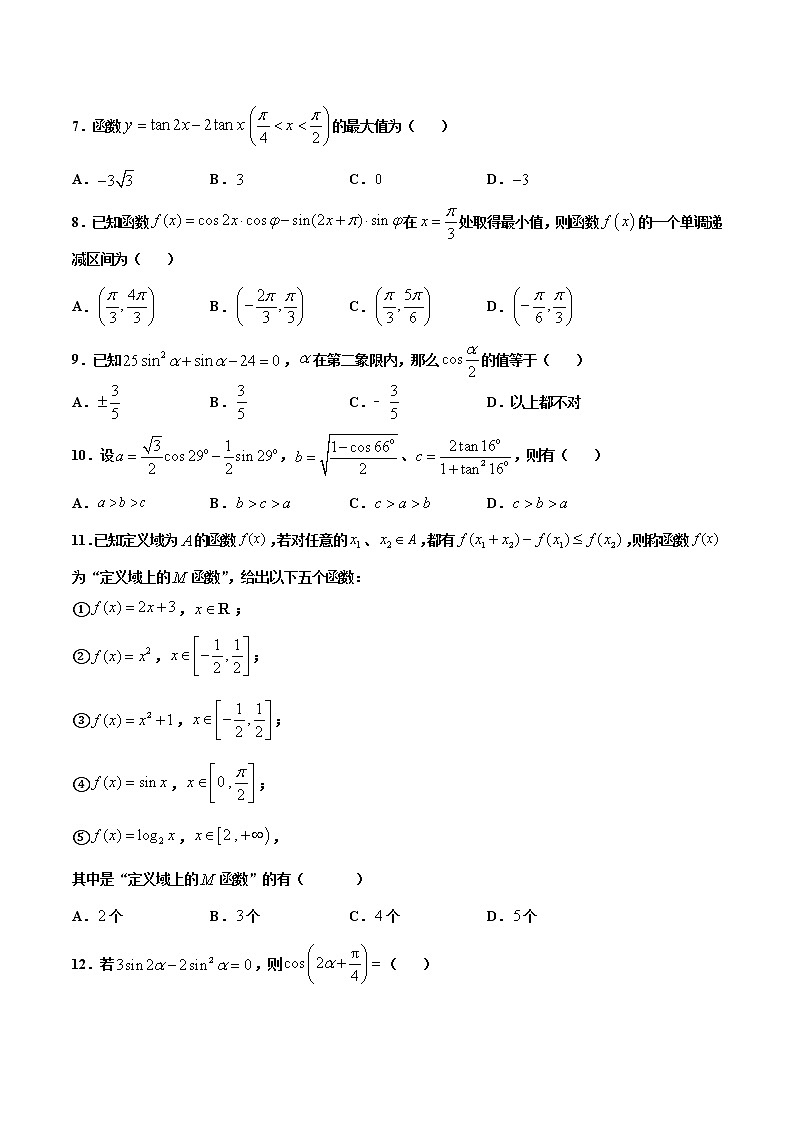
7.函数的最大值为( )
A.B.C.D.
8.已知函数在处取得最小值,则函数的一个单调递减区间为( )
A.B.C.D.
9.已知,在第二象限内,那么的值等于( )
A.B.C.D.以上都不对
10.设,、,则有( )
A.B.C.D.
11.已知定义域为的函数,若对任意的、,都有,则称函数为“定义域上的函数”,给出以下五个函数:
①,;
②,;
③,;
④,;
⑤,,
其中是“定义域上的函数”的有( )
A.个B.个C.个D.个
12.若,则( )
A.B.或C.或D.
二、填空题
13.函数的最小正周期为______.
14.设,,若对任意成立,则下列命题中正确的命题是______.(填序号)
①;②;③不具有奇偶性;④的单调增区间是;⑤可能存在经过点的直线与函数的图象不相交.
15.已知,则___________.
16.已知,则______.
三、解答题
17.已知,是函数(>0)的两个相邻的零点.
(1)若对任意,恒成立,求实数m的取值范围;
(2)若关于x的方程在上有两个不同的解,求实数n的取值范围.
18.已知、、为锐角三角形的三个内角,若向量与向量是共线向量.
(1)求角;
(2)求函数的最大值.
19.已知函数.
(1)求单调递增区间;
(2)若,且,求的值.
20.已知向量,,且函数.
(1)求函数在时的值域;
(2)设是第一象限角,且,求的值.
21.已知函数.
(Ⅰ)设,且,求的值;
(Ⅱ)将函数的图像向左平移个单位长度,得到函数的图像. 当时,求满足的实数的集合.
22.向量,,函数.
(1)求函数的最小值,并求出取最小值时x的值;
(2)先将函数的图像向左平移个单位,再将横坐标缩短为原来的,纵坐标不变,得函数 的图像,求的单减区间.
专题11 圆锥曲线-2021年高考冲刺之二轮专题精讲精析: 这是一份专题11 圆锥曲线-2021年高考冲刺之二轮专题精讲精析,文件包含专题11圆锥曲线原卷版-2021年高考冲刺之二轮专题精讲精析doc、专题11圆锥曲线解析版-2021年高考冲刺之二轮专题精讲精析doc等2份试卷配套教学资源,其中试卷共30页, 欢迎下载使用。
专题15 导数的应用-2021年高考冲刺之二轮专题精讲精析: 这是一份专题15 导数的应用-2021年高考冲刺之二轮专题精讲精析,文件包含专题15导数的应用原卷版-2021年高考冲刺之二轮专题精讲精析doc、专题15导数的应用解析版-2021年高考冲刺之二轮专题精讲精析doc等2份试卷配套教学资源,其中试卷共30页, 欢迎下载使用。
专题13 概率与统计-2021年高考冲刺之二轮专题精讲精析: 这是一份专题13 概率与统计-2021年高考冲刺之二轮专题精讲精析,文件包含专题13概率与统计原卷版-2021年高考冲刺之二轮专题精讲精析doc、专题13概率与统计解析版-2021年高考冲刺之二轮专题精讲精析doc等2份试卷配套教学资源,其中试卷共29页, 欢迎下载使用。

