专题22 圆锥曲线的弦长面积及其范围问题-2021届新高考数学一轮复习知识点总结与题型归纳面面全
展开弦长问题
设圆锥曲线C∶fx , y=0与直线l:y=kx+b相交于Ax1 , y1,Bx2 , y2两点,
则弦长AB为:AB=1+k2x1−x2=1+k2x1+x2−4x1x2=1+k2Δxa 或AB=1+1k2y1−y2=1+1k2y1+y2−4y1y2=1+1k2Δya
(二)面积问题
1.三角形面积问题
直线AB方程:y=kx+m d=PH=kx0−y0+m1+k2
SΔABP=12AB⋅d=121+k2Δxa⋅kx0−y0+m1+k2
2.焦点三角形的面积
直线AB过焦点F2,ΔABF1的面积为
SΔABF1=12F1F2⋅y1−y2=cy1−y2=cΔya
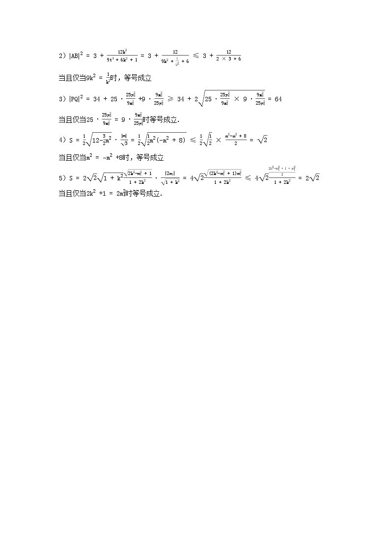
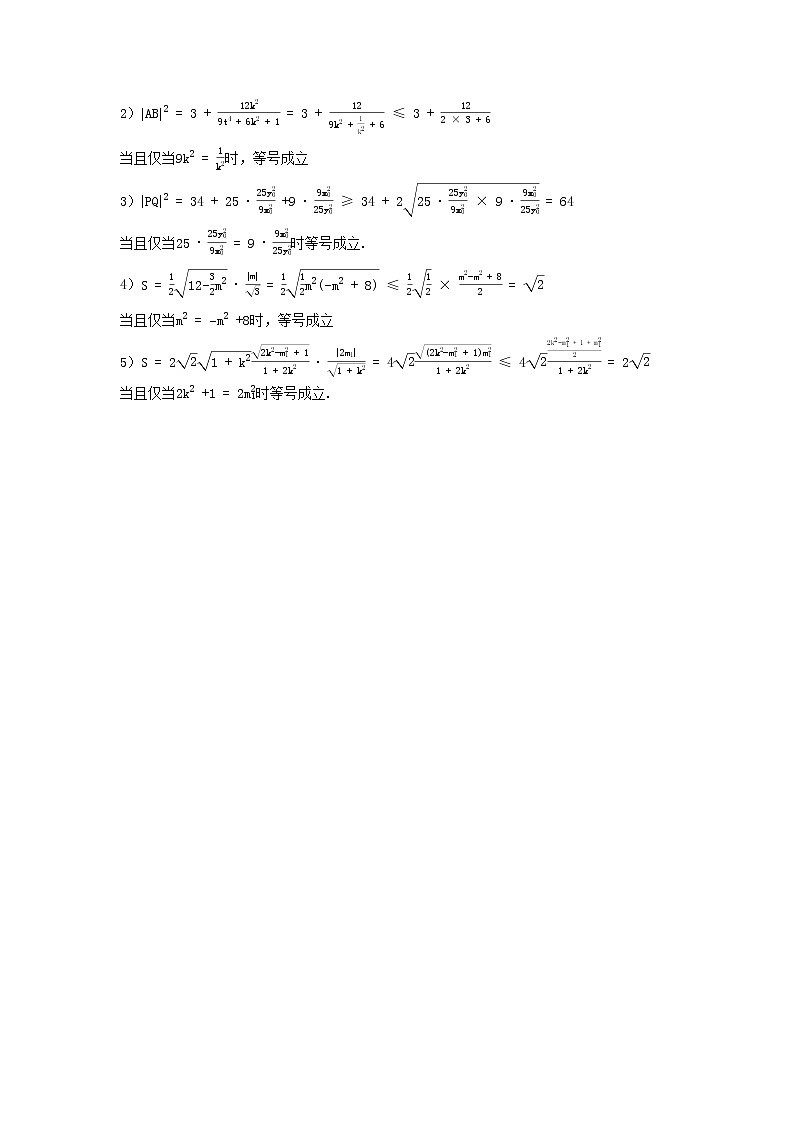
圆锥曲线经常用到的均值不等式形式:
1)S=2tt2+64=2t+64t(注意分t=0,t>0,t<0三种情况讨论)
2)AB2=3+12k29t4+6k2+1=3+129k2+1k2+6≤3+122×3+6
当且仅当9k2=1k2时,等号成立
3)PQ2=34+25⋅25y029x02+9⋅9x0225y02≥34+225⋅25y029x02×9⋅9x0225y02=64
当且仅当25⋅25y029x02=9⋅9x0225y02时等号成立.
4)S=1212−32m2⋅m3=1212m2(−m2+8)≤1212×m2−m2+82=2
当且仅当m2=−m2+8时,等号成立
5)S=221+k22k2−m12+11+2k2⋅2m11+k2=42(2k2−m12+1)m121+2k2≤422k2−m12+1+m1221+2k2=22
当且仅当2k2+1=2m12时等号成立.
典例精讲
1.已知椭圆的中心在原点,焦点在坐标轴上,离心率为,过点的直线1与椭圆相交于,两点,若点是线段的中点,则直线1的斜率为
A.2或B.2或8C.或D.或8
2.已知直线l不过坐标原点O,且与椭圆C:x24+y23=1相交于不同的两点A,B,△OAB的面积为3,则|OA|2+|OB|2的值是( )
A.4B.7C.3D.不能确定
3.已知F1、F2分别为椭圆x22+y2=1的左右两个焦点,过F1作倾斜角为π4的弦AB,则△F2AB的面积为( )
A.233B.43C.433D.423−1
4.设斜率为2的直线l过抛物线y2=ax(a>0)的焦点F,且和y轴交于点A,若△OAF(O为坐标原点)的面积为4,则a的值为 .
5. 已知过双曲线的左焦点的直线与双曲线左支交于点,,过原点与弦中点的直线交直线于点,若为等腰直角三角形,则直线的方程可以为
A.B.
C.D.
考点二 圆锥曲线的范围问题
求范围常用方法
圆锥曲线中的确定参变量(参数)的取值范围是高考命题的热点,也是我们掌握的一个难点。要想求出圆锥曲线中的参数的取值范围,就必须寻找确定参数的取值范围的不等量关系,这可以说是解决这类问题的难点和关键所在。
有以下几种形式:
1.利用判别式,建立起含参数的不等式;圆锥曲线中的含参数问题往往都转化为直线和圆锥曲线的相交问题--有两个交点,因此,这类问题可首先考虑。
2.利用题设中的不等关系,建立起含参的不等式;有些题目中含有已知量的不等关系,可以借助它去确定题目中所要求的参数的取值范围。
3.根据圆锥曲线的变化范围,借助点的位置,建立含参数的不等式;根据曲线的范围,借助点的位置―――比如在椭圆上,则等建立含参数的不等式。
4.借助图形直观挖掘不等关系,建立含参数的不等式。常用到的有三角形中的边的关系,多与圆锥曲线的定义相结合。
(二)双曲线经典结论
1.双曲线(a>0,b>0)的两个顶点为,与y轴平行的直线交双曲线于P1,P2时A1P1与A2P2交点的轨迹方程是.
2.过双曲线(a>0,b>0)上任一点任意作两条倾斜角互补的直线交双曲线于B,C两点,则直线BC有定向且(常数).
3.若P为双曲线(a>0,b>0)右(或左)支上除顶点外的任一点, F1, F2是焦点, , ,则(或).
4.P为双曲线(a>0,b>0)上任一点, F1,F2为二焦点,A为双曲线内一定点,则,当且仅当三点共线且P和在y轴同侧时,等号成立.
5.双曲线(a>0,b>0)与直线有公共点的充要条件是.
6.已知双曲线(b>a>0),O为坐标原点,P、Q为双曲线上两动点,且.
1);
2)OP2+OQ2的最小值为;
3)的最小值是.
7.过双曲线(a>0,b>0)的右焦点F作直线交该双曲线的右支于M,N两点,弦MN的垂直平分线交x轴于P,则.
8.已知双曲线(a>0,b>0), A,B是双曲线上的两点,线段AB的垂直平分线与x轴相交于点, 则或.
9.设P点是双曲线(a>0,b>0)上异于实轴端点的任一点, F1,F2为其焦点记,则(1).(2) SΔPF1F2=b2ctθ2.
典例精讲
1.抛物线y2=4x的焦点为F,点P(x,y)为该抛物线上的动点,又点A(﹣1,0),则|PF||PA|的最小值是( )
A.12B.22C.32D.233
2.已知点P是抛物线y2=2x上的动点,点P到准线的距离为d,且点P在y轴上的射影是M,点A(72,4),则|PA|+|PM|的最小值是( )
A.72B.4C.92D.5
3.已知椭圆x2a2+y2b2=1(a>b>0)与双曲线x2m2−y2n2=1(m>0,n>0)有共同的焦点F1,F2,且在第一象限内相交于点P,椭圆与双曲线的离心率分别为e1,e2.若∠F1PF2=π3,则e1•e2的最小值是( )
A.12B.22C.32D.32
4.设抛物线M:x2=4py(p>0)的焦点为F,其准线与双曲线N:x2a2−y2=1的两个交点分别是A,B,若存在抛物线M使得△FAB是等边三角形,则双曲线N的离心率的取值范围是( )
A.(72,+∞)B.(1,233)C.(233,+∞)D.(1,+∞)
5.已知双曲线x22−y2=1的左、右焦点分别为F1,F2,点M(x0,y0)在双曲线上,且满足MF1→⋅MF2→≤0,则y0取值范围是( )
A.[−33,33]B.[−36,36]C.[−233,233]D.[−322,322]
综合练习
一.选择题(共6小题)
1.已知椭圆与双曲线,有相同的左右焦点,.若点是与在第一象限内的交点,且,设与的离心率分别为,,则的取值范围是
A.B.
C.D.以上答案都不对
2.已知抛物线方程为,为其焦点,过点的直线与抛物线交于,两点,且抛物线在,两点处的切线分别交轴于,两点,则的取值范围为
A.B.,C.D.,
3.已知点F是抛物线y2=2px(p>0)的焦点,点A(2,y1)、B(12,y2)分别是抛物线上位于第四象限的点,若|AF|=10,则△ABF的面积为( )
A.42B.30C.18D.14
4.若曲线|y|=x+2与C:x24λ+y24=1恰有两个不同交点,则实数λ取值范围为( )
A.(﹣∞,﹣1]∪(1,+∞)B.(﹣∞,﹣1]
C.(1,+∞)D.[﹣1,0)∪(1,+∞)
5.已知中心在原点的椭圆与双曲线有公共焦点,左、右焦点分别为F1、F2,且两条曲线在第一象限的交点为P,△PF1F2是以PF1为底边的等腰三角形.若|PF1|=8,椭圆与双曲线的离心率分别为e1、e2,则e1+1e2的取值范围是( )
A.(0,12)B.(12,43)C.(43,2)D.(12,+∞)
6.已知点F1,F2分别是椭圆C1和双曲线C2的公共焦点,e1,e2分别是C1和C2的离心率,点P为C1和C2的一个公共点,且∠F1PF2=2π3,若e2∈(2,7),则e1的取值范围是( )
A.(55,23)B.(23,255)C.(55,73)D.(73,255)
专题28 复数-2021届新高考数学一轮复习知识点总结与题型归纳面面全: 这是一份专题28 复数-2021届新高考数学一轮复习知识点总结与题型归纳面面全,文件包含专题28复数原卷版docx、专题28复数解析版docx等2份学案配套教学资源,其中学案共19页, 欢迎下载使用。
专题26 算法-2021届新高考数学一轮复习知识点总结与题型归纳面面全: 这是一份专题26 算法-2021届新高考数学一轮复习知识点总结与题型归纳面面全,文件包含专题26算法原卷版docx、专题26算法解析版docx等2份学案配套教学资源,其中学案共36页, 欢迎下载使用。
专题23 圆锥曲线定点定值问题-2021届新高考数学一轮复习知识点总结与题型归纳面面全: 这是一份专题23 圆锥曲线定点定值问题-2021届新高考数学一轮复习知识点总结与题型归纳面面全,文件包含专题23圆锥曲线定点定值问题原卷版docx、专题23圆锥曲线定点定值问题解析版docx等2份学案配套教学资源,其中学案共22页, 欢迎下载使用。

