2020版新高考数学一轮(鲁京津琼)精练:第4章 阶段强化练(三) (含解析)
展开阶段强化练(三)
一、选择题
1.(2019·福建闽侯五校期中联考)sin215°-cos215°等于( )
A. - B. C.- D.
答案 C
解析 sin215°-cos215°=-(cos215°-sin215°)
=-cos 30°=-.故选C.
2.若sin α=,则sin-cos α等于( )
A. B.- C. D.-
答案 A
解析 sin-cos α
=sin αcos +cos αsin -cos α=×=.
3.(2019·安徽皖中名校联考)已知sin α=-,且α是第四象限角,则sin的值为( )
A. B. C. D.
答案 C
解析 由同角三角函数基本关系可得cos α== =,结合两角差的正弦公式可得sin=sincos α-cossin α==.故选C.
4.(2019·长春质检)函数f(x)=sin+sin x的最大值为( )
A. B.2 C.2 D.4
答案 A
解析 函数f(x)=sin+sin x
=sin x+cos x+sin x=sin x+cos x
=
=sin≤.故f(x)的最大值为.
故选A.
5.已知函数f(x)=2cos(ωx+φ)-1,其图象与直线y=1相邻两个交点的距离为,若f(x)>0对x∈恒成立,则φ的取值范围是( )
A. B.
C. D.
答案 B
解析 由已知得函数f(x)的最小正周期为,则ω=,
当x∈时,x+φ∈,
因为f(x)>0,即cos>,
所以(k∈Z),
解得-+2kπ≤φ≤-+2kπ(k∈Z),
又|φ|<,所以-<φ≤-,故选B.
6.(2019·山师大附中模拟)设函数f(x)=sin(2x+φ)(0<φ<π)在x=时取得最大值,则函数g(x)=cos(2x+φ)的图象( )
A.关于点对称 B.关于点对称
C.关于直线x=对称 D.关于直线x=对称
答案 A
解析 因为当x=时,f(x)=sin(2x+φ)(0<φ<π)取得最大值,所以φ=,即g(x)=cos,对称中心为,k∈Z,对称轴x=-,k∈Z,故选A.
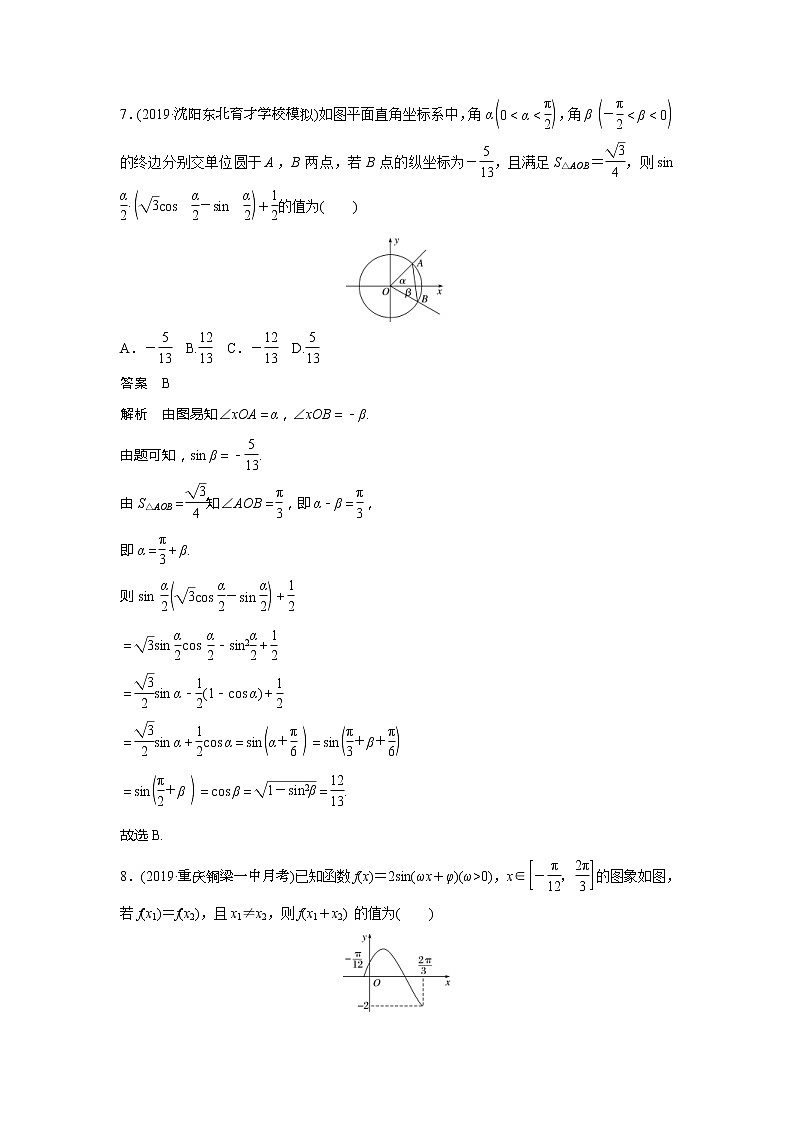
7.(2019·沈阳东北育才学校模拟)如图平面直角坐标系中,角α,角β的终边分别交单位圆于A,B两点,若B点的纵坐标为-,且满足S△AOB=,则sin ·+的值为( )
A.- B. C.- D.
答案 B
解析 由图易知∠xOA=α,∠xOB=-β.
由题可知,sin β=-.
由S△AOB=知∠AOB=,即α-β=,
即α=+β.
则sin +
=sin cos -sin2+
=sin α-(1-cos α)+
=sin α+cos α=sin=sin
=sin=cos β==.
故选B.
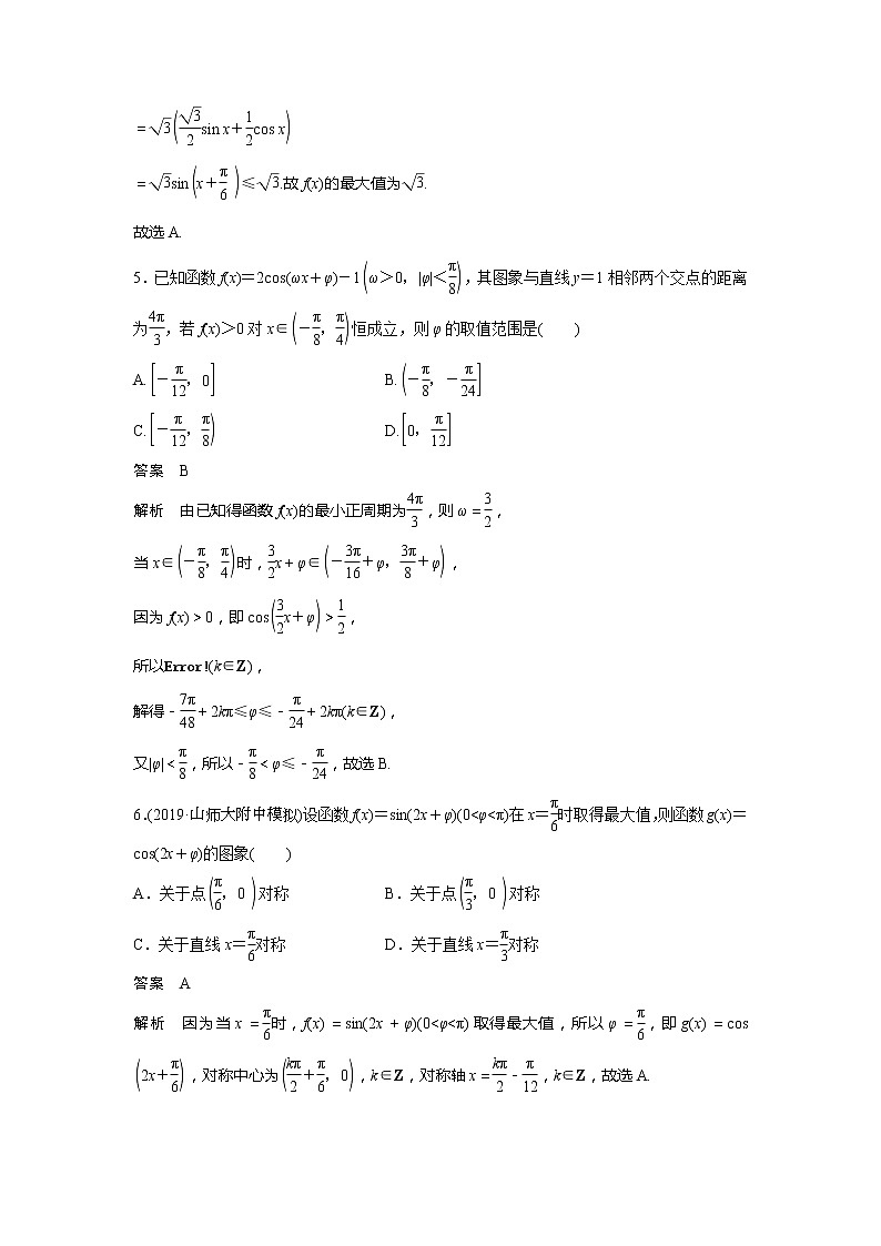
8.(2019·重庆铜梁一中月考)已知函数f(x)=2sin(ωx+φ)(ω>0),x∈的图象如图,若f(x1)=f(x2),且x1≠x2,则f(x1+x2) 的值为( )
A. B. C.1 D.0
答案 C
解析 由图象得=-,∴T=π,ω==2,
由2sin=2sin=2,
得+φ=+2kπ(k∈Z),∴φ=+2kπ(k∈Z),
由x1+x2=×2=,得f(x1+x2)=f
=2sin=1,故选C.
9.(2019·重庆巴蜀中学期中)已知f(x)=sin(ωx+θ) ,f′(x1)=f′(x2)=0,|x1-x2|的最小值为,f(x)=f,将f(x)的图象向左平移个单位长度得g(x),则g(x)的单调递减区间是( )
A.(k∈Z)
B.(k∈Z)
C.(k∈Z)
D.(k∈Z)
答案 A
解析 ∵f(x)=sin(ωx+θ),
由f′(x1)=f′(x2)=0可得x1,x2是函数的极值点,
∵|x1-x2|的最小值为,∴T==,
∴ω=2,∴f(x)=sin(2x+θ),
又f(x)=f,∴f(x)的图象的对称轴为x=,∴2×+θ=kπ+,k∈Z,又θ∈,
∴θ=,∴f(x)=sin.
将f(x)的图象向左平移个单位长度得
g(x)=sin=cos 2x的图象,
令2kπ≤2x≤2kπ+π,k∈Z,∴kπ≤x≤kπ+,k∈Z,
则g(x)=cos 2x的单调递减区间是(k∈Z),故选A.
10.(2019·成都七中诊断)已知函数f(x)=sin(ωx+φ)(其中ω>0)的最小正周期为π,函数g(x)=f+f(x),若对∀x∈R,都有g(x)≤,则φ的最小正值为( )
A. B. C. D.
答案 B
解析 由函数f(x)的最小正周期为π,可求得ω=2,
∴f(x)=sin(2x+φ),g(x)=f+f(x)
=sin+sin(2x+φ)
=cos(2x+φ)+sin(2x+φ)=2sin,
∴g(x)=2sin,
又g(x)≤,
∴x=是g(x)的一条对称轴,代入2x+φ+中,
有2×+φ+=+kπ(k∈Z),
解得φ=-+kπ(k∈Z),当k=1时,φ=,故选B.
11.在△ABC中,三个内角A,B,C所对的边分别为a,b,c,若S△ABC=2,a+b=6,=2cos C,则c等于( )
A.2 B.4 C.2 D.3
答案 C
解析 ∵=2cos C,
由正弦定理,得sin Acos B+cos Asin B=2sin Ccos C,
∴sin(A+B)=sin C=2sin Ccos C,
由于0<C<π,sin C≠0,∴cos C=,∴C=,
∵S△ABC=2=absin C=ab,∴ab=8,
又a+b=6,解得或
c2=a2+b2-2abcos C=4+16-8=12,∴c=2,故选C.
12.(2019·河北衡水中学调研)若函数f(x)=sin
(ω>0)在区间(π,2π)内没有最值,则ω的取值范围是( )
A.∪ B.∪
C. D.
答案 B
解析 易知函数y=sin x的单调区间为
,k∈Z.
由kπ+≤ωx+≤kπ+,k∈Z,
得≤x≤,k∈Z.
因为函数f(x)=sin(ω>0)在区间(π,2π)内没有最值,所以f(x)在区间(π,2π)内单调,
所以(π,2π)⊆,k∈Z,
所以k∈Z,
解得k+≤ω≤+,k∈Z.
由k+≤+,k∈Z,得k≤,k∈Z.
当k=0时,得≤ω≤;
当k=-1时,得-≤ω≤.
又ω>0,所以0<ω≤.
综上,得ω的取值范围是∪.
故选B.
二、填空题
13.(2019·陕西四校联考)已知sin α=2cos α,则cos 2α=________.
答案 -
解析 由已知得tan α=2,cos 2α=cos2α-sin2α
====-.
14.(2019·山师大附中模拟)已知sin=,则sin=________.
答案
解析 根据三角函数诱导公式,得
sin=cos=,
sin=-cos=-2cos2+1=.
15.(2019·武汉示范高中联考)函数y=sin x+cos x+2sin xcos x的最大值为________.
答案 +1
解析 令t=sin x+cos x,则t=sin x+cos x
=sin,所以t∈[-,],
则t2=1+2sin xcos x ,所以sin xcos x=,
所以y=t2+t-1=2-,
对称轴为t=-,因为t∈[-,],
所以当t=时取得最大值,为+1.
16.(2019·银川一中月考)已知函数f(x)=cos xsin x(x∈R),则下列四个命题中正确的是________.(写出所有正确命题的序号)
①若f(x1)=-f(x2),则x1=-x2;
②f(x)的最小正周期是2π;
③f(x)在区间上是增函数;
④f(x)的图象关于直线x=对称.
答案 ③④
解析 f(x1)=-f(x2),
即sin 2x1=-sin 2x2,由f(x)图象(图略)可知,
①错误;
由周期公式可得T==π ,②错误;
由f(x)的图象可知,③正确;
f=sin =-,故④正确.
故填③④.
三、解答题
17.(2019·抚州七校联考)已知函数f(x)=cos(ωx+φ)的图象相邻两个对称轴之间的距离为,且f(x)的图象与y=sin x的图象有一个横坐标为的交点.
(1)求f(x)的解析式;
(2)当x∈时,求f(x)的最小值,并求使f(x)取得最小值的x的值.
解 (1)由题可知,T=π=,ω=2,
又cos=sin ,|φ|<,得φ=-.
所以f(x)=cos.
(2)因为x∈,所以2x-∈,
当2x-=π,即x=时,f(x)取得最小值.
f(x)min=f=-1.
18.(2019·福建闽侯五校期中联考)已知向量a=(sin x,cos x),b=(cos x,-cos x),f(x)=a·b.
(1)求f(x)的最小正周期和单调递增区间;
(2)若x∈,a·b=-,求cos 2x的值.
解 (1)f(x)=a·b=sin xcos x-cos2x
=sin 2x-=sin-,
∴f(x)的最小正周期是π.
令2kπ-≤2x-≤2kπ+(k∈Z),
∴kπ-≤x≤kπ+(k∈Z),
∴f(x)的单调递增区间为(k∈Z).
(2)∵a·b=sin-=-,
∴sin=-.
∵x∈,
∴2x-∈ ,
∴cos=-,
∴cos 2x=cos
=coscos-sinsin
=-×-×=.

