搜索
      上传资料 赚现金

      2026学年新北师大版初中数学八年级下册1.4线段的垂直平分线(第2课时)习题课件(含答案)

      • 28.97 MB
      • 2026-02-27 17:52:33
      • 14
      • 0
      • 拥慌.
      加入资料篮
      立即下载
      17967381第1页
      1/27
      17967381第2页
      2/27
      17967381第3页
      3/27
      17967381第4页
      4/27
      17967381第5页
      5/27
      17967381第6页
      6/27
      17967381第7页
      7/27
      17967381第8页
      8/27
      还剩19页未读, 继续阅读

      初中数学北师大版(2024)八年级下册(2024)第一章 三角形的证明4 线段的垂直平分线习题ppt课件

      展开

      这是一份初中数学北师大版(2024)八年级下册(2024)第一章 三角形的证明4 线段的垂直平分线习题ppt课件,共27页。
        与线段的垂直平分线有关的作图
      1.(2024黑龙江哈尔滨中考)如图,在△ABC中,AB=AC,分别以 点A和点B为圆心,大于  AB的长为半径作弧,两弧相交于M,N两点,作直线MN交BC于点D,连接AD,若∠B=50°,则∠DAC= ( ) 
      A.20°       B.50°C.30°       D.80°
      解析 ∵AB=AC,∠B=50°,∴∠C=∠B=50°,∴∠BAC=180°-∠B-∠C=80°,由作图可知DM是线段AB的垂直平分线,∴DA=DB,∴∠BAD=∠B=50°,∴∠DAC=∠BAC-∠BAD=80°-50°=30°.故选C.
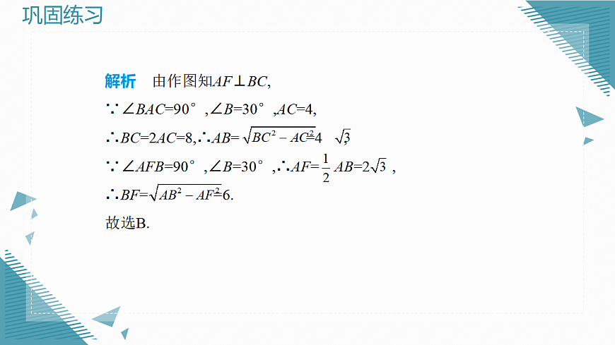
      2.(2024甘肃甘南州中考)如图,在△ABC中,∠BAC=90°,∠B=30°,AC=4.以点A为圆心,AC的长为半径作弧,交BC于点D,再分 别以点C和点D为圆心,大于  DC的长为半径作弧,两弧相交于点E,作射线AE交BC于点F,则BF的长为 ( ) 
      A.5       B.6C.7       D.8
      解析 由作图知AF⊥BC,∵∠BAC=90°,∠B=30°,AC=4,∴BC=2AC=8,∴AB= =4 ,∵∠AFB=90°,∠B=30°,∴AF=  AB=2 ,∴BF= =6.故选B.
      3.【新考向·尺规作图】(2024陕西中考)如图,已知直线l和l外 一点A,请用尺规作一个等腰直角△ABC,使得顶点B和顶点C 都在直线l上.(作出符合题意的一个等腰直角三角形即可,保 留作图痕迹,不写作法) 
      解析  如图,△ABC即为所求作的三角形.(答案不唯一) 
        三角形三边的垂直平分线的性质
      4.(2025河南平顶山宝丰期中)如图,某居民小区在三栋住宅楼 A,B,C之间修建了供居民散步的三条绿道,并在绿道内部修建 了一个凉亭P.若点P到点A,B,C的距离相等,则点P是△ABC的  ( )A.三条角平分线的交点
      B.三条高的交点C.三边垂直平分线的交点D.三条中线的交点
      解析 如图,连接PA,PB,PC,∵点P到点A,B,C的距离相等,∴PA=PB=PC,∴点P是△ABC的三边垂直平分线的交点.故选C. 
      5.(2025江苏南通月考)如图,将△ABC放在每个小正方形边长 均为1的网格中,点A,B,C均落在格点上,若点B的坐标为(3,-1), 点C的坐标为(2,2),则到△ABC三个顶点距离相等的点的坐标 为_____________. 
          (1,0)    
      解析 设点P到△ABC三个顶点的距离相等,则点P是边AB, AC的垂直平分线的交点,如图所示,点P即为所求,点P的坐标 为(1,0). 
      6.(2025陕西咸阳渭城期中)如图,在△ABC中,AB边的垂直平分 线l1交BC于点D,AC边的垂直平分线l2交BC于点E,l1与l2相交于 点P,连接AD,AE,PB,PC.(1)判断点P是否在BC的垂直平分线上,并说明理由.(2)若∠BAC=100°,求∠DAE的度数. 
      解析    (1)点P在BC的垂直平分线上,理由:如图,连接AP,∵l1是AB边的垂直平分线,∴PA=PB,∵l2是AC边的垂直平分线,∴PA=PC,∴PB=PC,∴点P在BC的垂直平分线上.
      (2)∵∠BAC=100°,∴∠ABC+∠ACB=180°-∠BAC=180°-100°=80°,∵l1是AB边的垂直平分线,l2是AC边的垂直平分线,∴DA=DB,EA=EC,
      ∴∠BAD=∠ABC,∠EAC=∠ACB,∴∠BAD+∠EAC=80°,∴∠DAE=∠BAC-(∠BAD+∠EAC)=100°-80°=20°.
      7.(2025河南郑州四中期中,★★☆)如图,在△ABC中,边AB,AC 的垂直平分线交于点P,连接BP,CP,若∠A=75°,则∠BPC的度 数为 ( ) A.150°      B.140°      C.130°      D.120°
      解析 如图,连接PA,∵∠BAC=75°,∴∠ABC+∠ACB=180°-75°=105°.∵边AB,AC的垂直平分线交于点P,∴PA=PB,PA=PC,∴∠PBA=∠PAB,∠PCA=∠PAC,∴∠PBA+∠PCA=∠PAB+∠PAC=∠BAC=75°,∴∠PBC+∠PCB=105°-75°=30°,∴∠BPC=180°-30°=150°.故选A.
      8.【学科特色·易错题】(2025浙江绍兴嵊州模拟,★★☆)如图,在△ABC中,AB=AC,∠A=90°,分别以点B,C为圆心,大于   BC的长为半径作弧,两弧交于E,F两点,再以点A为圆心,AB的长为半径作弧,交直线EF于点P,连接BP,则∠BPA的度数是____________. 
      22.5°或67.5°    
      解析 如图, ∵AB=AC,∠BAC=90°,∴△ABC为等腰直角三角形.由作图过 程可知,直线EF为线段BC的垂直平分线,∴直线EF经过点A, ∠BAF= ∠BAC=45°.
      当点P在点A上方时,记为P1,AP1=AB,∴∠BP1A=∠ABP1,∵∠BAF=∠BP1A+∠ABP1,∴∠BP1A=22.5°.当点P在点A下方时,记为P2,AP2=AB,∴∠BP2A=∠ABP2=  (180°-∠BAF)=67.5°.综上所述,∠BPA的度数是22.5°或67.5°.
      易错警示 本题易出现的错误是只考虑一种情况,忽视另一 种情况,导致漏解.
      9.(★★★)设计院按实际情况构建平面直角坐标系,并标注A, B,C三镇的坐标,数据如图所示(单位:km),有一条笔直的河流 经过A,B两镇,现计划修建一条从C镇到河流的最短公路l,并在 l上建一个通讯站D,使通讯站D到B,C两镇的距离相等,则通讯 站D的坐标为_______________. 
          (-1,-7)    
      解析 如图,作直线AC.∵C(-1,-17),A(-1,-1),B(7,-1),∴直线AC 平行于y轴,直线AB平行于x轴,∴CA⊥AB,AC=-1-(-17)=16(km),AB=7-(-1)=8(km),∴AC即为最短公路l.作直线DE垂直平分BC,交l于点D,连接BD,则点D到点B,C的距离相等,即DB=DC.设CD=DB=x km,∵AC=16 km,CD=x km,∴AD=AC-CD=(16-x)km,∵AB=8 km,CA⊥AB,∴AB2+AD2=BD2,即82+(16-x)2=x2,解得x=10,即CD=10 km,
      ∴点D的纵坐标为-17+10=-7,∴D(-1,-7).
      10.【学科特色·教材变式】(2025上海黄浦期末,★★☆)如图, 已知线段a.(1)求作等腰三角形ABC,使其底边BC的长为a,底边上的高为2a.(尺规作图,不写作法,保留作图痕迹)(2)如果a=2,求(1)中等腰三角形ABC的腰长. 
      解析    (1)如图,△ABC即为所求. (2)由题意得BC=2,AF=4,∵AF⊥BC,AB=AC,∴BF=CF=1,∴AC=AB= = = .
      11.【新课标·推理能力】利用垂直平分线将三角形分割出等 腰三角形.(1)如图1,在△ABC中,AB

      资料下载及使用帮助
      版权申诉
      • 1.电子资料成功下载后不支持退换,如发现资料有内容错误问题请联系客服,如若属实,我们会补偿您的损失
      • 2.压缩包下载后请先用软件解压,再使用对应软件打开;软件版本较低时请及时更新
      • 3.资料下载成功后可在60天以内免费重复下载
      版权申诉
      若您为此资料的原创作者,认为该资料内容侵犯了您的知识产权,请扫码添加我们的相关工作人员,我们尽可能的保护您的合法权益。
      入驻教习网,可获得资源免费推广曝光,还可获得多重现金奖励,申请 精品资源制作, 工作室入驻。
      版权申诉二维码
      初中数学北师大版(2024)八年级下册(2024)电子课本 新教材

      4 线段的垂直平分线

      版本: 北师大版(2024)

      年级: 八年级下册(2024)

      切换课文
      • 课件
      • 教案
      • 试卷
      • 学案
      • 更多
      欢迎来到教习网
      • 900万优选资源,让备课更轻松
      • 600万优选试题,支持自由组卷
      • 高质量可编辑,日均更新2000+
      • 百万教师选择,专业更值得信赖
      微信扫码注册
      手机号注册
      手机号码

      手机号格式错误

      手机验证码 获取验证码 获取验证码

      手机验证码已经成功发送,5分钟内有效

      设置密码

      6-20个字符,数字、字母或符号

      注册即视为同意教习网「注册协议」「隐私条款」
      QQ注册
      手机号注册
      微信注册

      注册成功

      返回
      顶部
      中考一轮 精选专题 初中月考 教师福利
      添加客服微信 获取1对1服务
      微信扫描添加客服
      Baidu
      map