搜索
      上传资料 赚现金

      (人教A版)必修一数学高一上册期末复习训练 拓展4:三角函数的变换技巧(2份,原卷版+解析版)

      • 641.78 KB
      • 2025-09-23 14:21:05
      • 42
      • 0
      • M.T.杨
      加入资料篮
      立即下载
      压缩包含2份文件 展开
      文件列表(2份) 收起
      原卷
      (人教A版)必修一数学高一上册期末复习训练 拓展4:三角函数的变换技巧(原卷版).docx
      预览
      解析
      (人教A版)必修一数学高一上册期末复习训练 拓展4:三角函数的变换技巧(解析版).docx
      预览
      正在预览:(人教A版)必修一数学高一上册期末复习训练 拓展4:三角函数的变换技巧(原卷版).docx
      (人教A版)必修一数学高一上册期末复习训练 拓展4:三角函数的变换技巧(原卷版)第1页
      1/5
      (人教A版)必修一数学高一上册期末复习训练 拓展4:三角函数的变换技巧(原卷版)第2页
      2/5
      (人教A版)必修一数学高一上册期末复习训练 拓展4:三角函数的变换技巧(解析版)第1页
      1/10
      (人教A版)必修一数学高一上册期末复习训练 拓展4:三角函数的变换技巧(解析版)第2页
      2/10
      (人教A版)必修一数学高一上册期末复习训练 拓展4:三角函数的变换技巧(解析版)第3页
      3/10
      还剩3页未读, 继续阅读

      (人教A版)必修一数学高一上册期末复习训练 拓展4:三角函数的变换技巧(2份,原卷版+解析版)

      展开

      这是一份(人教A版)必修一数学高一上册期末复习训练 拓展4:三角函数的变换技巧(2份,原卷版+解析版),文件包含人教A版必修一数学高一上册期末复习训练拓展4三角函数的变换技巧原卷版docx、人教A版必修一数学高一上册期末复习训练拓展4三角函数的变换技巧解析版docx等2份试卷配套教学资源,其中试卷共15页, 欢迎下载使用。
      重点题型一:角的变换(拼凑角)
      典型例题
      例题1.已知.
      (1)求的值;
      (2)求的值.
      例题2.已知,,,求的值.
      例题3.已知,.
      (1)求的值;
      (2)若,,求的值.
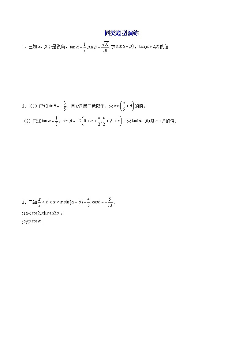
      同类题型演练
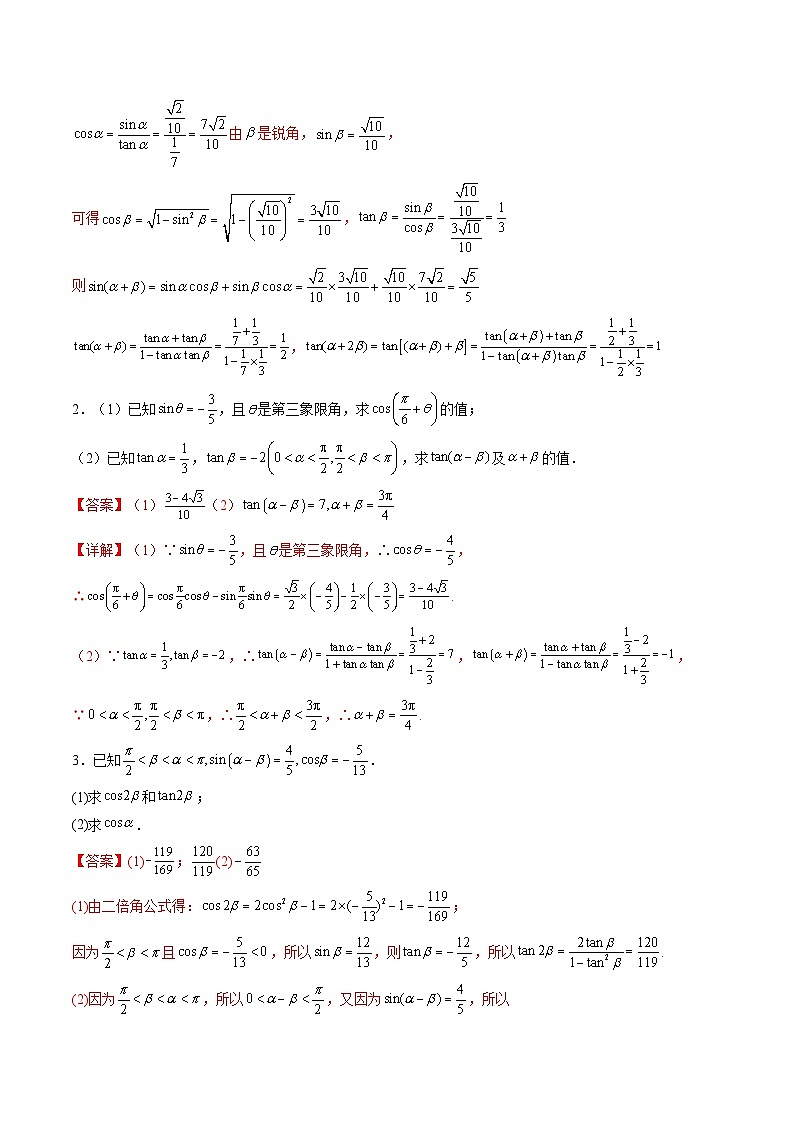
      1.已知都是锐角,求,的值
      2.(1)已知,且是第三象限角,求的值;
      (2)已知,,求及的值.
      3.已知.
      (1)求和;
      (2)求.
      重点题型二:幂次的变换
      典型例题
      例题1.已知函数,则的最小正周期为( )
      A.B.C.D.
      例题2.已知函数,将函数的图象向左平移个单位长度后得函数的图象,则图象的一个对称中心为( )
      A.B.
      C.D.
      例题3.(多选)已知函数的最小正周期为,若m,,且,则下列结论正确的是( )
      A.的值为1
      B.
      C.直线是函数图象的一条对称轴
      D.的最大值为
      同类题型演练
      1.若将函数的图象向左平移个单位后,所得图象关于原点对称,则a的最小值为( )
      A.B.C.D.
      2.若函数在区间上的最大值为6,写出的一个对称中心__________.
      3.(多选)已知函数,则下列说法正确的是( )
      A.最小正周期是
      B.是偶函数
      C.在上递增
      D.是图象的一条对称轴
      重点题型三:函数名的变换
      典型例题
      例题1.若,,则( )
      A.B.C.D.
      例题2.已知,则______.
      例题3.函数在区间上的最大值为__________(用数字作答).
      同类题型演练
      1.若,,则的值为( )
      A.B.C.0D.
      2.若,则___________.
      重点题型四:消元变换
      典型例题
      例题1.若实数,满足方程组,则的一个值可以是___________.(写出满足条件的一个值即可)
      例题2.已知角是第二象限角,,则___________.
      同类题型演练
      1.若,且 ,则_____.
      2.(1)已知,求的值;
      (2)结合(1),若,求的值.
      重点题型五:结构变换
      典型例题
      例题1.(多选)若函数在上有零点,则整数的值可以是( )
      A.B.C.0D.
      例题2.函数的最小值为________.
      同类题型演练
      1.已知,不等式恒成立,则实数m的取值范围是______.

      相关试卷

      (人教A版)必修一数学高一上册期末复习训练 拓展4:三角函数的变换技巧(2份,原卷版+解析版):

      这是一份(人教A版)必修一数学高一上册期末复习训练 拓展4:三角函数的变换技巧(2份,原卷版+解析版),文件包含人教A版必修一数学高一上册期末复习训练拓展4三角函数的变换技巧原卷版docx、人教A版必修一数学高一上册期末复习训练拓展4三角函数的变换技巧解析版docx等2份试卷配套教学资源,其中试卷共15页, 欢迎下载使用。

      (人教A版)必修第一册高一数学上学期期末考点复习训练专题19 三角函数伸缩变换及其应用(2份,原卷版+解析版):

      这是一份(人教A版)必修第一册高一数学上学期期末考点复习训练专题19 三角函数伸缩变换及其应用(2份,原卷版+解析版),文件包含人教A版必修第一册高一数学上学期期末考点复习训练专题19三角函数伸缩变换及其应用原卷版docx、人教A版必修第一册高一数学上学期期末考点复习训练专题19三角函数伸缩变换及其应用解析版docx等2份试卷配套教学资源,其中试卷共29页, 欢迎下载使用。

      (人教A版)必修第一册高一数学上学期期末考点复习训练14三角恒等变换(2份,原卷版+解析版):

      这是一份(人教A版)必修第一册高一数学上学期期末考点复习训练14三角恒等变换(2份,原卷版+解析版),文件包含人教A版必修第一册高一数学上学期期末考点复习训练14三角恒等变换原卷版docx、人教A版必修第一册高一数学上学期期末考点复习训练14三角恒等变换解析版docx等2份试卷配套教学资源,其中试卷共36页, 欢迎下载使用。

      资料下载及使用帮助
      版权申诉
      • 1.电子资料成功下载后不支持退换,如发现资料有内容错误问题请联系客服,如若属实,我们会补偿您的损失
      • 2.压缩包下载后请先用软件解压,再使用对应软件打开;软件版本较低时请及时更新
      • 3.资料下载成功后可在60天以内免费重复下载
      版权申诉
      若您为此资料的原创作者,认为该资料内容侵犯了您的知识产权,请扫码添加我们的相关工作人员,我们尽可能的保护您的合法权益。
      入驻教习网,可获得资源免费推广曝光,还可获得多重现金奖励,申请 精品资源制作, 工作室入驻。
      版权申诉二维码
      期末专区
      • 精品推荐
      • 所属专辑34份
      欢迎来到教习网
      • 900万优选资源,让备课更轻松
      • 600万优选试题,支持自由组卷
      • 高质量可编辑,日均更新2000+
      • 百万教师选择,专业更值得信赖
      微信扫码注册
      手机号注册
      手机号码

      手机号格式错误

      手机验证码 获取验证码 获取验证码

      手机验证码已经成功发送,5分钟内有效

      设置密码

      6-20个字符,数字、字母或符号

      注册即视为同意教习网「注册协议」「隐私条款」
      QQ注册
      手机号注册
      微信注册

      注册成功

      返回
      顶部
      学业水平 高考一轮 高考二轮 高考真题 精选专题 初中月考 教师福利
      添加客服微信 获取1对1服务
      微信扫描添加客服
      Baidu
      map