搜索
      上传资料 赚现金

      2025年中考数学总复习课件(山东省专用)32 第一部分 第五章 章末综合评价卷(五) 四边形

      • 3.54 MB
      • 2025-05-08 07:47:28
      • 45
      • 0
      • 教习网3589236
      加入资料篮
      立即下载
      2025年中考数学总复习课件(山东省专用)32 第一部分   第五章 章末综合评价卷(五) 四边形第1页
      高清全屏预览
      1/54
      2025年中考数学总复习课件(山东省专用)32 第一部分   第五章 章末综合评价卷(五) 四边形第2页
      高清全屏预览
      2/54
      2025年中考数学总复习课件(山东省专用)32 第一部分   第五章 章末综合评价卷(五) 四边形第3页
      高清全屏预览
      3/54
      2025年中考数学总复习课件(山东省专用)32 第一部分   第五章 章末综合评价卷(五) 四边形第4页
      高清全屏预览
      4/54
      2025年中考数学总复习课件(山东省专用)32 第一部分   第五章 章末综合评价卷(五) 四边形第5页
      高清全屏预览
      5/54
      2025年中考数学总复习课件(山东省专用)32 第一部分   第五章 章末综合评价卷(五) 四边形第6页
      高清全屏预览
      6/54
      2025年中考数学总复习课件(山东省专用)32 第一部分   第五章 章末综合评价卷(五) 四边形第7页
      高清全屏预览
      7/54
      2025年中考数学总复习课件(山东省专用)32 第一部分   第五章 章末综合评价卷(五) 四边形第8页
      高清全屏预览
      8/54
      还剩46页未读, 继续阅读

      2025年中考数学总复习课件(山东省专用)32 第一部分 第五章 章末综合评价卷(五) 四边形

      展开

      这是一份2025年中考数学总复习课件(山东省专用)32 第一部分 第五章 章末综合评价卷(五) 四边形,共54页。
      (时间:120分钟 满分:120分)一、选择题(本大题共10小题,每小题3分,共30分,每小题只有一个选项符合题目要求)1.若一个多边形的内角和为1 080°,则这个多边形的边数为(  )A.6    B.7C.8D.9
      C [设这个多边形的边数为n,根据题意,得180°(n-2)=1 080°,解得n=8.故选C.]
      2.小明是这样画平行四边形的:如图,将三角尺ABC的一边AC贴着直尺推移到A1B1C1的位置,这时四边形ABB1A1就是平行四边形.小明这样做的依据是(  )A.有两组对边分别平行的四边形是平行四边形B.有两组对边分别相等的四边形是平行四边形C.有一组对边平行且相等的四边形是平行四边形D.对角线互相平分的四边形是平行四边形
      C [根据平移的性质,得到AB∥B1A1,AB=B1A1.故选C.]
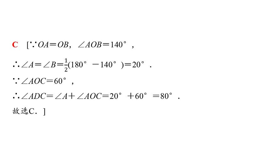
      3.量角器测角度时摆放的位置如图所示,在△AOB中,射线OC交边AB于点D,则∠ADC的度数为(  )A.60°   B.70°   C.80°   D.85°
      4.如图,菱形ABCD的对角线相交于点O,E为AB的中点,连接OE.若菱形的周长为72,则OE的长为(  )A.3B.6C.9D.12
      5.如图,将长方形纸片折叠,使A点落在BC上的F处,折痕为BE,若沿EF剪下,则折叠部分是一个正方形,其数学原理是(  )A.邻边相等的矩形是正方形 B.对角线相等的菱形是正方形 C.两个全等的直角三角形构成正方形 D.轴对称图形是正方形
      A [∵将长方形纸片折叠,点A落在BC上的F处,∴BA=BF.∵折痕为BE,沿EF剪下,∴四边形ABFE为矩形,∴四边形ABFE为正方形.故用的判定定理是:邻边相等的矩形是正方形.故选A.]
      6.(2024·岱岳区期中)如图1,在菱形ABCD中,对角线AC,BD相交于点O,要在对角线BD上找两点M,N,使得四边形AMCN是菱形,现有图2中的甲、乙两种方案,则正确的方案是(  )A.只有甲B.只有乙C.甲和乙D.甲、乙都不是
      C [∵四边形ABCD是菱形,∴OB=OD,OA=OC,AC⊥BD.∵BM=DN,∴OM=ON,∵OA=OC,MN⊥AC,∴四边形AMCN是菱形,故方案甲正确.
      ∴△AOM≌△AON(ASA),∴OM=ON,∵OA=OC,∴四边形AMCN是平行四边形,∵AC⊥MN,∴四边形AMCN是菱形.故方案乙正确.故选C.]
      8.如图,在▱ABCD中,CD=2AD,BE⊥AD,垂足为点E,F为DC的中点,连接EF,BF,下列结论:①∠ABC=2∠ABF;②EF=BF;③S四边形DEBC=2S△EFB;④∠CFE=3∠DEF,其中正确结论的个数共有(  )A.1个B.2个C.3个D.4个
      D [如图,延长EF交BC的延长线于G,取AB的中点为H,连接FH.∵CD=2AD,DF=FC,∴CF=CB,∴∠CFB=∠CBF.∵CD∥AB,∴∠CFB=∠FBH,∴∠CBF=∠FBH,∴∠ABC=2∠ABF.故①正确.
      ∵DE∥CG,∴∠D=∠FCG,∵DF=FC,∠DFE=∠CFG,∴△DFE≌△CFG(ASA),∴FE=FG.∵BE⊥AD,∴∠AEB=90°,∵AD∥BC,∴∠AEB=∠EBG=90°,∴BF=EF=FG,故②正确.
      ∵S△DFE=S△CFG,∴S四边形DEBC=S△EBG=2S△BEF,故③正确.∵AH=HB,DF=CF,AB=CD,∴CF=BH,∵CF∥BH,∴四边形BCFH是平行四边形,∵CF=BC,∴四边形BCFH是菱形,∴∠BFC=∠BFH.∵FE=FB,FH∥AD,BE⊥AD,∴FH⊥BE,∴∠BFH=∠EFH=∠DEF,∴∠EFC=3∠DEF,故④正确.故选D.]
      C [∵四边形ABCD是平行四边形,∴∠D=∠ABC=60°,CD=AB=12,AD∥BC,∴∠AEB=∠CBE.∵BE平分∠ABC,∴∠ABE=∠CBE,∴∠ABE=∠AEB,∴AE=AB=12.∵AE=2ED,∴2ED=12,∴ED=6,
      D [过点B作BH⊥AC,垂足为点H,连接EH,如图所示,∴∠BEF=∠BHF=90°,∴E,B,F,H四点共圆,∴∠EHB=∠EFB.∵∠AHE+∠EHB=90°,∠EBF+∠EFB=90°,∴∠AHE=∠EBF,∵∠EBF=∠ACD,∴∠AHE=∠ACD为定值,∴点E在射线HE上运动,当AE⊥EH时,AE的值最小.
      二、填空题(本大题共6小题,满分18分.只要求填写最后结果,每小题填对得3分)11.把正三角形、正四边形、正五边形按如图所示的位置摆放,若∠1=52°,∠2=18°,则∠3=________.
      12.(2024·泰山模拟)如图,在▱ABCD中,∠D=100°,∠DAB的平分线AE交DC于点E,连接BE.若AE=AB,则∠EBC的度数为________.
      30° [∵四边形ABCD是平行四边形,∴∠ABC=∠D=100°,AB∥CD,∴∠BAD=180°-∠D=80°.∵AE平分∠DAB,∴∠BAE=80°÷2=40°.∵AE=AB,∴∠ABE=(180°-40°)÷2=70°,∴∠EBC=∠ABC-∠ABE=30°.故答案为30°.]
      13.如图,若菱形ABCD的顶点A,B的坐标分别为(3,0),(-2,0),点D在y轴上,则点D的坐标是________.
      14.如图,在平行四边形ABCD中,BF平分∠ABC,交AD于点F,CE平分∠BCD,交AD于点E,AB=8,BC=12,则EF的长为________.
      4 [∵四边形ABCD为平行四边形,AB=8,∴CD=AB=8,AD∥BC,∴∠AFB=∠CBF,∵BF平分∠ABC,∴∠ABF=∠CBF,∴∠ABF=∠AFB,∴AF=AB=8,同理DE=DC=8,∵AD=AF+(DE-EF)=12,∴EF=4.故答案为4.]
      15.如图,把长方形纸片OABC放入平面直角坐标系中,使OA,OC分别落在x轴、y轴上,连接AC,将纸片OABC沿AC折叠,使点B落在点D的位置,AD与y轴交于点E,若B(2,4),则OE的长为________.
      16.(2024·泰安模拟)在平面直角坐标系中,正方形ABCD的位置如图所示,点A的坐标为(1,0),点D的坐标为(0,2).延长CB交x轴于点A1,作第1个正方形A1B1C1C;延长C1B1交x轴于点A2,作第2个正方形A2B2C2C1,…,按这样的规律进行下去,第2 016个正方形的面积是____________.
      三、解答题(本大题共5小题,满分72分.解答应写出必要的文字说明、证明过程或推演步骤)17.(12分)如图,在▱ABCD中,DF平分∠ADC,交AB于点F,BE∥DF,交AD的延长线于点E.若∠A=40°,求∠ABE的度数.
      18.(12分)如图,在四边形ABCD中,AC与BD相交于点O,且AO=CO,点E在BD上,满足∠EAO=∠DCO.(1)求证:四边形AECD是平行四边形;(2)若AB=BC,CD=5,AC=8,求四边形AECD的面积.
      19.(12分)如图,在▱ABCD中,E为BC的中点,连接AE并延长交DC的延长线于点F,连接BF,AC,若AD=AF,求证:四边形ABFC是矩形.
      [证明] ∵四边形ABCD是平行四边形,∴AB∥CD,∴∠BAE=∠CFE,∠ABE=∠FCE.∵E为BC的中点,∴EB=EC,∴△ABE≌△FCE(AAS),∴AB=CF.∵AB∥CF,∴四边形ABFC是平行四边形.∵AD=BC,AD=AF,∴BC=AF,∴四边形ABFC是矩形.
      20.(17分)如图,在正方形ABCD中,点P是对角线BD上的一点,点E在AD的延长线上,且PA=PE,PE交CD于点F.(1)证明:PC=PE;(2)求∠CPE的度数.
      (2)由(1)知,△ABP≌△CBP,∴∠BAP=∠BCP,∴∠DAP=∠DCP.∵PA=PE,∴∠DAP=∠E,∴∠DCP=∠E.∵∠CFP=∠EFD,∴180°-∠PFC-∠PCF=180°-∠DFE-∠E,即∠CPE=∠EDF=90°.
      21.(19分)(2024·泰山二模)如图,正方形ABCD中,AB=1,点E是对角线AC上的一点,连接DE.过点E作EF⊥ED,垂足为点F,以DE,EF为邻边作矩形DEFG,连接AG,EB.(1)求证:①∠EFB=∠EBF;②矩形DEFG是正方形.(2)求AG+AE的值.
      [解] (1)①证明:过点E作EM⊥AD,垂足为点M,EN⊥AB,垂足为点N,则∠EMA=∠EMD=∠ENF=∠ENB=90°,∵四边形ABCD是正方形,∴∠EAD=∠EAB=45°,AD=AB,又∵AE=AE,∴△ADE≌△ABE(SAS),EM=EN,∴DE=BE.
      ∵∠EMA=∠ENA=∠DAB=90°,∴四边形ANEM是矩形,又∵四边形DEFG是矩形,∴∠MEN=∠DEF=90°,∴∠DEM=∠FEN=90°-∠MEF.又∵∠EMD=∠ENF=90°,EM=EN,∴△EMD≌△ENF(ASA),则DE=EF,∴EF=BE,则∠EFB=∠EBF.②∵四边形DEFG是矩形,DE=EF,∴四边形DEFG是正方形.

      相关课件

      2025年中考数学总复习课件(山东省专用)32 第一部分 第五章 章末综合评价卷(五) 四边形:

      这是一份2025年中考数学总复习课件(山东省专用)32 第一部分 第五章 章末综合评价卷(五) 四边形,共54页。

      2025年中考数学总复习课件(山东省专用)30 第一部分 第五章 第一节 多边形与平行四边形:

      这是一份2025年中考数学总复习课件(山东省专用)30 第一部分 第五章 第一节 多边形与平行四边形,共60页。

      2025年中考数学总复习课件(山东省专用)29 第一部分 第四章 章末综合评价卷(四) 几何初步与三角形:

      这是一份2025年中考数学总复习课件(山东省专用)29 第一部分 第四章 章末综合评价卷(四) 几何初步与三角形,共49页。

      资料下载及使用帮助
      版权申诉
      • 1.电子资料成功下载后不支持退换,如发现资料有内容错误问题请联系客服,如若属实,我们会补偿您的损失
      • 2.压缩包下载后请先用软件解压,再使用对应软件打开;软件版本较低时请及时更新
      • 3.资料下载成功后可在60天以内免费重复下载
      版权申诉
      若您为此资料的原创作者,认为该资料内容侵犯了您的知识产权,请扫码添加我们的相关工作人员,我们尽可能的保护您的合法权益。
      入驻教习网,可获得资源免费推广曝光,还可获得多重现金奖励,申请 精品资源制作, 工作室入驻。
      版权申诉二维码
      欢迎来到教习网
      • 900万优选资源,让备课更轻松
      • 600万优选试题,支持自由组卷
      • 高质量可编辑,日均更新2000+
      • 百万教师选择,专业更值得信赖
      微信扫码注册
      手机号注册
      手机号码

      手机号格式错误

      手机验证码 获取验证码 获取验证码

      手机验证码已经成功发送,5分钟内有效

      设置密码

      6-20个字符,数字、字母或符号

      注册即视为同意教习网「注册协议」「隐私条款」
      QQ注册
      手机号注册
      微信注册

      注册成功

      返回
      顶部
      中考一轮 精选专题 初中月考 教师福利
      添加客服微信 获取1对1服务
      微信扫描添加客服
      Baidu
      map