搜索
      上传资料 赚现金

      陕西省2024届九年级下学期开学考试数学试卷(含解析)

      • 614.13 KB
      • 2025-04-18 11:31:41
      • 74
      • 0
      • 数学小海洋
      加入资料篮
      立即下载
      陕西省2024届九年级下学期开学考试数学试卷(含解析)第1页
      高清全屏预览
      1/21
      陕西省2024届九年级下学期开学考试数学试卷(含解析)第2页
      高清全屏预览
      2/21
      陕西省2024届九年级下学期开学考试数学试卷(含解析)第3页
      高清全屏预览
      3/21
      还剩18页未读, 继续阅读

      陕西省2024届九年级下学期开学考试数学试卷(含解析)

      展开

      这是一份陕西省2024届九年级下学期开学考试数学试卷(含解析),共21页。试卷主要包含了本试卷分为第一部分等内容,欢迎下载使用。
      注意事项:
      1.本试卷分为第一部分(选择题)和第二部分(非选择题).全卷共6页,总分120分.考试时间120分钟.
      2.领到试卷和答题卡后,请用0.5毫米黑色墨水签字笔,分别在试卷和答题卡上填写姓名和准考证号,同时用2B铅笔在答题卡上填涂对应的试卷类型信息点(A或B).
      3.请在答题卡上各题的规定区域内作答,否则作答无效.
      4.作图时,先用铅笔作图,再用规定签字笔涂黑.
      5.考试结束,本试卷和答题纸一并交回.
      第一部分(选择题 共24分)
      一、选择题(共8小题,每小题3分,计24分.每小题只有一个选项是符合题目要求的)
      1. 下列四个数中,最小的数是( )
      A. 1B. 0C. D.
      答案:D
      解:∵,,,
      ∴,
      故选:D.
      2. 如图,是某商场的休息椅,它的俯视图是( )
      A. B. C. D.
      答案:B
      解:它俯视图如图所示:

      故选:B.
      3. 如图,,E是上的点,若,,则的度数为( )

      A. B. C. D.
      答案:C
      解:∵,
      ∴,
      ∵,
      ∴.
      故选:C.
      4. 下列运算中,正确的是( )
      A. B.
      C. D.
      答案:D
      解:A、,故选项A错误,不符合题意;
      B、,故选项B错误,不符合题意;
      C、,故选项C错误,不符合题意;
      D、,故选项D正确,符合题意,
      故选:D.
      5. 将一次函数的图象沿轴向上平移个单位长度后经过点,则的值为( )
      A. 7B. 6C. 5D. 4
      答案:C
      解:将一次函数的图象沿轴向上平移个单位长度后的直线解析式为,
      ∵平移后的直线经过点,
      ∴,
      ∴,
      故选:C.
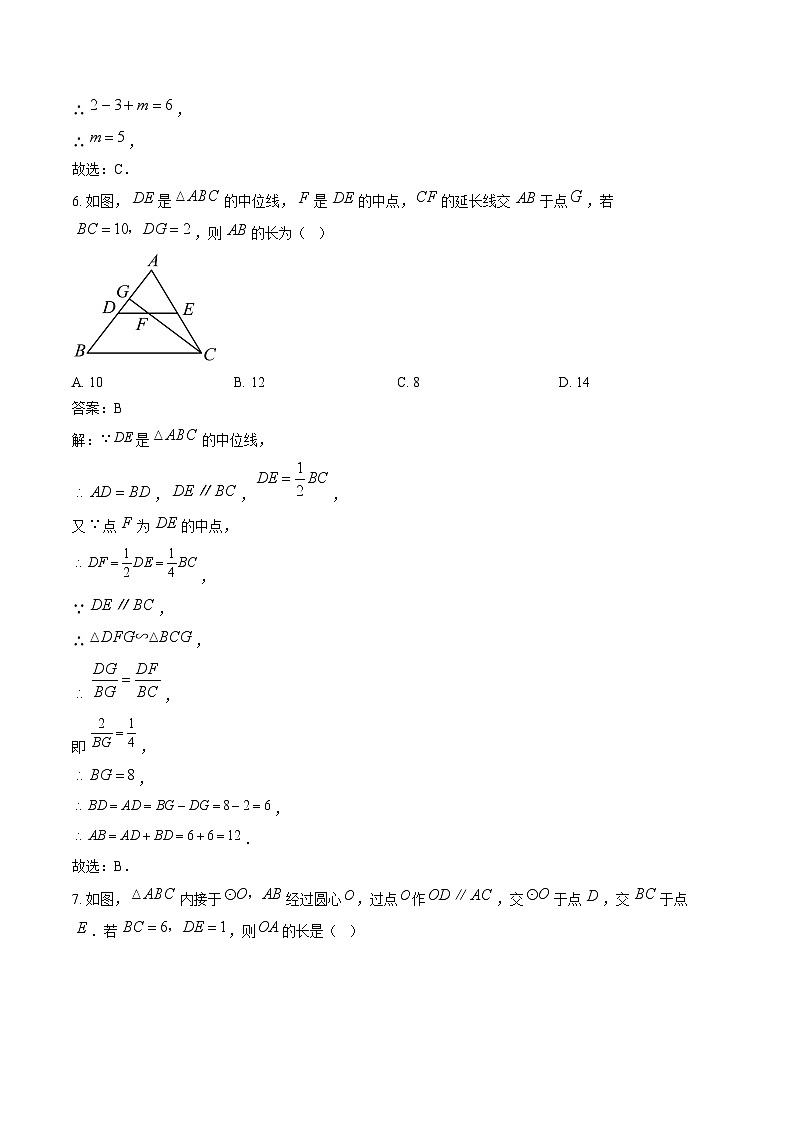
      6. 如图,是的中位线,是的中点,的延长线交于点,若,则的长为( )
      A. 10B. 12C. 8D. 14
      答案:B
      解:是的中位线,
      ,,,
      又点为的中点,

      ∵,
      ∴,

      即,



      故选:B.
      7. 如图,内接于经过圆心,过点作,交于点,交于点.若,则的长是( )
      A. 3B. 2C. 5D. 4
      答案:C
      解:∵内接于经过圆心,
      ∴是的直径,
      ∴,
      ∵过点作,交于点,
      ∴,
      即于点E,
      ∴,
      设,则
      在中,,
      ∴,
      解得
      ∴的长是5,
      故选:C
      8. 如图是二次函数的图象,给出以下结论:①;②;③;④;⑤当时,随的增大而增大,其中正确的是( )
      A. ①②④B. ②③④⑤C. ①③④D. ①③⑤
      答案:C
      解:∵抛物线与x轴有两个交点,
      ∴判别式△=,故结论①正确;
      ∵抛物线与x轴的交点分别为、,
      ∴抛物线的对称轴是,
      ∴,
      ∴,
      即,故结论③正确;
      ∵二次函数开口向上,
      ∴,
      ∴,
      ∵抛物线与y轴的交点在原点下方,
      ∴,
      ∴;故结论②不正确;
      ∵由函数图象可知,当时,,
      ∴,故结论④正确;
      ∵抛物线的对称轴是,且开口向上,
      ∴时,y随x的增大而增大,时,y随x的增大而减少,故结论⑤不正确.
      综上,结论①③④正确,
      故选:C.
      第二部分(非选择题 共96分)
      二、填空题(共5小题,每小题3分,计15分)
      9. 若点与关于原点对称,则的值为______.
      答案:
      解:∵点与关于原点对称,
      ∴,,
      ∴,
      故答案为:.
      10. 若关于的一元二次方程有两个不相等的实数根,则的取值范围为______.
      答案:且
      解:由题意得

      方程有两个不相等的实数根,,
      ,,
      即:
      解得:,
      且.
      故答案为:且.
      11. 如图,在正五边形的内部以为边作正方形,连接,则的度数为________.
      答案:##81度
      解:正五边形,正方形,

      ∴.
      故答案为:.
      12. 菱形在平面直角坐标系中的位置如图所示,点在轴上,顶点在反比例函数的图象上,若菱形的面积为8,则这个反比例函数的表达式为________
      答案:
      解:如图,连接交于点D,
      由菱形的性质得,
      设这个反比例函数的表达式为,则,
      菱形的面积为8,


      解得,
      反比例函数部分图象在第二象限,


      这个反比例函数的表达式为,
      故答案为:.
      13. 如图,在等边中,,以点为圆心,半径为作,点是边上的一个动点,过点作与相切于点,则线段的最小值为________
      答案:
      如图,连接,,作于点,则
      在等边中,,


      与相切于点

      ,且当的值最小时,的值最小,
      当时,最小为.
      故答案为:.
      三、解答题(共13小题,计81分,解答应写出过程)
      14. 解不等式:.
      答案:
      解:
      去分母,得:,
      移项、合并同类项,得,
      系数化为1,得.
      15. 计算:.
      答案:
      解:

      16. 化简:.
      答案:
      原式=

      17. 如图,在钝角中,,请用尺规作图法,在上求作一点,使得.(保留作图痕迹,不写作法)
      答案:见解析
      解∶如图,点即为所作.
      如图,作的是的垂直平分线,
      ∴,
      ∴,
      ∵,
      ∴,
      ∵,
      ∴.
      18. 如图,在中,点分别在边上,连接,且.请从下面三个条件:①②;③中,选择一个合适的作为已知条件,使为菱形,写出证明过程.
      答案:选择①或选择③;见解析
      解:选择①:证明如下:
      ∵,
      ∴.

      ∴,
      ∴,
      ∴平行四边形为菱形.
      选择③:证明如下:
      ∵,
      ∴.

      ∴,
      ∴,
      ∴平行四边形为菱形.
      19. 秦腔,别称“梆子腔”,中国汉族最古老的戏剧之一,起于西周,于西府,成熟于秦,是华夏民族文化的瑰宝,它深刻诠释了汉文化的发展,同时也承载着广大西部地区人民的精神寄托,是人们互相交流情感的一种方式.李爷爷,刘爷爷两位秦腔爱好者都想参加中老年俱乐部的汇演活动,需要各自从下面四部曲目中分别随机选择一部进行表演,如图所示,卡片除正面图案不同外,其余均相同.卡片洗匀后,背面朝上放置在桌面上.

      (1)李爷爷从中随机抽取一张,卡片正面是“D.龙凤呈祥”的概率是______;
      (2)若李爷爷先从这4张卡片中随机抽取一张,不放回,刘爷爷再从剩下的3张卡片中随机抽取一张,请用画树状图或列表的方法,求两人中有一个人抽中“A.周仁回府”这个曲目的概率.
      答案:(1)
      (2)
      【小问1详解】
      ∵李爷爷从中随机抽取一张,有4种等可能结果,卡片正面是“D.龙凤呈祥”的结果只有1种,
      ∴卡片正面是“D.龙凤呈祥”的概率是:;
      【小问2详解】
      列表如下:
      从表格中可得:所有等可能的结果有12种,其中有一个人抽中“A.周仁回府”这个曲目的结果有6种,
      ∴两人中有一个人抽中“A.周仁回府”这个曲目的概率为:,
      20. 2024龙年春晚主题为“龙行龘龘(dá),欣欣家国”,“龘”这个字引发一波热门关注,据记载,“龘”出自第一部楷书字典《玉篇》,“龙行龘龘”形容龙腾飞的样子,昂扬而热烈.某服装店购进一款印有“龘”字图案的上衣,据店长统计,该款上衣12月份销售量为150件,2月份销售量为216件,求该款上衣销售量的月平均增长率.
      答案:该款上衣销售量的月平均增长率为
      解:设该款上衣销售量的月平均增长率为根据题意,得

      解得舍去),
      答:该款上衣销售量的月平均增长率为,
      21. 如图,在综合与实践活动中,小辰所在的数学兴趣小组要利用测角仪测量塔的高度,塔前有一座高为的观景台,已知,点在同一条水平直线上,且.小辰在处用测角仪测得塔顶部的仰角为,在观景台处测得塔顶部的仰角为.请你根据以上数据,帮小辰求出塔的高度.
      (结果保留整数;参考数据:)

      答案:塔的高度约为
      解∶在中,,
      ∴.
      如图,过点作,垂足为点,
      A
      B
      C
      D
      A
      B,A
      C,A
      D,A
      B
      A,B
      C,B
      D,B
      C
      A,C
      B,C
      D,C
      D
      A,D
      B,D
      C,D

      由题意得,,
      在中,,

      故可设,

      在中,,



      解得∶,
      故塔高度约为.
      22. 春节是中国重要的传统节日之一,阳光中学组织学生参加关于中国传统文化知识的线上测试活动.为了解七、八年级学生此次线上测试活动的成绩情况,分别随机在七、八年级各抽取了20名学生的成绩进行整理和分析,下面给出部分信息.

      抽取的七、八年级学生测试成绩统计表
      根据以上信息,解答下列问题:
      (1)补全条形统计图;扇形统计图中圆心角________°;
      (2)分别求出表格中的值;
      (3)该校七年级学生有500人,八年级学生有400人,若95分及以上为优秀,请估计该校七、八年级此次线上测试成绩优秀的总人数.
      答案:(1)见解析,18
      (2)
      (3)565人
      【小问1详解】
      解:90分的人数为:(人,
      补全条形统计图如下:
      年级
      平均分
      中位数
      众数

      m
      n
      95

      93.5
      95
      k

      扇形统计图中圆心角,
      故答案为:18;
      【小问2详解】
      解:由题意得:,
      把七年级抽取的20名学生测试成绩从小到大排列,排在中间的两个数分别为95,95,故中位数;
      由扇形统计图可知,成绩100分的百分比最大,故八年级的众数;
      【小问3详解】
      解:
      (人,
      答:估计该校七、八年级此次线上测试成绩优秀的总人数约565人.
      23. 如图,已知一次函数与反比例函数的图象在第一象限交于点,与轴交于点,与轴交于点.
      (1)求该反比例函数的表达式;
      (2)若点在轴上,且,求点的坐标.
      答案:(1)
      (2)点的坐标为或
      【小问1详解】
      解:由题意知,将点代入,
      得,即,
      ∴.
      又∵点在反比例函数的图象上,
      ∴,
      ∴反比例函数的表达式为
      【小问2详解】
      解:当时,
      ∴,
      ∴点的坐标为,
      设,可得,
      ∴,
      解得∶或,
      ∴点的坐标为或.
      24. 如图,四边形内接于,延长到点,连接交于点,且.
      (1)求证:平分;
      (2)若,求的长.
      答案:(1)见解析 (2)
      【小问1详解】
      证明:,

      四边形圆内接四边形,




      平分;
      【小问2详解】
      解:过点作于点,
      由(1)知,平分,


      在与中,

      ∴,


      在与中,

      ∴,


      在中,










      25. 如图,是某景区步行街修建的一个横断面为抛物线的拱形大门,点为顶点,其高为9米,宽为18米,以点为原点,所在直线为轴建立平面直角坐标系.矩形是安装的一个“光带”,且点,在抛物线上,点,在上.
      (1)求该抛物线的函数表达式.
      (2)求所需的三根“光带” ,,的长度之和的最大值,并写出此时的长.
      答案:(1)抛物线的函数表达式为
      (2)当米时,三根“光带”长度之和的最大值为米
      【小问1详解】
      解:由题意知,顶点,,
      可设该抛物线的函数表达式为,
      抛物线过原点,

      解得,
      该抛物线的函数表达式为;
      【小问2详解】
      设点的坐标为,则,,
      根据抛物线的轴对称性质,可得,
      故,


      当 米时,三根“光带”长度之和的最大值为 米.
      26. (1)如图1,在矩形中,为边上一点,请在的延长线上找一点,使得并说明理由;
      (2)如图2,某新修建的公园有一块五边形空地,已知,,,,,,,,,点在边上,且.园区管理人员计划将这块空地种植牡丹,吸引游客观赏打卡.为了方便游客行走,要在其中间修一条过点的笔直小路(路的宽度不计),使得小路的另一出口在上的点处,且恰好将五边形分成面积相等的两部分.请你帮园区管理人员确定出点到点的距离,并求出小路的长.
      答案:(1)见解析 (2)点在线段距离点,小路的长为
      【小问1详解】
      连接,过点作,交的延长线于点,连接,则点即为所求.
      理由∶∵,




      【小问2详解】
      如图,连接,过点作于点,过点作于点,过点作交的延长线于点,连接.
      ,,

      ,,


      ,,
      四边形为矩形,
      ,,


      又,
      ∴,
      ,,
      ,,
      ,,,
      四边形为矩形,




      ∵直线恰好将五边形分成面积相等的两部分,



      ∴点在线段距离点处,

      ∴小路的长为.

      相关试卷

      陕西省2024届九年级下学期开学考试数学试卷(含解析):

      这是一份陕西省2024届九年级下学期开学考试数学试卷(含解析),共21页。试卷主要包含了本试卷分为第一部分等内容,欢迎下载使用。

      陕西省商洛市2025届九年级下学期开学考试数学试卷(含解析):

      这是一份陕西省商洛市2025届九年级下学期开学考试数学试卷(含解析),共20页。试卷主要包含了单选题,填空题,解答题等内容,欢迎下载使用。

      陕西省商洛市2024-2025学年九年级下学期开学考试 数学试题(含解析):

      这是一份陕西省商洛市2024-2025学年九年级下学期开学考试 数学试题(含解析),共24页。试卷主要包含了本试卷分为第一部分等内容,欢迎下载使用。

      资料下载及使用帮助
      版权申诉
      • 1.电子资料成功下载后不支持退换,如发现资料有内容错误问题请联系客服,如若属实,我们会补偿您的损失
      • 2.压缩包下载后请先用软件解压,再使用对应软件打开;软件版本较低时请及时更新
      • 3.资料下载成功后可在60天以内免费重复下载
      版权申诉
      若您为此资料的原创作者,认为该资料内容侵犯了您的知识产权,请扫码添加我们的相关工作人员,我们尽可能的保护您的合法权益。
      入驻教习网,可获得资源免费推广曝光,还可获得多重现金奖励,申请 精品资源制作, 工作室入驻。
      版权申诉二维码
      欢迎来到教习网
      • 900万优选资源,让备课更轻松
      • 600万优选试题,支持自由组卷
      • 高质量可编辑,日均更新2000+
      • 百万教师选择,专业更值得信赖
      微信扫码注册
      手机号注册
      手机号码

      手机号格式错误

      手机验证码 获取验证码 获取验证码

      手机验证码已经成功发送,5分钟内有效

      设置密码

      6-20个字符,数字、字母或符号

      注册即视为同意教习网「注册协议」「隐私条款」
      QQ注册
      手机号注册
      微信注册

      注册成功

      返回
      顶部
      中考一轮 精选专题 初中月考 教师福利
      添加客服微信 获取1对1服务
      微信扫描添加客服
      Baidu
      map