高三数学一轮复习第四章三角函数与解三角形第二课时同角三角函数的基本关系式与诱导公式课件
展开考点二 诱导公式的应用三角函数的诱导公式
点拨 常见的互余和互补的角
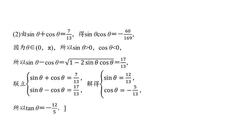
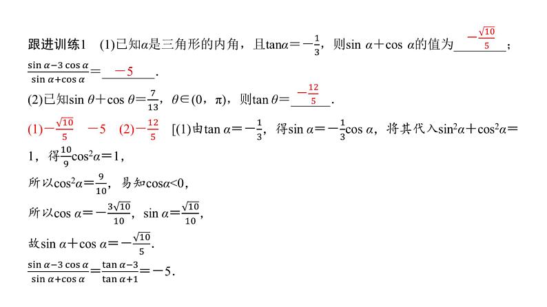
解题时可以利用互余两角的正弦值与余弦值相等,互补两角的正弦值相等,互补两角的余弦值与正切值互为相反数快速地解决问题.
2025版高考数学全程一轮复习第四章三角函数与解三角形第二节同角三角函数的基本关系式及诱导公式课件: 这是一份2025版高考数学全程一轮复习第四章三角函数与解三角形第二节同角三角函数的基本关系式及诱导公式课件,共38页。PPT课件主要包含了课前自主预习案,课堂互动探究案,sinα,cosα,tanα,-sinα,-tanα,-cosα,答案C,答案3等内容,欢迎下载使用。
2025高考数学一轮复习-第19讲-同角三角函数的基本关系式与诱导公式【课件】: 这是一份2025高考数学一轮复习-第19讲-同角三角函数的基本关系式与诱导公式【课件】,共47页。PPT课件主要包含了激活思维,-2tanα,聚焦知识,同角关系式的基本应用,举题说法,诱导公式的应用,三角函数的化简与证明,-sin2α,随堂内化,-tanα等内容,欢迎下载使用。
2025高考数学一轮复习第4章三角函数与解三角形02第17讲同角三角函数的基本关系式与诱导公式(课件+解析试卷): 这是一份2025高考数学一轮复习第4章三角函数与解三角形02第17讲同角三角函数的基本关系式与诱导公式(课件+解析试卷),文件包含第4章三角函数与解三角形02第17讲同角三角函数的基本关系式与诱导公式pptx、第4章三角函数与解三角形02第17讲同角三角函数的基本关系式与诱导公式docx等2份课件配套教学资源,其中PPT共55页, 欢迎下载使用。

