还剩36页未读,
继续阅读
所属成套资源:2024年新人教版高中数学必修第一册全套课件
成套系列资料,整套一键下载
第5章 章末复习课-新人教版高中数学必修第一册全套课件
展开
这是一份第5章 章末复习课-新人教版高中数学必修第一册全套课件,共44页。
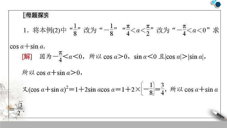
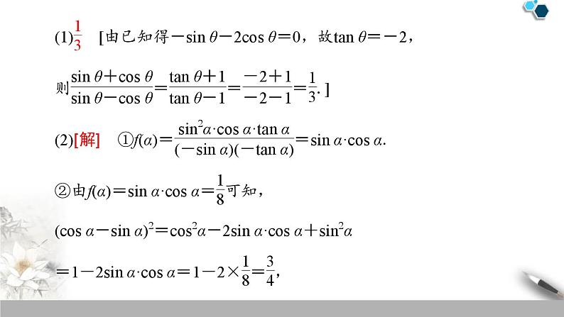
第五章 三角函数章末复习课2345678关注公众号《品数学》,获取更多资料91011121314关注公众号《品数学》,获取更多资料151617181920212223242526关注公众号《品数学》,获取更多资料2728293031323334353637383940414243Thank you for watching !
第五章 三角函数章末复习课2345678关注公众号《品数学》,获取更多资料91011121314关注公众号《品数学》,获取更多资料151617181920212223242526关注公众号《品数学》,获取更多资料2728293031323334353637383940414243Thank you for watching !
相关资料
更多

