高中数学人教A版 (2019)必修 第一册5.5 三角恒等变换课堂教学课件ppt
展开知识点 两角差的余弦公式
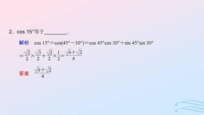
cs αcs β+sin αsin β
[微体验]1.思考辨析(1)cs(α-β)=cs α-cs β.( )(2)cs(α-β)=cs αcs β-sin αsin β.( )(3)若α,β为两个锐角,则cs(α-β)
3.计算:cs 45°cs 15°+sin 45°sin 15°=________.
求下列各式的值:(1)cs 75°cs 15°-sin 75°sin 195°;(2)sin 46°cs 14°+sin 44°cs 76°.
探究一 给角求值(化简)问题
[变式探究1] 将本例改为化简:cs(α+β)cs β+sin(α+β)sin β.解 原式=cs(α+β-β)=cs α.
[方法总结]灵活运用两角差公式进行化简求值(1)把非特殊角转化为特殊角的和差,正用公式直接求解.(2)先观察待求式与公式右边是否相符,即“余弦在前,正弦在后,符号相反”,可行时可通过化负角为正角,化大角为小角,调整角度和名称统一,构造公式.
[跟踪训练1] -sin 167°·sin 223°+sin 257°·sin 313°.
探究二 给值(或式)求值问题
高中数学人教A版 (2019)必修 第一册第五章 三角函数5.5 三角恒等变换教学课件ppt: 这是一份高中数学人教A版 (2019)必修 第一册第五章 三角函数5.5 三角恒等变换教学课件ppt,共30页。PPT课件主要包含了素养·目标定位,课前·基础认知,课堂·重难突破,随堂训练,答案B,二给值求值,典例剖析,互动探究,学以致用,三给值求角等内容,欢迎下载使用。
高中数学人教A版 (2019)必修 第一册5.5 三角恒等变换课堂教学课件ppt: 这是一份高中数学人教A版 (2019)必修 第一册5.5 三角恒等变换课堂教学课件ppt,共37页。PPT课件主要包含了必备知识•探新知,Sα+β,Sα-β,关键能力•攻重难,课堂检测•固双基等内容,欢迎下载使用。
高中人教A版 (2019)5.5 三角恒等变换说课ppt课件: 这是一份高中人教A版 (2019)5.5 三角恒等变换说课ppt课件,共33页。PPT课件主要包含了必备知识•探新知,任意角,关键能力•攻重难,课堂检测•固双基等内容,欢迎下载使用。

