还剩19页未读,
继续阅读
成套系列资料,整套一键下载
- 新教材2023_2024学年高中数学第4章对数运算与对数函数2对数的运算2.1对数的运算性质2.2换底公式课件北师大版必修第一册 课件 0 次下载
- 新教材2023_2024学年高中数学第四章数学建模活动三1自主数学建模的结题报告课件北师大版选择性必修第一册 课件 0 次下载
- 新教材2023_2024学年高中数学第5章函数应用1方程解的存在性及方程的近似解1.1利用函数性质判定方程解的存在性课件北师大版必修第一册 课件 0 次下载
- 新教材2023_2024学年高中数学第5章函数应用1方程解的存在性及方程的近似解1.2利用二分法求方程的近似解课件北师大版必修第一册 课件 0 次下载
- 新教材2023_2024学年高中数学第5章函数应用本章总结提升课件北师大版必修第一册 课件 0 次下载
新教材2023_2024学年高中数学第4章对数运算与对数函数本章总结提升课件北师大版必修第一册
展开
这是一份新教材2023_2024学年高中数学第4章对数运算与对数函数本章总结提升课件北师大版必修第一册,共27页。
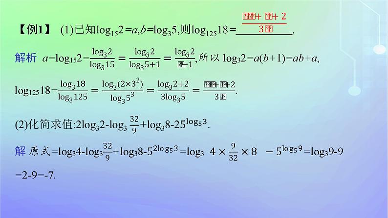
第四章本章总结提升网络构建·归纳整合专题突破·素养提升目录索引 网络构建·归纳整合专题突破·素养提升专题一 对数运算本专题主要考查对数与指数的互化,对数的运算性质、对数恒等式以及换底公式等,要会利用运算性质进行化简、计算、证明等,重点提升数学运算素养.【例1】 (1)已知log152=a,b=log35,则log12518= . 规律方法 对数的运算应遵循的原则(1)统一底数:借助换底公式,化异底为同底.(2)运用性质:熟练地运用对数的三个运算性质并结合对数恒等式,换底公式进行对数计算、化简、证明.(3)检验等价性:对数运算首先注意公式应用过程中范围的变化,前后要等价.变式训练1计算80.25× +log32×log2(log327)的值为 . 111 专题二 比较大小比较大小是对数函数性质应用的一个重要体现,要掌握数的大小比较方法,会根据数据信息构造函数并能借助相应函数的图象及性质比较数的大小,不断提升数学建模和逻辑推理素养.【例2】 (1)设函数f(x)= ,若a=f(log32),b=f(log52),c=f(20.2),则a,b,c的大小关系为( )A.ab>1,00,所以y=xc为增函数,又a>b>1,所以ac>bc,A错误.对于选项B,abc0,且a≠1).(1)求f(x)的定义域;(2)判断f(x)的奇偶性,并说明理由;(3)若f(x)>0,求x的取值范围.所以函数的定义域为(-10,10).(2)函数的定义域关于原点对称,则f(-x)=loga(10-x)-loga(10+x)=-[loga(10+x)-loga(10-x)]=-f(x),即函数f(x)是奇函数.(3)若f(x)>0,则f(x)=loga(10+x)-loga(10-x)>0,即loga(10+x)>loga(10-x).解得01时,x的取值范围为(0,10),当00),若点M(x,y)在函数y=g(x)图象上运动时,对应的点 在函数y=f(x)图象上运动,则称函数y=g(x)是函数y=f(x)的相关函数.(1)当a=1时,解关于x的不等式f(x)<1;(2)对任意的x∈[0,1],f(x)的图象总在其相关函数图象的上方,求实数a的取值范围.
第四章本章总结提升网络构建·归纳整合专题突破·素养提升目录索引 网络构建·归纳整合专题突破·素养提升专题一 对数运算本专题主要考查对数与指数的互化,对数的运算性质、对数恒等式以及换底公式等,要会利用运算性质进行化简、计算、证明等,重点提升数学运算素养.【例1】 (1)已知log152=a,b=log35,则log12518= . 规律方法 对数的运算应遵循的原则(1)统一底数:借助换底公式,化异底为同底.(2)运用性质:熟练地运用对数的三个运算性质并结合对数恒等式,换底公式进行对数计算、化简、证明.(3)检验等价性:对数运算首先注意公式应用过程中范围的变化,前后要等价.变式训练1计算80.25× +log32×log2(log327)的值为 . 111 专题二 比较大小比较大小是对数函数性质应用的一个重要体现,要掌握数的大小比较方法,会根据数据信息构造函数并能借助相应函数的图象及性质比较数的大小,不断提升数学建模和逻辑推理素养.【例2】 (1)设函数f(x)= ,若a=f(log32),b=f(log52),c=f(20.2),则a,b,c的大小关系为( )A.ab>1,0
相关资料
更多

