还剩27页未读,
继续阅读
所属成套资源:北师大版数学必修第一册课件PPT整册
成套系列资料,整套一键下载
- 2021_2022学年新教材高中数学第4章对数运算和对数函数3第1课时对数函数的概念图象和性质课件北师大版必修第一册 课件 1 次下载
- 2021_2022学年新教材高中数学第4章对数运算和对数函数3第2课时对数函数图象及性质的应用课件北师大版必修第一册 课件 1 次下载
- 2021_2022学年新教材高中数学第5章函数应用2实际问题中的函数模型课件北师大版必修第一册 课件 1 次下载
- 2021_2022学年新教材高中数学第5章函数应用11.1利用函数性质判定方程解的存在性课件北师大版必修第一册 课件 1 次下载
- 2021_2022学年新教材高中数学第5章函数应用11.2利用二分法求方程的近似解课件北师大版必修第一册 课件 1 次下载
2021_2022学年新教材高中数学第4章对数运算和对数函数章末综合提升课件北师大版必修第一册
展开
这是一份2021_2022学年新教材高中数学第4章对数运算和对数函数章末综合提升课件北师大版必修第一册,共35页。
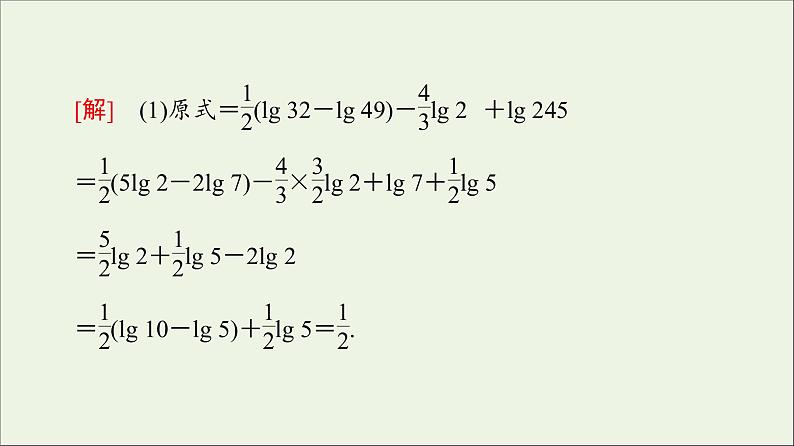
章末综合提升第四章 对数运算与对数函数巩固层·知识整合NO.1提升层·题型探究NO.2类型1 对数的运算类型2 函数图象及其应用类型3 对数函数的性质及应用体验层·真题感悟NO.31234123451234512341234
章末综合提升第四章 对数运算与对数函数巩固层·知识整合NO.1提升层·题型探究NO.2类型1 对数的运算类型2 函数图象及其应用类型3 对数函数的性质及应用体验层·真题感悟NO.31234123451234512341234
相关资料
更多

