广东省汕尾市2021-2022学年高一下学期期末数学试题
展开汕尾市2021-2022学年度第二学期全市高中一年级教学质量监测
数学
本试题共4页,考试时间120分钟,满分150分
注意事项:
1.答题前,考生先将自己的信息填写清楚、准确,将条形码准确粘贴在条形码粘贴处.
2.请按照题号顺序在答题卡各题目的答题区域内作答,超出答题区域书写的答案无效.
3.答题时请按要求用笔,保持卡面清洁,不要折叠,不要弄破、弄皱,不得使用涂改液、修正带、刮纸刀.考试结束后,请将本试题及答题卡交回.
一、选择题:本题共8小题,每小题5分,共40分.在每小题给出的四个选项中,只有一项是符合题目要求的.
1. 已知集合,,则( )
A. B. C. D.
2. 已知实数,满足,则下列关系式一定成立的是( )
A. B. C. D.
3. 已知,向量与的夹角为,则( )
A. 5 B. C. D.
4. 若棱长为的正方体的顶点都在同一球面上,则该球的表面积为( ).
A. B. C. D.
5. 在中,已知,则角为( )
A. B. C. 或 D. 或
6. 已知,则的值是( )
A. B. C. D.
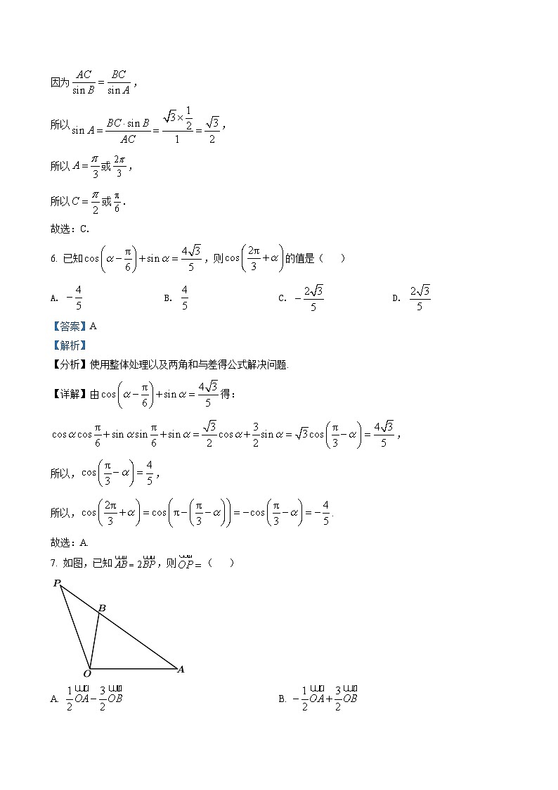
7. 如图,已知,则( )
A. B.
C. D.
8. 一纸片上绘有函数()一个周期的图像,现将该纸片沿x轴折成直二面角,原图像上相邻的最高点和最低点此时的空间距离为,若方程在区间上有两个实根,则实数a的取值范围是( )
A. B. C. D.
二、选择题:本题共4小题,每小题5分,共20分.在每小题给出的选项中,有多项符合题目要求.全部选对的得5分,部分选对的得2分,有选错的得0分.
9. 下面是关于复数的四个命题,其中真命题为( )
A. B.
C. 虚部为-1 D. 的共轭复数为
10. 已知m,n是两条不同的直线,,是两个不同的平面,则下列说法正确的是( )
A. 若,,,则 B. 若,,,则
C. 若,,,则 D. 若,,,则
11. 正四棱台中,上底面的边长为2,下底面的边长为4,棱台高为1,则( )
A. 该四棱台侧棱长为 B. 与所成角的余弦值为
C. 与面所成的角大小为 D. 二面角的大小为
12. 在中,A,B,C的对边分别为a,b,c,R为外接圆的半径,的面积记为,则下列命题正确的是( )
A. 的充要条件是
B. 若,则直角三角形
C. 若,,,则
D. 不存在,满足,,同时成立
三、填空题:本题共4小题,每小题5分,共20分
13. 已知向量,,若,则_______.
14. 已知函数,则_______.
15. 已知函数(),将图象上所有点向右平移个单位,得到奇函数的图象,则常数的一个取值为____.
16. 在平面四边形中,,,,,交于点O,若,则的值为______,的长为______.
四、解答题:本题共6小题,共70分.解答应写出文字说明、证明过程或演算步骤.
17. 在平而直角坐标系中,设与x轴、y轴方向相同两个单位向量分别为和,,.
(1)求向量与夹角的余弦值;
(2)若点P是线段的中点,且向量与垂直,求实数k的值.
18. 已知函数,其中,,是函数的两个零点,且的最小值为.
(1)求使取得最大值时自变量x的集合,并求的最大值;
(2)求的单调递增区间.
19. 如图,是圆的直径,点是圆上异于,的点,直线平面,,分别是线段,的中点.
(1)证明:平面平面;
(2)记平面与平面的交线为,试判断直线与直线的位置关系,并说明理由.
20. 设a,b,c分别为三个内角A,B,C的对边,已知.
(1)求角B;
(2)若,且,求边c.
21. 在直三棱柱中,D,E分别是,的中点,,,,.
(1)求证:平面;
(2)求点到平面的距离.
22. 某大学科研团队在如下图所示的长方形区域内(包含边界)进行粒子撞击实验,科研人员在A、O两处同时释放甲、乙两颗粒子.甲粒子在A处按方向做匀速直线运动,乙粒子在O处按方向做匀速直线运动,两颗粒子碰撞之处记为点P,且粒子相互碰撞或触碰边界后爆炸消失.已知长度为6分米,O为中点.
(1)已知向量与的夹角为,且足够长.若两颗粒子成功发生碰撞,求两颗粒子运动路程之和的最大值;
(2)设向量与向量夹角为(),向量与向量的夹角为(),甲粒子的运动速度是乙粒子运动速度的2倍.请问的长度至少为多少分米,才能确保对任意的,总可以通过调整甲粒子的释放角度,使两颗粒子能成功发生碰撞?
广东省汕尾市2022-2023学年高一上学期期末考试数学试题: 这是一份广东省汕尾市2022-2023学年高一上学期期末考试数学试题,共8页。试卷主要包含了 已知角的终边经过点,且,则, 托马斯说, 已知,则函数的图像必定不经过, 已知函数,下列选项中正确的是等内容,欢迎下载使用。
2022-2023学年广东省汕尾市高二下学期期末数学试题含答案: 这是一份2022-2023学年广东省汕尾市高二下学期期末数学试题含答案,共18页。试卷主要包含了单选题,多选题,填空题,双空题,解答题等内容,欢迎下载使用。
广东省汕尾市2021-2022高一下学期全市教学质量监测数学试卷及答案: 这是一份广东省汕尾市2021-2022高一下学期全市教学质量监测数学试卷及答案,共10页。

