- 6.4 平面向量的应用 练习 试卷 2 次下载
- 7.2 复数的四则运算 练习 试卷 1 次下载
- 7.3 复数的三角表示 练习 试卷 1 次下载
- 8.1 基本立体图形 练习 试卷 1 次下载
- 8.3 简单几何体的表面积与体积 练习 试卷 2 次下载
6.3 平面向量基本定理及坐标表示
展开第2课时 两向量共线的充要条件及应用
问题导学
预习教材P31-P33的内容,思考以下问题:
1.两向量共线的充要条件是什么?
2.如何利用向量的坐标表示两个向量共线?
两向量共线的充要条件
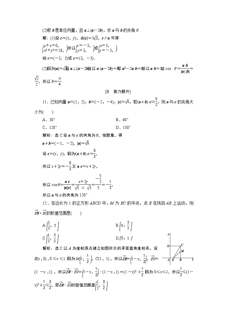
设a=(x1,y1),b=(x2,y2),其中b≠0.则a,b(b≠0)共线的充要条件是x1y2-x2y1=0.
■名师点拨
(1)两个向量共线的坐标表示还可以写成=(x2≠0,y2≠0),即两个不平行于坐标轴的共线向量的对应坐标成比例.
(2)当a≠0,b=0时,a∥b,此时x1y2-x2y1=0也成立,即对任意向量a,b都有x1y2-x2y1=0⇔a∥b.
判断(正确的打“√”,错误的打“×”)
(1)向量(1,2)与向量(4,8)共线.( )
(2)已知a=(x1,y1),b=(x2,y2),若a∥b,则必有x1y2=x2y1.( )
答案:(1)√ (2)√
下列各组的两个向量共线的是( )
A.a1=(-2,3),b1=(4,6)
B.a2=(1,-2),b2=(7,14)
C.a3=(2,3),b3=(3,2)
D.a4=(-3,2),b4=(6,-4)
答案:D
已知两点A(2,-1),B(3,1),与平行且方向相反的向量a可能是( )
A.a=(1,-2)
B.a=(9,3)
C.a=(-1,2)
D.a=(-4,-8)
解析:选D.由题意得=(1,2),结合选项可知a=(-4,-8)=-4(1,2)=-4,所以D正确.
已知a=(3,1),b=(2,λ),若a∥b,则实数λ的值为________.
答案:
向量共线的判定
(1)已知向量a=(1,-2),b=(3,4).若(3a-b)∥(a+kb),则k=________.
(2)已知A(-1,-1),B(1,3),C(2,5),判断与是否共线?如果共线,它们的方向相同还是相反?
【解】 (1)3a-b=(0,-10),a+kb=(1+3k,-2+4k),
因为(3a-b)∥(a+kb),所以0-(-10-30k)=0,
所以k=-.故填-.
(2)因为=(1-(-1),3-(-1))=(2,4),
=(2-(-1),5-(-1))=(3,6),
因为2×6-3×4=0,
所以∥,所以与共线.
又=,所以与的方向相同.
[变问法]若本例(1)条件不变,判断向量(3a-b)与(a+kb)是反向还是同向?
解:由向量(3a-b)与(a+kb)共线,得k=-,
所以3a-b=(3,-6)-(3,4)=(0,-10),
a+kb=a-b=(1,-2)-(3,4)
==(0,-10),
所以向量(3a-b)与(a+kb)同向.
向量共线的判定方法
1.(2019·河北衡水景县中学检测)已知向量a=(-1,2),b=(λ,1).若a+b与a平行,则λ=( )
A.-5 B.
C.7 D.-
解析:选D.a+b=(-1,2)+(λ,1)=(λ-1,3),由a+b与a平行,可得-1×3-2×(λ-1)=0,解得λ=-.
2.已知A(2,1),B(0,4),C(1,3),D(5,-3).判断与是否共线?如果共线,它们的方向相同还是相反?
解:=(0,4)-(2,1)=(-2,3),
=(5,-3)-(1,3)=(4,-6).
法一:因为(-2)×(-6)-3×4=0,且(-2)×4<0,
所以与共线且方向相反.
法二:因为=-2,所以与共线且方向相反.
三点共线问题
(1)已知=(3,4),=(7,12),=(9,16),求证:点A,B,C共线;
(2)设向量=(k,12),=(4,5),=(10,k),求当k为何值时,A,B,C三点共线.
【解】 (1)证明:由题意知=-=(4,8),
=-=(6,12),所以=,
即与共线.
又因为与有公共点A,所以点A,B,C共线.
(2)法一:因为A,B,C三点共线,即与共线,
所以存在实数λ(λ∈R),使得=λ.
因为=-=(4-k,-7),=-=(10-k,k-12),
所以(4-k,-7)=λ(10-k,k-12),
即解得k=-2或k=11.
所以当k=-2或k=11时,A,B,C三点共线.
法二:由已知得与共线,
因为=-=(4-k,-7),=-=(10-k,k-12),
所以(4-k)(k-12)+7(10-k)=0,
所以k2-9k-22=0,解得k=-2或k=11.
所以当k=-2或k=11时,A,B,C三点共线.
判断向量(或三点)共线的三个步骤
1.已知A,B,C三点共线,且A(-3,6),B(-5,2),若C点的纵坐标为6,则C点的横坐标为( )
A.-3 B.9
C.-9 D.3
解析:选A.设C(x,6),
因为A,B,C三点共线,所以∥,
又=(-2,-4),=(x+3,0),
所以-2×0+4(x+3)=0.
所以x=-3.
2.设点A(x,1),B(2x,2),C(1,2x),D(5,3x),当x为何值时,与共线且方向相同,此时A,B,C,D能否在同一条直线上?
解:=(2x,2)-(x,1)=(x,1),
=(1,2x)-(2x,2)=(1-2x,2x-2),
=(5,3x)-(1,2x)=(4,x).
由与共线,所以x2=1×4,
所以x=±2.
又与方向相同,所以x=2.
所以当x=2时,与共线且方向相同.
此时,=(2,1),=(-3,2),
而2×2≠-3×1,所以与不共线,
所以A,B,C三点不在同一条直线上.
所以A,B,C,D不在同一条直线上.
向量共线的应用
如图所示,在△AOB中,A(0,5),O(0,0),B(4,3),=,=,AD与BC相交于点M,求点M的坐标.
【解】 因为==(0,5)=,
所以C.
因为==(4,3)=,
所以D.
设M(x,y),则=(x,y-5),
==.
因为∥,
所以-x-2(y-5)=0,
即7x+4y=20.①
又=,=,
因为∥,所以x-4=0,
即7x-16y=-20.②
联立①②解得x=,y=2,故点M的坐标为.
应用向量共线的坐标表示求解几何问题的步骤
如图所示,已知△ABC,A(7,8),B(3,5),C(4,3),M,N,D分别是AB,AC,BC的中点,且MN与AD交于点F,求的坐标.
解:因为A(7,8),B(3,5),C(4,3),
所以=(3-7,5-8)=(-4,-3),=(4-7,3-8)=(-3,-5).
又因为D是BC的中点,所以=(+)=(-4-3,-3-5)=(-7,-8)=.
因为M,N分别为AB,AC的中点,所以F为AD的中点,所以=-=-=-=.
1.已知向量a=(1,-2),b=(m,4),且a∥b,那么2a-b=( )
A.(4,0) B.(0,4)
C.(4,-8) D.(-4,8)
解析:选C.因为向量a=(1,-2),b=(m,4),且a∥b,所以1×4=(-2)×m,所以m=-2,所以2a-b=(2-m,-4-4)=(4,-8).
2.若三点A(4,3),B(5,m),C(6,n)在一条直线上,则下列式子一定正确的是( )
A.2m-n=3 B.n-m=1
C.m=3,n=5 D.m-2n=3
解析:选A.因为三点A(4,3),B(5,m),C(6,n)在一条直线上,所以=λ,所以(1,m-3)=λ(2,n-3),所以λ=,所以m-3=(n-3),即2m-n=3.
3.平面内给定三个向量a=(3,2),b=(-1,2),c=(4,1).
(1)求满足a=mb+nc的实数m,n的值;
(2)若(a+kc)∥(2b-a),求实数k的值.
解:(1)因为a=mb+nc,所以(3,2)=m(-1,2)+n(4,1)=(-m+4n,2m+n).
所以解得
(2)因为(a+kc)∥(2b-a),
又a+kc=(3+4k,2+k),2b-a=(-5,2),
所以2×(3+4k)-(-5)×(2+k)=0.
所以k=-.
[A 基础达标]
1.已知平面向量a=(1,2),b=(-2,m),且a∥b,则2a+3b=( )
A.(-5,-10) B.(-4,-8)
C.(-3,-6) D.(-2,-4)
解析:选B.因为平面向量a=(1,2),b=(-2,m),且a∥b,所以1×m-(-2)×2=0,解得m=-4,所以2a+3b=2(1,2)+3(-2,-4)=(-4,-8).
2.已知a=(sin α,1),b=(cos α,2),若b∥a,则tan α=( )
A. B.2
C.- D.-2
解析:选A.因为b∥a,所以2sin α=cos α,所以=,所以tan α=.
3.已知向量a=(1,2),b=(0,1),设u=a+kb,v=2a-b,若u∥v,则实数k的值是( )
A.- B.-
C.- D.-
解析:选B.v=2(1,2)-(0,1)=(2,3),u=(1,2)+k(0,1)=(1,2+k).因为u∥v,所以2(2+k)-1×3=0,解得k=-.
4.若=i+2j,=(3-x)i+(4-y)j(其中i,j的方向分别与x,y轴正方向相同且为单位向量).与共线,则x,y的值可能分别为( )
A.1,2 B.2,2
C.3,2 D.2,4
解析:选B.由题意知,=(1,2),=(3-x,4-y).
因为∥,所以4-y-2(3-x)=0,
即2x-y-2=0.只有B选项,x=2,y=2代入满足.故选B.
5.已知A(1,-3),B,且A,B,C三点共线,则点C的坐标可以是( )
A.(-9,1) B.(9,-1)
C.(9,1) D.(-9,-1)
解析:选C.设点C的坐标是(x,y),
因为A,B,C三点共线,
所以∥.
因为=-(1,-3)=,
=(x,y)-(1,-3)=(x-1,y+3),
所以7(y+3)-(x-1)=0,
整理得x-2y=7,
经检验可知点(9,1)符合要求,故选C.
6.已知向量a=(3x-1,4)与b=(1,2)共线,则实数x的值为________.
解析:因为向量a=(3x-1,4)与b=(1,2)共线,所以2(3x-1)-4×1=0,解得x=1.
答案:1
7.已知A(2,1),B(0,2),C(-2,1),O(0,0),给出下列结论:
①直线OC与直线BA平行;
②+=;
③+=;
④=-2.
其中,正确结论的序号为________.
解析:①因为=(-2,1),=(2,-1),所以=-,又直线OC,BA不重合,所以直线OC∥BA,所以①正确;②因为+=≠,所以②错误;③因为+=(0,2)=,所以③正确;④因为=(-4,0),-2=(0,2)-2(2,1)=(-4,0),所以④正确.
答案:①③④
8.对于任意的两个向量m=(a,b),n=(c,d),规定运算“⊗”为m⊗n=(ac-bd,bc+ad),运算“⊕”为m⊕n=(a+c,b+d).设m=(p,q),若(1,2)⊗m=(5,0),则(1,2)⊕m等于________.
解析:由(1,2)⊗m=(5,0),可得解得所以(1,2)⊕m=(1,2)⊕(1,-2)=(2,0).
答案:(2,0)
9.已知a=(1,0),b=(2,1).
(1)当k为何值时,ka-b与a+2b共线?
(2)若=2a+3b,=a+mb且A,B,C三点共线,求m的值.
解:(1)ka-b=k(1,0)-(2,1)=(k-2,-1),
a+2b=(1,0)+2(2,1)=(5,2).
因为ka-b与a+2b共线,
所以2(k-2)-(-1)×5=0,得k=-.
所以当k=-时,ka-b与a+2b共线.
(2)因为A,B,C三点共线,
所以=λ,λ∈R,
即2a+3b=λ(a+mb),
所以解得m=.
10.(1)已知A(-2,4),B(3,-1),C(-3,-4),且=3,=2,求M,N及的坐标;
(2)已知P1(2,-1),P2(-1,3),P在直线P1P2上,且||=||.求点P的坐标.
解:(1)法一:由A(-2,4),B(3,-1),C(-3,-4),可得=(-2,4)-(-3,-4)=(1,8),=(3,-1)-(-3,-4)=(6,3),所以=3=3(1,8)=(3,24),=2=2(6,3)=(12,6).
设M(x1,y1),N(x2,y2).
则=(x1+3,y1+4)=(3,24),=(x2+3,y2+4)=(12,6),
所以x1=0,y1=20,x2=9,y2=2,即M(0,20),N(9,2),
所以=(9,2)-(0,20)=(9,-18).
法二:设点O为坐标原点,
则由=3,=2,可得-=3(-),-=2(-),
从而=3-2,=2-,
所以=3(-2,4)-2(-3,-4)=(0,20),
=2(3,-1)-(-3,-4)=(9,2),
即点M(0,20),N(9,2),故=(9,2)-(0,20)=(9,-18).
(2)①当点P在线段P1P2上时,如图a:
则有=,设点P的坐标为(x,y),
所以(x-2,y+1)=(-1-x,3-y),
所以解得故点P的坐标为.
②当点P在线段P2P1的延长线上时,如图b:
则有=-,设点P的坐标为(x,y),
所以(x-2,y+1)=-(-1-x,3-y),
所以解得
故点P的坐标为(8,-9).
综上可得点P的坐标为或(8,-9).
[B 能力提升]
11.已知向量a=(1,0),b=(0,1),c=ka+b(k∈R),d=a-b,如果c∥d,那么( )
A.k=1且c与d同向
B.k=1且c与d反向
C.k=-1且c与d同向
D.k=-1且c与d反向
解析:选D.因为a=(1,0),b=(0,1),若k=1,则c=a+b=(1,1),d=a-b=(1,-1),显然,c与d不平行,排除A、B.若k=-1,则c=-a+b=(-1,1),d=a-b=-(-1,1),即c∥d且c与d反向.
12.已知向量a=(-2,3),b∥a,向量b的起点为A(1,2),终点B在坐标轴上,则点B的坐标为________.
解析:由b∥a,可设b=λa=(-2λ,3λ).设B(x,y),则=(x-1,y-2)=b.
由⇒
又B点在坐标轴上,
则1-2λ=0或3λ+2=0,
所以B或.
答案:或
13.如图所示,在四边形ABCD中,已知A(2,6),B(6,4),C(5,0),D(1,0),则直线AC与BD交点P的坐标为______.
解析:设P(x,y),则=(x-1,y),=(5,4),=(-3,6),=(4,0).
由B,P,D三点共线可得=λ=(5λ,4λ).
又因为=-=(5λ-4,4λ),
由与共线得,(5λ-4)×6+12λ=0.
解得λ=,
所以==,
所以P的坐标为.
答案:
14.(2019·江苏扬州中学第一学期阶段性测试)设=(2,-1),=(3,0),=(m,3).
(1)当m=8时,将用和表示;
(2)若A,B,C三点能构成三角形,求实数m应满足的条件.
解:(1)当m=8时,=(8,3),
设=x+y,则x(2,-1)+y(3,0)=(2x+3y,-x)=(8,3),
所以所以
所以=-3+.
(2)因为A,B,C三点能构成三角形,所以,不共线,又=(1,1),=(m-2,4),所以1×4-1×(m-2)≠0,所以m≠6.
[C 拓展探究]
15.已知平面上有A(-2,1),B(1,4),D(4,-3)三点,点C在直线AB上,且=,连接DC,点E在CD上,且=,求E点的坐标.
解:因为=,所以2=,
所以2+=+,
所以=.设C点坐标为(x,y),
则(x+2,y-1)=(-3,-3),所以x=-5,y=-2,
所以C(-5,-2).因为=,
所以4=,
所以4+4=5,所以4=5.
设E点坐标为(x′,y′),
则4(9,-1)=5(4-x′,-3-y′).
所以
解得
所以E点的坐标为.
高中数学人教A版 (2019)必修 第二册第六章 平面向量及其应用6.3 平面向量基本定理及坐标表示课时作业: 这是一份高中数学人教A版 (2019)必修 第二册<a href="/sx/tb_c4000292_t7/?tag_id=28" target="_blank">第六章 平面向量及其应用6.3 平面向量基本定理及坐标表示课时作业</a>,共13页。试卷主要包含了单选题,多选题,填空题,解答题等内容,欢迎下载使用。
数学必修 第二册第六章 平面向量及其应用6.3 平面向量基本定理及坐标表示综合训练题: 这是一份数学必修 第二册<a href="/sx/tb_c4000292_t7/?tag_id=28" target="_blank">第六章 平面向量及其应用6.3 平面向量基本定理及坐标表示综合训练题</a>,共9页。试卷主要包含了单选题,填空题,解答题等内容,欢迎下载使用。
高中数学人教A版 (2019)必修 第二册6.3 平面向量基本定理及坐标表示复习练习题: 这是一份高中数学人教A版 (2019)必修 第二册6.3 平面向量基本定理及坐标表示复习练习题,共3页。试卷主要包含了已知向量,,且与共线,,则,已知向量a=,b=等内容,欢迎下载使用。

