人教B版高中数学必修第三册章末综合测评+模块综合测评含答案
展开章末综合测评(二)
(时间:120分钟 满分:150分)
一、选择题(本大题共8小题,每小题5分,共40分.在每小题给出的四个选项中,只有一项是符合题目要求的)
1.若向量a=(3,m),b=(2,-1),a·b=0,则实数m的值为( )
A.- B.
C.2 D.6
D [a·b=6-m=0,∴m=6.]
2.设向量a=,若a的模长为,则cos 2α等于( )
A.- B.-
C. D.
A [∵|a|==,∴cos2α=.
∴cos2α=2cos2α-1=-.]
3.tan17°+tan 28°+tan 17°tan 28°等于( )
A.- B.
C.-1 D.1
D [tan 17°+tan 28°+tan 17°tan 28°
=tan (17°+28°)(1-tan 17°tan 28°)+tan 17°tan 28°
=1-tan 17°tan 28°+tan 17°tan 28°=1.]
4.若a,b是非零向量且满足(a-2b)⊥a,(b-2a)⊥b,则a与b的夹角θ是( )
A. B.
C. D.
B [因为a2-2a·b=0,b2-2a·b=0,
所以a2=b2=2a·b,|a|=|b|,
所以cos θ===,所以θ=.]
5.已知0<α<<β<π,又sin α=,cos (α+β)=-,则sin β等于( )
A.0 B.0或
C. D.±
C [因为0<α<<β<π且sin α=,cos (α+β)=-,所以cos α=,<α+β<π,
所以sin (α+β)=±,当sin (α+β)=时,
sin β=sin [(α+β)-α]=sin (α+β)cos α-cos (α+β)sin α=×-×=,
当sin (α+β)=-时,
sin β=sin [(α+β)-α]=sin (α+β)·cos α-cos (α+β)sin α=-×-×=0.
又β∈,所以sin β>0,故sin β=.]
6.若向量a=,b=(1,sin 75°),则a·b=( )
A.1 B.2
C.4 D.8
C [由向量a=,b=(1,sin 75°),
所以a·b=tan 15°+=+===4,故选C.]
7.设函数f(x)=a sin x cos x-2sin2x,若直线x=是f(x)图像的一条对称轴,则( )
A.f(x)的最小正周期为π,最大值为1
B.f(x)的最小正周期为π,最大值为2
C.f(x)的最小正周期为2π,最大值为1
D.f(x)的最小正周期为2π,最大值为2
A [f(x)=a sinx cos x-2sin2x=sin2x+cos 2x-1=·-1,
令cos θ=,sin θ=,则tan θ=,其中θ是参数,则f(x)=sin (2x+θ)-1,
则函数的最小正周期T==π,因为直线x=是f(x)图像的一条对称轴,
所以2×+θ=kπ+,即θ=kπ+,
则tan θ=tan =tan =,
即=,得a=2,则函数f(x)的最大值为-1=-1=-1=2-1=1,故选A.]
8.设α,β为钝角,且sin α=,cos β=-,则α+β的值为( )
A. B.
C. D.或
C [因为α,β为钝角,sin α=,
所以cos α=-
=-=-.
由cosβ=-,得
sin β===,
所以cos(α+β)=cos αcos β-sin αsin β
=×-×=.
又因为π<α+β<2π,所以α+β=.]
二、选择题(本大题共4小题,每小题5分,共20分,在每小题给出的四个选项中,有多项是符合题目要求的.全部选对的得5分,选对但不全的得2分,有选错的得0分)
9.下列计算正确的是( )
A.=1
B.1-2sin275°=
C.cos4-sin4=
D.cos275°+cos215°+cos75°cos 15°=
ACD [对于选项A,=tan45°=1;对于选项B,1-2sin275°=cos150°=-;对于选项C,cos4-sin4=
=cos=;对于选项D,原式=sin215°+cos215°+sin15°cos 15°=1+sin 30°=1+=.]
10.若函数y=sin cos +cos ·sin ,则( )
A.函数的周期为2π
B.函数的一个对称中心为
C.函数的一条对称轴为x=π
D.函数的值域为[-1,1]
ACD [y=sin cos -cos
sin =sin =sin
=cos x,故周期为2π,x=π是函数y=cos x的一条对称轴,值域为[-1,1].]
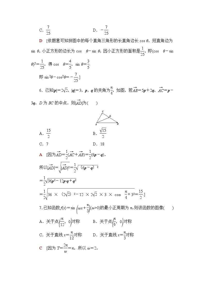
11.△ABC是边长为2的等边三角形,已知向量a,b满足=2a,=2a+b,则下列结论不正确的是( )
A.|b|=1 B.a⊥b
C.a·b=1 D.(4a+b)⊥
ABC [在△ABC中,由=-=2a+b-2a=b,得|b|=2.又|a|=1,所以a·b=|a||b|cos 120°=-1,所以(4a+b)·=(4a+b)·b=4a·b+|b|2=4×(-1)+4=0,所以(4a+b)⊥.]
12.已知锐角α,β满足sin α-cos α=,tan α+tan β+tan αtan β=,则( )
A.<α< B.β<<α
C.<α<β D.<β<α
AB [因为α为锐角,sin α-cos α=>0,
所以<α<.
又tan α+tan β+tan αtan β=,
所以tan (α+β)==,
所以α+β=,又α>,
所以β<<α.]
三、填空题(本大题共4小题,每小题5分,共20分,把答案填在题中横线上)
13.若2sin (π+x)-cos =1,则cos 2x=________.
[因为2sin (π+x)-cos =1,
所以-2sin x-sin x=1,
所以sin x=-,
所以cos 2x=1-2sin2x=.]
14.已知非零向量m,n满足4|m|=3|n|,若n⊥(-4m+n),则m,n夹角的余弦值为________
[因为非零向量m,n满足4|m|=3|n|,
n⊥(-4m+n),
所以|m|=|n|,且n·(-4m+n)=n2-4m·n=0,
即m·n=.
设m,n夹角为θ,则cosθ===.]
15.已知tan (α+β)=,tan =-2,则tan =________,tan (α+2β)=________.(本题第一空2分,第二空3分)
-8 [tan =tan =
==-8.
tan ==-2,tan β=-.
tan (α+2β)==.]
16.已知x∈,函数f(x)=2sin2+sin+3m,若f(x)<2恒成立,则m的取值范围是________.
[f(x)=2sin2+sin+3m=1-cos +cos 2x+3m
=3m+1-2sin ,
因为≤x≤,所以≤2x-≤π,则3m-1≤f(x)≤3m+1,
因为f(x)<2恒成立,所以3m+1<2,解得m<.
所以m的取值范围是.]
四、解答题(本大题共6小题,共70分.解答时应写出必要的文字说明、证明过程或演算步骤)
17.(本小题满分10分)已知向量a=(sin x,1),b=,其中x∈(0,π).
(1)若a∥b,求x的值;
(2)若tan x=-2,求|a+b|的值.
[解] (1)因为a∥b,所以sin x cos x=,
即sin 2x=1.
因为x∈(0,π),所以x=.
(2)因为tan x==-2,
所以sin x=-2cos x.
因为a+b=,
所以|a+b|=
==.
18.(本小题满分12分)已知向量a=(2cos α,2sin α),b=(cos α-sin α,cos α+sin α).
(1)求向量a与b的夹角;
(2)若(λb-a)⊥a,求实数λ的值.
[解] (1)|a|=2,|b|=,a·b=2cos2α-2sinαcos α+2sin αcos α+2sin2α=2,
所以cos〈a,b〉==.
又0≤〈a,b〉≤π,所以a与b的夹角为.
(2)因为(λb-a)⊥a,
所以(λb-a)·a=λa·b-a2=2λ-4=0,所以λ=2.
19.(本小题满分12分)(1)求值:.
(2)已知sin θ+2cos θ=0,求的值.
[解] (1)原式=
===2+.
(2)由sin θ+2cos θ=0,
得sin θ=-2cos θ,又cos θ≠0,
则tan θ=-2,
所以
=
=
=
=.
20.(本小题满分12分)已知函数f(x)=A sin(3x+φ)(A>0,x∈(-∞,+∞),0<φ<π)在x= 时取得最大值4.
(1)求f(x)的最小正周期;
(2)求f(x)的解析式;
(3)若f=,求sin α.
[解] (1)因为f(x)=A sin (3x+φ),所以T=,即f(x)的最小正周期为.
(2)因为当x=时,f(x)有最大值4,所以A=4.
所以4=4sin ,
所以sin =1.
即+φ=2kπ+,得φ=2kπ+(k∈Z).
因为0<φ<π,所以φ=.
所以f(x)=4sin .
(3)因为f=4sin
=4sin =4cos 2α.
由f=,得4cos 2α=,所以cos 2α=,
所以sin2α=(1-cos2α)=,
所以sin α=±.
21.(本小题满分12分)已知向量a=(sin x,1),b=(cos x,-1).
(1)若a∥b,求tan 2x的值;
(2)若f(x)=(a+b)·b,当x∈时,求函数f(x)的最大值.
[解] (1)因为向量a=(sin x,1),b=(cos x,-1),
又a∥b,所以1×cos x=-1×(sin x),
所以tan x=-,
所以tan 2x==-.
(2)因为f(x)=(a+b)·b,所以f(x)=sinx cos x+cos2x=sin2x+cos 2x+=sin +,因为x∈,
所以2x+∈,
当2x+=,即x=时,函数取最大值为.
22.(本小题满分12分)如图,四边形ABCD是边长为10的正方形,以点A为圆心,9为半径画弧,分别交AB,AD于点E,F,P为上一动点,过点P分别作PM⊥BC,PN⊥CD,垂足分别为M,N,求矩形PMCN的面积的最小值.
[解] 连接PA,设∠PAE=θ,如图所示.
设矩形PMCN的面积为S,延长NP交AB于点H,
则PM=HB=AB-AH=10-9cos θ,
PN=HN-HP=10-9sin θ.
所以S=PM·PN
=(10-9cos θ)(10-9sin θ)
=100-90sin θ-90cos θ+81sin θcos θ.
设sin θ+cos θ=t.
则S=100-90t+(t2-1)
=t2-90t+
=+.
因为θ∈,
所以t=sin θ+cos θ=sin ∈[1,],
所以当t=时,Smin=,
故矩形PMCN的面积的最小值为.
人教B版高中数学必修第二册章末综合测评+模块综合测评含答案: 这是一份人教B版 (2019)全册综合一课一练,文件包含人教B版高中数学必修第二册章末综合测评2统计与概率含答案doc、人教B版高中数学必修第二册模块综合测评含答案doc、人教B版高中数学必修第二册章末综合测评3平面向量初步含答案doc、人教B版高中数学必修第二册章末综合测评1指数函数对数函数与幂函数含答案doc等4份试卷配套教学资源,其中试卷共42页, 欢迎下载使用。
苏教版高中数学必修第二册章末综合测评+模块综合测评含答案: 这是一份苏教版高中数学必修第二册章末综合测评+模块综合测评含答案,文件包含苏教版高中数学必修第二册模块综合测评含答案doc、苏教版高中数学必修第二册章末综合测评2三角恒等变换含答案doc、苏教版高中数学必修第二册章末综合测评5立体几何初步含答案doc、苏教版高中数学必修第二册章末综合测评6统计含答案doc、苏教版高中数学必修第二册章末综合测评3解三角形含答案doc、苏教版高中数学必修第二册章末综合测评1平面向量含答案doc、苏教版高中数学必修第二册章末综合测评7概率含答案doc、苏教版高中数学必修第二册章末综合测评4复数含答案doc等8份试卷配套教学资源,其中试卷共95页, 欢迎下载使用。
人教B版高中数学必修第四册章末综合测评+模块综合测评含答案: 这是一份人教B版高中数学必修第四册章末综合测评+模块综合测评含答案,文件包含人教B版高中数学必修第四册章末综合测评3含答案doc、人教B版高中数学必修第四册模块综合测评含答案doc、人教B版高中数学必修第四册章末综合测评1含答案doc、人教B版高中数学必修第四册章末综合测评2含答案doc等4份试卷配套教学资源,其中试卷共45页, 欢迎下载使用。

