【最新版】高中数学(新苏教版)习题+同步课件章末检测卷(七)
展开章末检测卷(七)
(时间:120分钟 满分:150分)
第7章 三角函数
一、单项选择题(本大题共8小题,每小题5分,共40分.在每小题给出的四个选项中只有一项符合题目要求)
A
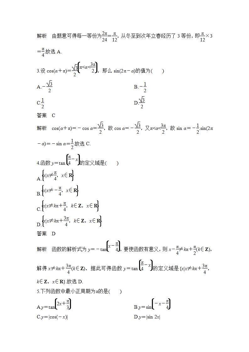
2.英国浪漫主义诗人Shelley(雪莱)在《西风颂》结尾写道“If Winter comes,can Spring be far behind?”春秋战国时期,为指导农耕,我国诞生了表示季节变迁的24节气.它将黄道(地球绕太阳按逆时针方向公转的轨道,可近似地看作圆)分为24等份,每等份为一个节气.2020年12月21日为冬至,经过小寒和大寒后,便是立春.则从冬至到次年立春,地球公转的弧度数约为( )
A
C
D
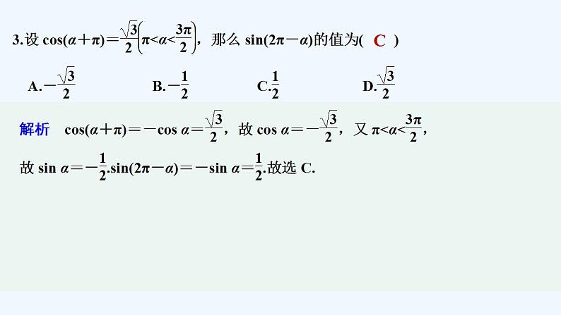
C
C
D
D
二、多项选择题(本大题共4小题,每小题5分,共20分.在每小题给出的四个选项中有多项符合题目要求,全部选对得5分,选对但不全的得2分,有选错的不得分)9.下列命题中正确的是( )
ACD
10.下列结论正确的有( )
ABD
D项:sin2(15°-α)+sin2(75°+α)=cos2(75°+α)+sin2(75°+α)=1,对α恒成立,D正确.故选ABD.
BC
AC
三、填空题(本大题共4小题,每小题5分,共20分,把答案填在题中的横线上)13.若sin θ,cos θ是方程4x2+2mx+m=0的两根,则m的值为________.
四、解答题(本大题共6小题,共70分.解答应写出文字说明、证明过程或演算步骤)
(2)求△MOQ的面积S.
解 (五点法作图)列表:
描点,连线,可得图象如图,
21.(12分)弹簧振子的振动是简谐振动.某个弹簧振子在完成一次全振动的过程中,时间t(单位:s)与位移y(单位:mm)之间的对应数据记录如下表:
(1)试根据这些数据确定这个振子的位移y(单位:mm)关于时间t(单位:s)的函数解析式;
解 设函数解析式为y=Asin(ωt+φ),其中A>0,ω>0,t≥0,
由函数图象过点(0,-20),则-20=20sin φ,即sin φ=-1,
(2)画出该函数在t∈[0,0.6]的函数图象;
解 列表:
(3)当t∈[0,0.6]时,求位移为10 mm时t的取值集合.
又t∈[0,0.6],则t为0.2,0.4,所以当t∈[0,0.6]时,位移为10 mm时t的取值集合为{0.2,0.4}.
(1)根据表格提供的数据求函数f(x)的解析式;
【最新版】高中数学(新苏教版)习题+同步课件章末检测卷(五): 这是一份【最新版】高中数学(新苏教版)习题+同步课件章末检测卷(五),文件包含章末检测卷五pptx、章末检测卷五doc等2份课件配套教学资源,其中PPT共36页, 欢迎下载使用。
【最新版】高中数学(新苏教版)习题+同步课件章末检测卷(三): 这是一份【最新版】高中数学(新苏教版)习题+同步课件章末检测卷(三),文件包含章末检测卷三pptx、章末检测卷三doc等2份课件配套教学资源,其中PPT共33页, 欢迎下载使用。
【最新版】高中数学(新苏教版)习题+同步课件章末检测卷(六): 这是一份【最新版】高中数学(新苏教版)习题+同步课件章末检测卷(六),文件包含章末检测卷六pptx、章末检测卷六doc等2份课件配套教学资源,其中PPT共36页, 欢迎下载使用。

