- 人教A版(2019年)高一数学必修一上册--5.2三角函数的概念 5.2.1三角函数的概念(课件) 课件 0 次下载
- 人教A版(2019年)高一数学必修一上册--5.2三角函数的概念 5.2.2同角三角函数的基本关系(课件) 课件 0 次下载
- 人教A版(2019年)高一数学必修一上册--5.4三角函数的图象与性质-5.4.3正切函数的性质与图象(课件) 课件 0 次下载
- 人教A版(2019年)高一数学必修一上册--5.4三角函数的图象与性质5.4.1正弦函数、余弦函数的图象(课件) 课件 0 次下载
- 人教A版(2019年)高一数学必修一上册--5.4三角函数的图象与性质5.4.2正弦函数、余弦函数的性质(课件) 课件 0 次下载
高中数学人教A版 (2019)必修 第一册5.3 诱导公式教课内容课件ppt
展开1. 理解五组三角函数的诱导公式.( 重点)2. 会用单位圆和三角函数的定义使用数形结合思想推导诱导公式.( 难点)3.会利用诱导公式结合三角函数的定义、同角三角函数的基本关系式化简和证明三角函数式的有关问题( 难点)
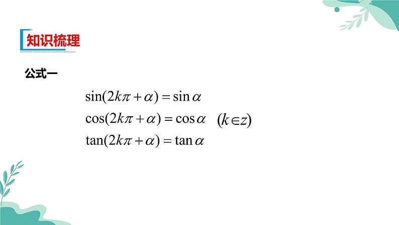
函数名不变,符号看象限
题组一 利用诱导公式求值<1>知角求值
利用诱导公式求值的基本步骤(1)“负化正”——用公式一或三来转化;(2)“大化小”——用公式一将角转化为0°到360°之间的角;(3)“小化锐”——用公式二或四将大于90°的角转化为锐角;(4)“锐求值”——求锐角三角函数值.简记为负化正,大化小,化成锐角再求值.
训练题 1.sin 945°的值为( )
题型二 利用诱导公式化简或证明
利用诱导公式化简的策略在对给定的式子进行化简或求值时,要注意给定的角之间存在的特定关系,充分利用给定的关系结合诱导公式将角的三角函数进行转化.特别要注意每一个角所在的象限,防止符号及三角函数名称搞错.
题型三 诱导公式与同角三角函数基本关系式的综合
化简求值应注意以下几点1. 充分观察三角函数式中各个角的内在联系.利用诱导公式化任意角的三角函数为锐角三角函数,步骤:去负号脱周期化锐角.要特别注意函数名称和符号的确定.2.判断两个三角函数值的差的符号,一般先化为同名三角函数值,再结合单位圆中的三角函数线加以确定.3.在利用同角三角函数的平方关系时,若开方,则要特别注意判断符号.4.注意求值与化简后的结果要尽可能有理化、整式化.
题型四 诱导公式在三角形中的应用
人教A版 (2019)必修 第一册5.3 诱导公式优质课课件ppt: 这是一份人教A版 (2019)必修 第一册5.3 诱导公式优质课课件ppt,共12页。
高中数学人教A版 (2019)必修 第一册5.3 诱导公式精品课件ppt: 这是一份高中数学人教A版 (2019)必修 第一册5.3 诱导公式精品课件ppt,共12页。
人教A版 (2019)必修 第一册5.3 诱导公式精品课件ppt: 这是一份人教A版 (2019)必修 第一册5.3 诱导公式精品课件ppt,共35页。

