还剩15页未读,
继续阅读
所属成套资源:全套新人教B版高中数学选择性必修第一册教学PPT课件
成套系列资料,整套一键下载
高中人教B版 (2019)2.3.2 圆的一般方程授课课件ppt
展开
这是一份高中人教B版 (2019)2.3.2 圆的一般方程授课课件ppt,共23页。
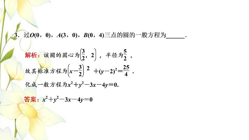
2.3.2 圆的一般方程
相关课件
高中数学人教B版 (2019)选择性必修 第一册2.3.2 圆的一般方程课前预习课件ppt:
这是一份高中数学人教B版 (2019)选择性必修 第一册2.3.2 圆的一般方程课前预习课件ppt,共34页。PPT课件主要包含了新知初探·自主学习,课堂探究·素养提升,D2+E2-4F>0,答案B,答案原点O在圆外,答案C等内容,欢迎下载使用。
人教B版 (2019)选择性必修 第一册2.3.1 圆的标准方程课堂教学ppt课件:
这是一份人教B版 (2019)选择性必修 第一册2.3.1 圆的标准方程课堂教学ppt课件,共34页。
高中数学人教B版 (2019)选择性必修 第一册2.1 坐标法图文课件ppt:
这是一份高中数学人教B版 (2019)选择性必修 第一册2.1 坐标法图文课件ppt,共27页。

