第14讲 指数与指数幂的运算-【新教材】2022新高一同步(初升高)衔接讲义(原卷+解析)
展开第14讲 指数与指数幂的运算
- 根式
(1)根式的概念:如果存在实数,使得,那么称为的次方根.式子叫做根式,其中叫做根指数,叫做被开方数.
(2)根式的性质
①当为奇数时,有 ; ②当为偶数时,有 ;
③负数没有偶次方根 ; ④零的任何正次方根都是零 ;
- 幂的有关概念
(1)正整数指数幂的定义:
(2)零指数幂 1 ;
(3)负整数指数幂 ;
(4)正分数指数幂 ;
(5)负分数指数幂 ;
(6)0的正分数指数幂等于 0 ,0的负分数指数幂 无意义 .
3.有理指数幂的运算性质
(1) ; (2) ;
(3)
例1.利用分数指数幂和根式的转化求下列各式的值.
(1) ; (2) ; (3); (4) .
例2.用分数指数幂的形式表示下列各式.
(1); (2) ; (3) .
例3.求下列各式的值.
(1) ; (2) ; (3) ;
(4); (5) ; (6).
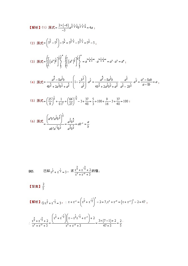
例4.化简求值.
(1); (2);
(3) ; (4) ;
(5); (6) .
例5. 已知,求的值;
例6.已知,其中,试用将下列各式分别表示出来:
(1) ; (2) .
跟踪训练
- 下列各式中成立的是( )
A. B. C. D.
- 计算的结果是( )
A. B. C. D.
- 若,则的值为( )
A.2 B.3 C.2或3 D.2或
- 若,则化简的结果是( )
A. B. C. D.
- 若,则实数满足 ( )
A. B. C. D.
- 已知,则 ( )
A. B. C. 1 D.无答案
- 若,则 .
- 计算化简:
(1) ;
(2) .
- 已知 ,求的值.
- 已知,且,求.

