高中数学人教版新课标A必修4第一章 三角函数1.2 任意的三角函数图片ppt课件
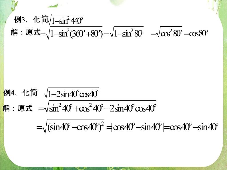
展开1.2.2同角三角函数的基本关系式教学目的:1、能根据三角函数的定义导出同角三角函数的基本关系式;2、掌握三种基本关系式之间的联系;3、熟练掌握已知一个角的三角函数值求其它三角函数值的方法;4、根据三角函数关系式进行三角式的化简和证明。教学重点、难点:重点:三角函数基本关系式的推导、记忆及应用。 难点:如何运用公式对三角式进行化简和证明。 三角函数的定义有何联系?讲授新课: 同角三角函数关系式:平方关系:商数关系:倒数关系:典型例题 例5.求证:证明:因此作差法证法二:因为因此由原题知:恒等变形的条件证法三:由原题知:则原式左边==右边因此恒等变形的条件四、课堂练习P23练习题1、2、3、4、5小结:1.同角三角函数基本关系式及成立的条件;2.根据一个角的某一个三角函数值求其它三角函数值;3.在以上的题型中:先确定角的终边位置,再根据关系式求值。如已知正弦或余弦,则先用平方关系,再用其它关系求值;若已知正切或余切,则可构造方程组来求值。4.运用同角三角函数关系式化简、证明。常用的变形措施有:大角化小,切割化弦等。 P24习题 A组 第10、11、12题 B组 第2、3题六、课后作业:
2021学年1.1 任意角和弧度制说课课件ppt: 这是一份2021学年1.1 任意角和弧度制说课课件ppt
高中数学人教版新课标A必修41.2 任意的三角函数教课内容课件ppt: 这是一份高中数学人教版新课标A必修41.2 任意的三角函数教课内容课件ppt
高中数学人教版新课标A必修41.2 任意的三角函数说课课件ppt: 这是一份高中数学人教版新课标A必修41.2 任意的三角函数说课课件ppt

