高中数学人教A版 (2019)必修 第二册6.2 平面向量的运算课前预习课件ppt
展开向量的数乘运算的的结果是向量
平面向量的数量积的定义
平面向量的数量积结果是数量
探究:类比数的乘法运算律,结合向量的线性运算的运算律,你能得到数量积运算的哪些运算律?你能证明吗?
自己证明(1) (2)
设 方向相同的单位向量为 ,则
∴ 向量数量积不满足结合律 .
思考:向量的数量积满足结合律 吗?
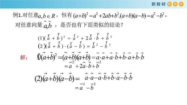
例1.对任意 ,恒有 , 对任意向量 ,是否也有下面类似的结论?
例3.已知 且 与 不共线,当k取何值时,向量 与 互相垂直?
解: 与 互相垂直的充要条件是
所以,当 时, 与 互相垂直。
高中数学人教A版 (2019)必修 第二册第六章 平面向量及其应用6.2 平面向量的运算获奖ppt课件: 这是一份高中数学人教A版 (2019)必修 第二册第六章 平面向量及其应用6.2 平面向量的运算获奖ppt课件,共60页。
人教A版 (2019)必修 第二册第六章 平面向量及其应用6.4 平面向量的应用教学课件ppt: 这是一份人教A版 (2019)必修 第二册第六章 平面向量及其应用6.4 平面向量的应用教学课件ppt,共58页。PPT课件主要包含了学习目标,常考题型,训练题,已知三边解三角形,测量高度问题,例10,例11,例12等内容,欢迎下载使用。
高中数学人教A版 (2019)必修 第二册7.2 复数的四则运算图文课件ppt: 这是一份高中数学人教A版 (2019)必修 第二册7.2 复数的四则运算图文课件ppt,共17页。PPT课件主要包含了交换律,结合律,⑴z2+3i,⑶z3,⑵z-6i,2-3i,复数的除法法则,分母实数化,整体代入妙等内容,欢迎下载使用。

