第三章 3.1导数的概念-2021届高三数学一轮基础复习讲义(学生版+教师版)【机构专用】
展开
判断下列结论是否正确(请在括号中打“√”或“×”)
(1)f′(x0)是函数y=f(x)在x=x0附近的平均变化率.( )
(2)f′(x0)与[f(x0)]′表示的意义相同.( )
(3)曲线的切线不一定与曲线只有一个公共点.( )
(4)与曲线只有一个公共点的直线一定是曲线的切线.( )
(5)函数f(x)=sin(-x)的导数是f′(x)=cos x.( )
无
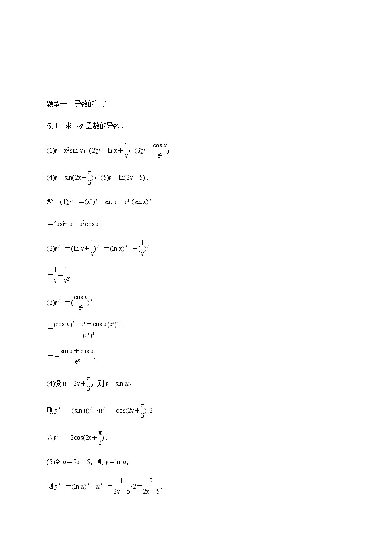
题型一 导数的计算
例1 求下列函数的导数.
(1)y=x2sin x;(2)y=ln x+;(3)y=;
(4)y=sin(2x+);(5)y=ln(2x-5).
(1)f(x)=x(2 016+ln x),若f′(x0)=2 017,则x0等于( )
A.e2 B.1
C.ln 2 D.e
(2)若函数f(x)=ax4+bx2+c满足f′(1)=2,则f′(-1)等于( )
A.-1 B.-2
C.2 D.0
题型二 导数的几何意义
命题点1 求切线方程
例2 (1)已知f(x)为偶函数,当x<0时,f(x)=ln(-x)+3x,则曲线y=f(x)在点(1,-3)处的切线方程是________.
(2)已知函数f(x)=xln x,若直线l过点(0,-1),并且与曲线y=f(x)相切,则直线l的方程为( )
A.x+y-1=0 B.x-y-1=0
C.x+y+1=0 D.x-y+1=0
命题点2 求参数的值
例3 函数y=ex的切线方程为y=mx,则m=________.
(2)已知f(x)=ln x,g(x)=x2+mx+(m<0),直线l与函数f(x),g(x)的图象都相切,与f(x)图象的切点为(1,f(1)),则m等于( )
A.-1 B.-3 C.-4 D.-2
命题点3 导数与函数图象的关系
例4 如图,点A(2,1),B(3,0),E(x,0)(x≥0),过点E作OB的垂线l.记△AOB在直线l左侧部分的面积为S,则函数S=f(x)的图象为下图中的( )
(1)已知曲线y=-3ln x的一条切线的斜率为,则切点的横坐标为( )
A.3 B.2 C.1 D.
(2)设曲线y=在点(,1)处的切线与直线x-ay+1=0平行,则实数a等于( )
A.-1 B. C.-2 D.2
1.导数与导函数的概念
(1)一般地,函数y=f(x)在x=x0处的瞬时变化率是 = ,我们称它为函数y=f(x)在x=x0处的导数,记作f′(x0)或y′|x=x0,即f′(x0)= = .
(2)如果函数y=f(x)在开区间(a,b)内的每一点处都有导数,其导数值在(a,b)内构成一个新函数,这个函数称为函数y=f(x)在开区间内的导函数.记作f′(x)或y′.
2.导数的几何意义
函数y=f(x)在点x0处的导数的几何意义,就是曲线y=f(x)在点P(x0,f(x0))处的切线的斜率k,即k=f′(x0).
3.基本初等函数的导数公式
基本初等函数 | 导函数 |
f(x)=c(c为常数) | f′(x)=0 |
f(x)=xα(α∈Q*) | f′(x)=αxα-1 |
f(x)=sin x | f′(x)=cos_x |
f(x)=cos x | f′(x)=-sin_x |
f(x)=ex | f′(x)=ex |
f(x)=ax(a>0,a≠1) | f′(x)=axln_a |
f(x)=ln x | f′(x)= |
f(x)=logax(a>0,a≠1) | f′(x)= |
4.导数的运算法则
若f′(x),g′(x)存在,则有
(1)[f(x)±g(x)]′=f′(x)±g′(x);
(2)[f(x)·g(x)]′=f′(x)g(x)+f(x)g′(x);
(3)[]′=(g(x)≠0).
5.复合函数的导数
复合函数y=f(g(x))的导数和函数y=f(u),u=g(x)的导数间的关系为yx′=yu′·ux′,即y对x的导数等于y对u的导数与u对x的导数的乘积.
【知识拓展】
(1)奇函数的导数是偶函数,偶函数的导数是奇函数,周期函数的导数还是周期函数.
(2)[]′=-(f(x)≠0).
(3)[af(x)+bg(x)]′=af′(x)+bg′(x).
(4)函数y=f(x)的导数f′(x)反映了函数f(x)的瞬时变化趋势,其正负号反映了变化的方向,其大小|f′(x)|反映了变化的快慢,|f′(x)|越大,曲线在这点处的切线越“陡”.
典例 若存在过点O(0,0)的直线l与曲线y=x3-3x2+2x和y=x2+a都相切,求a的值.
1.若f(x)=x·ex,则f′(1)等于( )
A.0 B.e C.2e D.e2
2.如图所示为函数y=f(x),y=g(x)的导函数的图象,那么y=f(x),y=g(x)的图象可能是( )
3.设函数f(x)的导数为f′(x),且f(x)=f′()sin x+cos x,则f′()=________.
4.曲线y=-5ex+3在点(0,-2)处的切线方程是________________.
1.若f(x)=2xf′(1)+x2,则f′(0)等于( )
A.2 B.0 C.-2 D.-4
2.若曲线f(x)=x4-x在点P处的切线平行于直线3x-y=0,则点P的坐标为( )
A.(-1,2) B.(1,-3)
C.(1,0) D.(1,5)
3.若直线y=x是曲线y=x3-3x2+px的切线,则实数p的值为( )
A.1 B.2 C. D.1或
4.已知曲线y=ln x的切线过原点,则此切线的斜率为( )
A.e B.-e C. D.-
5.已知y=f(x)是可导函数,如图,直线y=kx+2是曲线y=f(x)在x=3处的切线,令g(x)=xf(x),g′(x)是g(x)的导函数,则g′(3)等于( )
A.-1 B.0 C.2 D.4
6.已知函数f(x)=+1,g(x)=aln x,若在x=处函数f(x)与g(x)的图象的切线平行,则实数a的值为( )
A. B. C.1 D.4
7.已知函数f(x)满足f(x)=f′(1)ex-1-f(0)x+x2.那么f(x)的解析式为________.
8.曲线y=log2x在点(1,0)处的切线与坐标轴所围成三角形的面积等于________.
9.若函数f(x)=x2-ax+ln x存在垂直于y轴的切线,则实数a的取值范围是________.
*10.已知曲线f(x)=xn+1(n∈N*)与直线x=1交于点P,设曲线y=f(x)在点P处的切线与x轴交点的横坐标为xn,则log2 016x1+log2 016x2+…+log2 016x2 015的值为________.
11.已知曲线y=x3+.
(1)求曲线在点P(2,4)处的切线方程;
(2)求曲线过点P(2,4)的切线方程.
12.已知函数f(x)=x3-2x2+3x(x∈R)的图象为曲线C.
(1)求过曲线C上任意一点切线斜率的取值范围;
(2)若在曲线C上存在两条相互垂直的切线,求其中一条切线与曲线C的切点的横坐标的取值范围.
*13.设函数f(x)=ax-,曲线y=f(x)在点(2,f(2))处的切线方程为7x-4y-12=0.
(1)求f(x)的解析式;
(2)证明:曲线y=f(x)上任一点处的切线与直线x=0和直线y=x所围成的三角形的面积为定值,并求此定值.
第九章 9.5椭圆-2021届高三数学一轮基础复习讲义(学生版+教师版)【机构专用】: 这是一份第九章 9.5椭圆-2021届高三数学一轮基础复习讲义(学生版+教师版)【机构专用】,文件包含第九章95椭圆-学生版docx、第九章95椭圆-教师版docx等2份学案配套教学资源,其中学案共40页, 欢迎下载使用。
第十一章 11.2古典概率-2021届高三数学一轮基础复习讲义(学生版+教师版)【机构专用】: 这是一份第十一章 11.2古典概率-2021届高三数学一轮基础复习讲义(学生版+教师版)【机构专用】,文件包含第十一章112古典概率-学生版docx、第十一章112古典概率-教师版docx等2份学案配套教学资源,其中学案共27页, 欢迎下载使用。
第五章 5.5复数-2021届高三数学一轮基础复习讲义(学生版+教师版)【机构专用】: 这是一份第五章 5.5复数-2021届高三数学一轮基础复习讲义(学生版+教师版)【机构专用】,文件包含第五章55复数-学生版docx、第五章55复数-教师版docx等2份学案配套教学资源,其中学案共27页, 欢迎下载使用。

