专题2.6 欲证不等恒成立,差值函数求值域-2020届高考数学压轴题讲义(解答题)(解析版)
展开【题型综述】
利用导数解决不等式恒成立问题的策略:
构造差函数.根据差函数导函数符号,确定差函数单调性,利用单调性得不等量关系,进而证明不等式.
具体做法如下:
首先构造函数,利用导数研究函数的单调性,求出最值,进而得出相应含参不等式,从而求出参数的取值范围,也可以分离变量,构造函数,直接把问题转化为函数的最值问题.
证明,时,可以构造函数,如果,则在上是减函数,同时若,由减函数的定义可知,当时,有,即证明.
【典例指引】
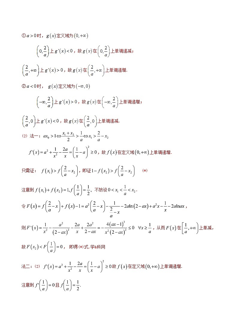
例1.已知函数,为其导函数.
(1) 设,求函数的单调区间;
(2) 若,设,为函数图象上不同的两点,且满足,设线段中点的横坐标为 证明:.
【思路引导】
(1)求出函数的导数,通过讨论的范围,得增区间,得减区间即可;(2)问题转化为证明令
,根据函数单调性证明即可.
(2) 法一:
,故在定义域上单调递增.
只需证: ,即证 (*)
注意到 不妨设.
令,
则 ,从而在上单减,
故, 即得(*)式.学&科网
法二:(2) 故在定义域上单调递增.
注意到且
故,且等号仅在处取到. 所以与图象关系如下:
取,则显然有, 从而,
另外由三次函数的中心对称性可知,则有 .学&科网
点评:本题主要考查利用导数研究函数的单调性、分类讨论思想及不等式证明问题.属于难题.分类讨论思想解决高中数学问题的一种重要思想方法,是中学数学四种重要的数学思想之一,尤其在解决含参数问题发挥着奇特功效,大大提高了解题能力与速度.运用这种方法的关键是将题设条件研究透,这样才能快速找准突破点. 充分利用分类讨论思想方法能够使问题条理清晰,进而顺利解答,希望同学们能够熟练掌握并应用与解题当中.
例2.已知定义域为的函数存在两个零点.
(1)求实数的取值范围;[来源:学+科+网Z+X+X+K]
(2)若,求证:.
【思路引导】
(1)分离参数得,借助函数的图象进行求解;(2)由于,则在区间上单调递增, ,故只需证明即可.由题知且,不妨设,则,构造,只需证明即可,利用导数的知识可求解.
又,学&科网
∴,
又,
∴ ,即,
∴,
∵在区间上单调递增,
∴,得证.学&科网
点评:解答时注意以下两点:(1)涉及已知函数零点的个数求参数的问题,可通过分析所给函数的特点采用分离参数的方法利用数形结合求解.(2)比较大小时,可通过构造函数,利用函数的单调性和函数值的大小关系处理,在解题中多次构造函数处理问题.
例3.已知函数.
(1)求函数的单调区间;
(2)若关于的不等式恒成立,证明:且.
【思路引导】
(1)求导,令和,求得函数单调区间(2)构造函数令,求导后分类讨论,利用单调性证明.
点评:关于含参量恒成立问题有两种方法,分离含参量和带参量计算,本题构造新函数,带有参量一起求导,判定新函数的单调性,求得最大值时恒小于或等于零,即可证得结论.
【新题展示】
1.【2019福建三明期末】已知函数.
(1)求证:;
(2)若关于的不等式恒成立,求实数的取值范围.
【思路引导】
(1) 令,求出函数的最大值即可;
(2) 不等式恒成立,即恒成立,令,研究函数的单调性与极值即可.
【解析】
(2)因为不等式恒成立,即恒成立,
令,则,[来源:学科网]
令,则.
则在上单调递减,在上单调递增,
故只需,即,
令,单调性与(1)中一致,
即在上单调递增,在上单调递减,又,
所以,即.
2.【2019陕西渭南质检】已知函数为常数的图象与y轴交于点A,曲线在点A处的切线斜率为.
(1)求a的值及函数的单调区间;
(2)设,证明:当时,恒成立.
【思路引导】
(1)利用导数的几何意义是曲线在切点处切线的斜率可得a=3,然后根据导函数的符号可得单调区间;
(2)将所证不等式转化为ex﹣x2﹣1>0,然后构造函数h(x)=ex﹣x2﹣1(x>0),通过两次求导可证不等式.
【解析】
(2)证明:当时,,
令,
则,
,
当时,,递减;
当时,,递增,
在上单调递增,
,
,
当时,.
3.【2019北京丰台区上学期期末】已知函数.
(1)求曲线在点处的切线方程;
(2)求证:当时,.
【思路引导】
(1)先求得点的坐标,和切线的斜率,利用点斜式求出切线方程;
(2)先证明,利用单调性求出f(x)的最小值;再证明,构造新函数构造函数,判断出单调性求最值得证.
【解析】
证明:2先证明,
,是增函数,
,
构造函数,
,,
递减,即,
递减,,
,
当时,.
4.【2019广东东莞上学期期末调研】已知函数,(且为常数).
(1)当时,求函数的最小值;
(2)若对任意都有成立,求实数的取值范围.
【思路引导】
(1)当时,先求得函数的定义域,然后对函数求导,由此求得函数的单调区间,并求得最小值.(2)构造函数,将原不等式恒成立问题,转化为来求解.利用的导数,研究函数的单调性,求得的最小值,令这个最小大于或等于零,求得的取值范围.
【解析】
(2)令
那么,对于任意都有,只须即可,
,且
记
由已知,所以对于任意,都有恒成立,
又因为,所以在上单调递增,
所以,,
由,解得,
所以,当时,对任意都有成立.
5.【2019北京房山区上学期期末】已知函数
(1)求函数的单调区间;
(2)设实数使得对恒成立,求的取值范围.
【思路引导】
(1),列出极值表即可求解; (2), 令,,讨论三种情况时g(x)的单调性,求得最小值即可解决.
【解析】
(1)的定义域是,
,
由解得,
与在区间上的情况如下:
0 | |||
增 | 极大 | 减 |
所以函数的单调增区间是,单调减区间是.
②当时,令,则,,
令,则,,
所以函数的单调减区间是,单调增区间是.
所以当时,函数有最小值,
由即解得.
6.【2019湖北四地七校联考】已知,设,且,记;
(1)设,其中,试求的单调区间;
(2)试判断弦的斜率与的大小关系,并证明;
(3)证明:当时,.
【思路引导】
(1)(),对其求导,讨论的范围即可判断的单调区间;(2),,二者作差,,令,构造函数,通过求导可判断的单调性,从而可得到,即可判断;(3)当时,原不等式等价于,由(2)知,即证,转化为,构造函数,通过求导可判断它的单调性进而得到,从而证明了结论。
【解析】
(2),,
则,
令,则,
令,,
而,则在单调递增,且恒为正,
又因为,所以,即.
(3)当时,原不等式等价于,由(2)知,即证,转化为.
令,,
令,则,
当时,,故在上单调递增,
则,故在上单调递增,
则,故时,成立,即当时,.
【同步训练】
1.设函数f(x)=lnx+ax2+x+1.
(I)a=﹣2时,求函数f(x)的极值点;
(Ⅱ)当a=0时,证明xex≥f(x)在(0,+∞)上恒成立.
【思路引导】
(1)求导数判断函数的单调性,通过单调性求极值点;(2)当a=0时构造函数F(x)=xex﹣f(x)=xex﹣lnx﹣x﹣1,(x>0),只要证明F(x)≥=0即可.
(Ⅱ)证明:当a=0时,f(x)=lnx+x+1
令F(x)=xex﹣f(x)=xex﹣lnx﹣x﹣1,(x>0),[来源:学科网]
则F′(x)= •(xex﹣1),
令G(x)=xex﹣1,[来源:Zxxk.Com]
则G′(x)=(x+1)ex>0,(x>0),
∴函数G(x)在(0,+∞)递增,
又G(0)=﹣1<0,G(1)=e﹣1>0,[来源:学科网]
∴存在唯一c∈(0,1)使得G(c)=0,
且F(x)在(0,c)上单调递减,在(c,+∞)上单调递增,
故F(x)≥F(c)=c•ec﹣lnc﹣c﹣1,
由G(c)=0,得c•ec﹣1=0,得lnc+c=0,
∴F(c)=0,[来源:Z。xx。k.Com]
∴F(x)≥F(c)=0,
从而证得xex≥f(x).学&科网
点评:在本题(Ⅱ)的解答中,为了求F(x)的 最小值,通过求导得到F′(x)= •(xex﹣1),不容易判断F(x)的单调性,故构造G(x)=xex﹣1,采用二次求导的方法,在求G(x)零点的过程中遇到了零点不可求的问题,此类问题的解法是利用G(x)的单调性和零点存在定理,判断零点所在的范围,然后理通过整体代换的方法求函数F(x)的最值,这是解决函数综合问题中常用的一种方法.
2.已知函数与.
(1)若曲线与直线恰好相切于点,求实数的值;
(2)当时, 恒成立,求实数的取值范围;
(3)求证:
【思路引导】
(1)根据导数几何意义得,即得实数的值;(2)利用分参法将不等式恒成立问题转化为对应函数最值问题(x>1)最大值,再利用导数研究函数单调性:单调递减,最后根据洛必达法则求最大值,即得实数的取值范围(3)先根据和的关系转化为对应项的关系:,再利用;(2)的结论,令,则代入放缩得证
(3)不妨设为前项和,则
要证原不等式,只需证
而由(2)知:当时恒有
即当且仅当时取等号
取,则
即即
即成立,从而原不等式获证.学&科网
点评:对于求不等式成立时的参数范围问题,在可能的情况下把参数分离出来,使不等式一端是含有参数的不等式,另一端是一个区间上具体的函数,这样就把问题转化为一端是函数,另一端是参数的不等式,便于问题的解决.但要注意分离参数法不是万能的,如果分离参数后,得出的函数解析式较为复杂,性质很难研究,就不要使用分离参数法.
3.已知函数.[来源:学#科#网Z#X#X#K]
(1)若是函数的极值点,求曲线在点处的切线方程;
(2)若函数在上为单调增函数,求的取值范围;
(3)设为正实数,且,求证: .
【思路引导】
(1)求出导数,由题意可得代入可得,可得切线的斜率和切点,进而得到切线的方程;(2)由函数在上为增函数,可得恒成立,既有,当时, ,求得右边函数的最小值,即可得到范围;(3)运用分析法证明,要证,只需证,即证,设,求出导数判断单调性,运用单调递增,即可得证.
时,有最小值,所以的取值范围是
(3)要证,只需证,
即证只需证
设,由(2)知在上是单调函数,又,
所以,即成立,所以.学&科网
点评:本题主要考查利用导数求曲线切线以及利用导数研究函数的单调性、证明不等式,属于难题.求曲线切线方程的一般步骤是:(1)求出在处的导数,即在点 出的切线斜率(当曲线在处的切线与轴平行时,在 处导数不存在,切线方程为);(2)由点斜式求得切线方程.
4.已知函数,(为常数,其中是自然对数的底数)
(1)讨论函数的单调性
(2)证明:当且时,函数的图象恒在的图象上方.
【思路引导】
函数的图象恒在的图象上方.
点评:本题考查函数导数的综合应用问题,考查数学转化思想方法与分类讨论思想思想方法,是中档题;利用导数求解函数单调性的一般步骤:(1)确定的定义域;(2)计算导数;(3)求出的根;(4)用的根将的定义域分成若干个区间,列表考察这若干个区间内的符号,进而确定的单调区间:,则在对应区间上是增函数,对应区间为增区间;,则在对应区间上是减函数,对应区间为减区间.
5.已知函数.
(1)求曲线在点处的切线方程;
(2)证明:.
【思路引导】
(1)由导数几何意义得切线斜率为,再根据点斜式且切线方程,(2)构造函数,求导函数零点可得列表分析可得为最小值,而,所以得证
令得[来源:Z+xx+k.Com]
所以;
所以
所以当
点评:利用导数证明不等式常见类型及解题策略(1) 构造差函数.根据差函数导函数符号,确定差函数单调性,利用单调性得不等量关系,进而证明不等式.(2)根据条件,寻找目标函数.一般思路为利用条件将求和问题转化为对应项之间大小关系,或利用放缩、等量代换将多元函数转化为一元函数.
6.设函数,其中.
(1)当时,求曲线在点处的切线方程;
(2)讨论函数的单调性;
(3)当,且时证明不等式:
【思路引导】
(Ⅰ)代入时,求得,求得切线的斜率,即可求解切线的方程;(Ⅱ)求得的表达式,分和和三种情况分类讨论,即可求解函数的单调区间;(Ⅲ)先由时,证得,再取得,进而可证明上述不等式.
(Ⅲ)证明:当-1时, ,
令,则在上恒正,
所以, 在上单调递增,当时,恒有,
即当时, ,
对任意正整数,取得,
所以,
=
=
=
点评:本题主要考查了函数的综合问题,其中解答中涉及到导数的几何意义求解在某点的切线方程的求解、利用导数研究函数的单调性,求解函数的单调区间,不等关系的证明等知识点的综合考查,试题有一定的难度,属于中档试题,其中解得中对导数的合理分类讨论和根据题设合理变换和换元是解答的难点.
7.设函数, [来源:学+科+网Z+X+X+K]
(1)当时,求函数的单调区间;
(2)当,时,求证:.
【思路引导】
(1)本问考查利用导数求函数的单调性,首先确定函数的定义域为,对求导数,解得增区间,解得减区间;(2)本问考查利有导数证明不等式,当时,只需证: ,即转化为证明当时成立,构造函数,转化为证明在时恒成立即可,转化为求函数的最小值问题.
[来源:学#科#网]
点评:利用导数证明不等式的方法:证明, 时,可以构造函数,如果,则在上是减函数,同时若,由减函数的定义可知,当时,有,即证明.利用导数解决不等式恒成立问题的策略:首先构造函数,利用导数研究函数的单调性,求出最值,进而得出相应含参不等式,从而求出参数的取值范围,也可以分离变量,构造函数,直接把问题转化为函数的最值问题.
8.已知函数().
(Ⅰ)若曲线在点处的切线与轴垂直,求的值;
(Ⅱ)若函数有两个极值点,求的取值范围;
(Ⅲ)证明:当时, .
【思路引导】
(Ⅰ)求导函数,利用函数在点处的切线与轴垂直,可得切线的斜率,从而可求 的值;(Ⅱ)由(Ⅰ)知,若函数有两个极值点,则,即有两个不同的根,且的值在根的左、右两侧符号相反.令,讨论其性质即可得到的取值范围;(Ⅲ)令(),则, .
令,讨论的性质可得以时, ,即时, .
(Ⅲ)证明:令(),则, .
令,则 ,
因为,所以, , , ,
所以,即在时单调递增,
又,所以时, ,即函数在时单调递增.
所以时, ,即时, .
专题2.6 欲证不等恒成立,差值函数求值域(原卷及解析版): 这是一份专题2.6 欲证不等恒成立,差值函数求值域(原卷及解析版),文件包含专题26欲证不等恒成立差值函数求值域原卷版doc、专题26欲证不等恒成立差值函数求值域解析版doc等2份试卷配套教学资源,其中试卷共20页, 欢迎下载使用。
高考数学压轴难题归纳总结培优专题2.6 欲证不等恒成立 差值函数求值域 (含解析): 这是一份高考数学压轴难题归纳总结培优专题2.6 欲证不等恒成立 差值函数求值域 (含解析),共19页。
专题2.7 欲证不等恒成立,目标调整依形式-2020届高考数学压轴题讲义(解答题)(原卷版): 这是一份专题2.7 欲证不等恒成立,目标调整依形式-2020届高考数学压轴题讲义(解答题)(原卷版),共5页。

