高中数学人教B版 (2019)必修 第三册8.1.2 向量数量积的运算律精品达标测试
展开(建议用时:60分钟)
[合格基础练]
一、选择题
1.已知向量|a|=2,|b|=eq \r(,3),且向量a与b的夹角为150°,则a·b的值为( )
A.-eq \r(,3) B.eq \r(,3) C.-3 D.3
C [向量|a|=2,|b|=eq \r(,3),且向量a与b的夹角为150°,
则a·b=|a||b|cs 150°=2×eq \r(,3)×eq \b\lc\(\rc\)(\a\vs4\al\c1(-\f(\r(,3),2)))=-3.故选C.]
2.在△ABC中,∠ BAC=eq \f(π,3),AB=2,AC=3,eq \(CM,\s\up8(→))=2eq \(MB,\s\up8(→)),则eq \(AM,\s\up8(→))·eq \(BC,\s\up8(→))=( )
A.-eq \f(11,3) B.-eq \f(4,3)
C.eq \f(4,3) D.eq \f(11,3)
C [因为eq \(AM,\s\up8(→))=eq \(AC,\s\up8(→))+eq \(CM,\s\up8(→))=eq \(AC,\s\up8(→))+eq \f(2,3)eq \(CB,\s\up8(→))=eq \(AC,\s\up8(→))+eq \f(2,3)(eq \(AB,\s\up8(→))-eq \(AC,\s\up8(→)))=eq \f(1,3)eq \(AC,\s\up8(→))+eq \f(2,3)eq \(AB,\s\up8(→)),
所以eq \(AM,\s\up8(→))·eq \(BC,\s\up8(→))=eq \b\lc\(\rc\)(\a\vs4\al\c1(\f(1,3)\(AC,\s\up8(→))+\f(2,3)\(AB,\s\up8(→))))·(eq \(AC,\s\up8(→))-eq \(AB,\s\up8(→)))=eq \f(1,3)×32-eq \f(2,3)×22+eq \f(1,3)eq \(AB,\s\up8(→))·eq \(AC,\s\up8(→))=eq \f(1,3)+eq \f(1,3)×2×3cs eq \f(π,3)=eq \f(4,3).]
3.已知向量|a|=1,|b|=6,a·(b-a)=2,则a与b的夹角为( )
A.eq \f(π,6) B.eq \f(π,4) C.eq \f(π,3) D.eq \f(π,2)
C [因为向量|a|=1,|b|=6,a·(b-a)=2,所以a·b-a2=a·b-1=2,则a·b=3,设a与b的夹角为θ,得cs θ=eq \f(a·b,|a||b|)=eq \f(1,2),因为θ∈[0, π],所以θ=eq \f(π,3).]
4.设单位向量e1,e2的夹角为eq \f(2π,3),a=e1+2e2,b=2e1-3e2,则b在a上投影的数量为( )
A.-eq \f(3\r(3),2) B.-eq \r(3)
C.eq \r(3) D.eq \f(3\r(3),2)
A [因为单位向量e1,e2的夹角为eq \f(2π,3),a=e1+2e2,b=2e1-3e2,得
e1·e2=1×1×cs eq \f(2π,3)=-eq \f(1,2),|a|=eq \r(e1+2e22)=eq \r(e\\al(2,1)+4e\\al(2,2)+4e1·e2)=eq \r(3),
a·b=(e1+2e2)·(2e1-3e2)=2eeq \\al(2,1)-6eeq \\al(2,2)+e1·e2=-eq \f(9,2),因此b在a上投影的数量为eq \f(a·b,|a|)=eq \f(-\f(9,2),\r(3))=-eq \f(3\r(3),2),故选A.]
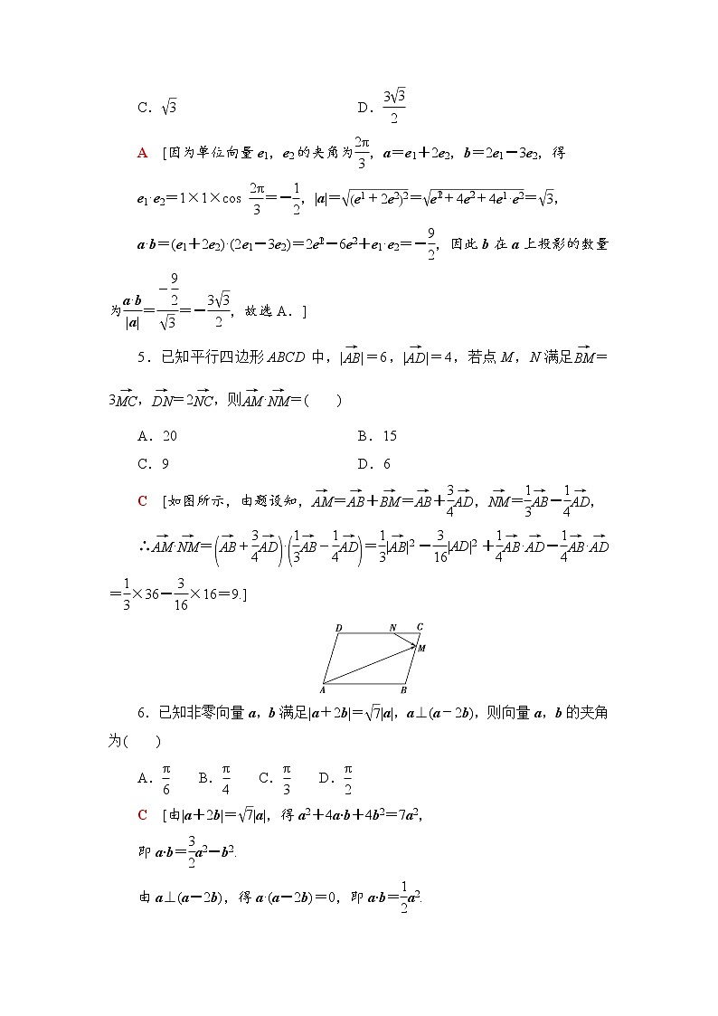
5.已知平行四边形ABCD中,|eq \(AB,\s\up8(→))|=6,|eq \(AD,\s\up8(→))|=4,若点M,N满足eq \(BM,\s\up8(→))=3eq \(MC,\s\up8(→)),eq \(DN,\s\up8(→))=2eq \(NC,\s\up8(→)),则eq \(AM,\s\up8(→))·eq \(NM,\s\up8(→))=( )
A.20 B.15
C.9 D.6
C [如图所示,由题设知,eq \(AM,\s\up8(→))=eq \(AB,\s\up8(→))+eq \(BM,\s\up8(→))=eq \(AB,\s\up8(→))+eq \f(3,4)eq \(AD,\s\up8(→)),eq \(NM,\s\up8(→))=eq \f(1,3)eq \(AB,\s\up8(→))-eq \f(1,4)eq \(AD,\s\up8(→)),
∴eq \(AM,\s\up8(→))·eq \(NM,\s\up8(→))=eq \b\lc\(\rc\)(\a\vs4\al\c1(\(AB,\s\up8(→))+\f(3,4)\(AD,\s\up8(→))))·eq \b\lc\(\rc\)(\a\vs4\al\c1(\f(1,3)\(AB,\s\up8(→))-\f(1,4)\(AD,\s\up8(→))))=eq \f(1,3)|eq \(AB,\s\up8(→))|2-eq \f(3,16)|AD|2+eq \f(1,4)eq \(AB,\s\up8(→))·eq \(AD,\s\up8(→))-eq \f(1,4)eq \(AB,\s\up8(→))·eq \(AD,\s\up8(→))=eq \f(1,3)×36-eq \f(3,16)×16=9.]
6.已知非零向量a,b满足|a+2b|=eq \r(,7)|a|,a⊥(a-2b),则向量a,b的夹角为( )
A.eq \f(π,6) B.eq \f(π,4) C.eq \f(π,3) D.eq \f(π,2)
C [由|a+2b|=eq \r(,7)|a|,得a2+4a·b+4b2=7a2,
即a·b=eq \f(3,2)a2-b2.
由a⊥(a-2b),得a·(a-2b)=0,即a·b=eq \f(1,2)a2.
所以eq \f(3,2)a2-b2=eq \f(1,2)a2,所以|a|=|b|≠0,
所以向量a,b的夹角θ满足cs θ=eq \f(a·b,|a|·|b|)=eq \f(1,2),
又θ∈[0,π],所以θ=eq \f(π,3).故选C.]
二、填空题
7.已知平面向量a,b的夹角为eq \f(π,6),且|a|=eq \r(3),|b|=2,在△ABC中,eq \(AB,\s\up8(→))=2a+2b,eq \(AC,\s\up8(→))=2a-6b,D为BC中点,则|eq \(AD,\s\up8(→))|=________.
2 [因为eq \(AD,\s\up8(→))=eq \f(1,2)(eq \(AB,\s\up8(→))+eq \(AC,\s\up8(→)))=eq \f(1,2)(2a+2b+2a-6b)=2a-2b,所以|eq \(AD,\s\up8(→))|2=4(a-b)2=4(a2-2a·b+b2)=4×(3-2×2×eq \r(3)×cs eq \f(π,6)+4)=4,则|eq \(AD,\s\up8(→))|=2.]
8.如图,在等腰直角三角形AOB中,OA=OB=1,eq \(AB,\s\up8(→))=4eq \(AC,\s\up8(→)),则eq \(OC,\s\up8(→))·(eq \(OB,\s\up8(→))-eq \(OA,\s\up8(→)))=________.
-eq \f(1,2) [由已知得|eq \(AB,\s\up8(→))|=eq \r(2),|eq \(AC,\s\up8(→))|=eq \f(\r(2),4),则eq \(OC,\s\up8(→))·(eq \(OB,\s\up8(→))-eq \(OA,\s\up8(→)))=(eq \(OA,\s\up8(→))+eq \(AC,\s\up8(→)))·eq \(AB,\s\up8(→))
=eq \(OA,\s\up8(→))·eq \(AB,\s\up8(→))+eq \(AC,\s\up8(→))·eq \(AB,\s\up8(→))=1×eq \r(2)cs eq \f(3π,4)+eq \f(\r(2),4)×eq \r(2)=-eq \f(1,2).]
9.(2019·南阳高一检测)已知向量|eq \(OA,\s\up8(→))|=1,|eq \(OB,\s\up8(→))|=eq \r(,3),eq \(OA,\s\up8(→))·eq \(OB,\s\up8(→))=0,点C在∠AOB内,且∠AOC=30 °,设eq \(OC,\s\up8(→))=meq \(OA,\s\up8(→))+neq \(OB,\s\up8(→)),(m, n∈R),则eq \f(m,n)=________.
3 [|eq \(OA,\s\up8(→))|=1,|eq \(OB,\s\up8(→))|=eq \r(,3),eq \(OA,\s\up8(→))·eq \(OB,\s\up8(→))=0,
所以OA⊥OB,
∴|eq \(AB,\s\up8(→))|=2=2|eq \(OA,\s\up8(→))|,
∴∠OBC=30°,
又因为∠AOC=30°,所以eq \(OC,\s\up8(→))⊥eq \(AB,\s\up8(→)),
故(meq \(OA,\s\up8(→))+neq \(OB,\s\up8(→)))·(eq \(OB,\s\up8(→))-eq \(OA,\s\up8(→)))=0,
从而-meq \(OA,\s\up8(→))2+neq \(OB,\s\up8(→))2=0,
所以3n-m=0,即m=3n,
所以eq \f(m,n)=3.]
三、解答题
10.利用向量法证明直径对的圆周角为直角.
已知:如图,圆的直径为AB,C为圆周上异于A,B的任意一点.求证:∠ ACB=90°.
[解] 设圆心为O,连接OC,则|eq \(CO,\s\up8(→))|=eq \f(1,2)|eq \(AB,\s\up8(→))|,eq \(CO,\s\up8(→))=eq \f(1,2)(eq \(CA,\s\up8(→))+eq \(CB,\s\up8(→))),
所以|eq \(CO,\s\up8(→))|2=eq \f(1,4)|eq \(AB,\s\up8(→))|2,eq \(CO,\s\up8(→))2=eq \f(1,4)(eq \(CA,\s\up8(→))+eq \(CB,\s\up8(→)))2,得|eq \(AB,\s\up8(→))|2=(eq \(CA,\s\up8(→))+eq \(CB,\s\up8(→)))2,
即(eq \(CB,\s\up8(→))-eq \(CA,\s\up8(→)))2=(eq \(CA,\s\up8(→))+eq \(CB,\s\up8(→)))2,得eq \(CB,\s\up8(→))2+eq \(CA,\s\up8(→))2-2eq \(CB,\s\up8(→))·eq \(CA,\s\up8(→))=eq \(CB,\s\up8(→))2+eq \(CA,\s\up8(→))2+2eq \(CA,\s\up8(→))·eq \(CB,\s\up8(→))
所以4eq \(CB,\s\up8(→))·eq \(CA,\s\up8(→))=0,eq \(CB,\s\up8(→))·eq \(CA,\s\up8(→))=0,所以eq \(CB,\s\up8(→))⊥eq \(CA,\s\up8(→)),
即∠ ACB=90°.
[等级过关练]
1.已知eq \(AB,\s\up8(→))和eq \(AC,\s\up8(→))是平面内的两个单位向量,它们的夹角为60°,则2eq \(AB,\s\up8(→))-eq \(AC,\s\up8(→))与eq \(CA,\s\up8(→))的夹角是( )
A.30° B.60°
C.90° D.120°
C [设2eq \(AB,\s\up8(→))-eq \(AC,\s\up8(→))与eq \(CA,\s\up8(→))的夹角为θ,则cs θ=eq \f(2\(AB,\s\up8(→))-\(AC,\s\up8(→))·\(CA,\s\up8(→)),|2\(AB,\s\up8(→))-\(AC,\s\up8(→))|·|\(CA,\s\up8(→))|),又eq \(AB,\s\up8(→))和eq \(AC,\s\up8(→))是平面内的两个单位向量,则|eq \(AB,\s\up8(→))|=1,|eq \(AC,\s\up8(→))|=1,则(2eq \(AB,\s\up8(→))-eq \(AC,\s\up8(→)))·eq \(CA,\s\up8(→))=-(2eq \(AB,\s\up8(→))-eq \(AC,\s\up8(→)))·eq \(AC,\s\up8(→))=-2eq \(AB,\s\up8(→))·eq \(AC,\s\up8(→))+eq \(AC,\s\up8(→))2=-2|eq \(AB,\s\up8(→))|·|eq \(AC,\s\up8(→))|cs 60°+|eq \(AC,\s\up8(→))|2=0,所以cs θ=0,又0°≤θ≤180°,所以θ=90°,故选C.]
2.(2019·沈阳高一检测)已知向量eq \(OA,\s\up8(→))与eq \(OB,\s\up8(→))的夹角为θ,|eq \(OA,\s\up8(→))|=2,|eq \(OB,\s\up8(→))|=1,eq \(OP,\s\up8(→))=teq \(OA,\s\up8(→)),eq \(OQ,\s\up8(→))=(1-t)eq \(OB,\s\up8(→)),t∈R, |eq \(PQ,\s\up8(→))|在t=t0时取得最小值,当0
A.eq \b\lc\(\rc\)(\a\vs4\al\c1(0,\f(π,3))) B.eq \b\lc\(\rc\)(\a\vs4\al\c1(\f(π,3),\f(π,2)))
C.eq \b\lc\(\rc\)(\a\vs4\al\c1(\f(π,2),\f(2π,3))) D.eq \b\lc\(\rc\)(\a\vs4\al\c1(0,\f(2π,3)))
C [因为向量eq \(OA,\s\up8(→))与eq \(OB,\s\up8(→))的夹角为θ,|eq \(OA,\s\up8(→))|=2,|eq \(OB,\s\up8(→))|=1,所以eq \(OA,\s\up8(→))·eq \(OB,\s\up8(→))=2cs θ,
eq \(PQ,\s\up8(→))=eq \(OQ,\s\up8(→))-eq \(OP,\s\up8(→))=(1-t)eq \(OB,\s\up8(→))-teq \(OA,\s\up8(→)),得|eq \(PQ,\s\up8(→))|2=eq \(PQ,\s\up8(→))2=(1-t)2eq \(OB,\s\up8(→))2-2t(1-t)eq \(OA,\s\up8(→))·eq \(OB,\s\up8(→))+t2eq \(OA,\s\up8(→))2=(5+4cs θ)t2-(2+4cs θ)t+1,由二次函数知,当上式取最小值时,所以t0=eq \f(1+2cs θ ,5+4cs θ ),由0
解得-eq \f(1,2)
3.已知△ABC外接圆的圆心为O,半径为1,若eq \(AC,\s\up8(→))+eq \(BC,\s\up8(→))+2eq \(CO,\s\up8(→))=0,且|eq \(AC,\s\up8(→))|=|eq \(OC,\s\up8(→))|,则eq \(AB,\s\up8(→))·eq \(BC,\s\up8(→))=________.
-3 [如图,由eq \(AC,\s\up8(→))+eq \(BC,\s\up8(→))+2eq \(CO,\s\up8(→))=0,得eq \(CA,\s\up8(→))+eq \(CB,\s\up8(→))=2eq \(CO,\s\up8(→)),所以O是AB的中点,因为△ABC外接圆的圆心为O,所以AB是△ABC外接圆的直径,∠ACB=90°,且|eq \(AC,\s\up8(→))|=|eq \(OC,\s\up8(→))|=eq \f(1,2)|eq \(AB,\s\up8(→))|=1,所以∠ABC=30°, |eq \(BC,\s\up8(→))|=eq \r(3).
所以eq \(AB,\s\up8(→))·eq \(BC,\s\up8(→))=|eq \(AB,\s\up8(→))||eq \(BC,\s\up8(→))|cs 150°=2×eq \r(3)×eq \b\lc\(\rc\)(\a\vs4\al\c1(-\f(\r(3),2)))=-3.
]
4.对任意的两个向量a,b,定义一种向量运算“*”:a*b=eq \b\lc\{\rc\ (\a\vs4\al\c1(a·b,当a,b不共线时,,|a-b|,当a,b共线时))(a,b是任意的两个向量).对于同一平面内的向量a,b,c,e,给出下列结论:
①a*b=b*a;
②λ(a*b)=(λa)*b(λ∈R);
③(a+b)*c=a*c+b*c;
④若e是单位向量,则|a*e|≤|a|+1.
以上结论一定正确的是________.(填上所有正确结论的序号)
①④ [当a,b共线时,a*b=|a-b|=|b-a|=b*a,当a,b不共线时,a*b=a·b=b·a=b*a,故①是正确的;当λ=0,b≠0时,λ(a*b)=0,(λa)*b=|0eq \(-)b|≠0,故②是错误的;当a+b与c共线时,则存在a,b与c不共线,(a+b)*c=|a+b-c|,a*c+b*c=a·c+b·c,显然|a+b-c|≠a·c+b·c,故③是错误的;当e与a不共线时,|a*e|=|a·e|<|a|·|e|<|a|+1,当e与a共线时,设a=ue,u∈R,|a*e|=|a-e|=|ue-e|=|u-1|≤|u|+1,故④是正确的.综上,结论一定正确的是①④ .]
5.已知△ABC是边长为2的正三角形.
(1)计算|eq \(AB,\s\up8(→))+eq \(AC,\s\up8(→))|+|eq \(AB,\s\up8(→))-eq \(BC,\s\up8(→))|;
(2)若eq \(AC,\s\up8(→))-λeq \(AB,\s\up8(→))与向量eq \(AC,\s\up8(→))的夹角大于90°,求实数λ的取值范围.
[解](1)因为 |eq \(AB,\s\up8(→))+eq \(AC,\s\up8(→))|2=(eq \(AB,\s\up8(→))+eq \(AC,\s\up8(→)))2
=eq \(AB,\s\up8(→))2+eq \(AC,\s\up8(→))2+2eq \(AB,\s\up8(→))·eq \(AC,\s\up8(→))=4+4+2×2×2×eq \f(1,2)=12,
|eq \(AB,\s\up8(→))-eq \(BC,\s\up8(→))|2=(eq \(AB,\s\up8(→))-eq \(BC,\s\up8(→)))2
=eq \(AB,\s\up8(→))2+eq \(BC,\s\up8(→))2-2eq \(AB,\s\up8(→))·eq \(BC,\s\up8(→))=4+4-2×2×2×eq \b\lc\(\rc\)(\a\vs4\al\c1(-\f(1,2)))=12,
所以|eq \(AB,\s\up8(→))+eq \(AC,\s\up8(→))|+|eq \(AB,\s\up8(→))-eq \(BC,\s\up8(→))|=4eq \r(3).
(2)因为eq \(AC,\s\up8(→))-λeq \(AB,\s\up8(→))与向量eq \(AC,\s\up8(→))的夹角大于90°,所以(eq \(AC,\s\up8(→))-λeq \(AB,\s\up8(→)))·eq \(AC,\s\up8(→))<0,即|eq \(AC,\s\up8(→))|2-λ|eq \(AC,\s\up8(→))|·|eq \(AB,\s\up8(→))|cs 60°<0,解得λ>2.所以实数λ的取值范围是(2,+∞).
人教B版 (2019)必修 第三册8.1.2 向量数量积的运算律当堂检测题: 这是一份人教B版 (2019)必修 第三册8.1.2 向量数量积的运算律当堂检测题,共5页。试卷主要包含了选择题,填空题,解答题等内容,欢迎下载使用。
人教B版 (2019)必修 第三册8.1.2 向量数量积的运算律课时作业: 这是一份人教B版 (2019)必修 第三册8.1.2 向量数量积的运算律课时作业,共13页。试卷主要包含了1 向量的数量积等内容,欢迎下载使用。
人教B版 (2019)必修 第三册第八章 向量的数量积与三角恒等变换8.2 三角恒等变换本节综合与测试精品练习题: 这是一份人教B版 (2019)必修 第三册第八章 向量的数量积与三角恒等变换8.2 三角恒等变换本节综合与测试精品练习题,共20页。试卷主要包含了0分),【答案】C,【答案】B,【答案】D等内容,欢迎下载使用。

