河北省衡水金卷普通高等学校招生全国统一考试模拟试卷分科综合卷 理科数学(一)试题
展开2018年普通高等学校招生全国统一考试模拟试题
理数(一)
第Ⅰ卷(共60分)
一、选择题:本大题共12个小题,每小题5分,共60分.在每小题给出的四个选项中,只有一项是符合题目要求的.
1.已知集合,,则( )
A. B.
C. D.
2.已知为虚数单位,为实数,复数满足,若复数是纯虚数,则( )
A. B. C. D.
3.我国数学家邹元治利用下图证明了购股定理,该图中用勾和股分别表示直角三角形的两条直角边,用弦来表示斜边,现已知该图中勾为3,股为4,若从图中随机取一点,则此点不落在中间小正方形中的概率是( )
A. B. C. D.
4.已知等差数列的前项和为,且,则( )
A. B. C. D.
5.已知函数,则下列结论正确的是( )
A.在区间内单调递增
B.在区间内单调递减
C.是偶函数
D.是奇函数,且在区间内单调递增
6.的展开式中项的系数为( )
A.-16 B.16 C. 48 D.-48
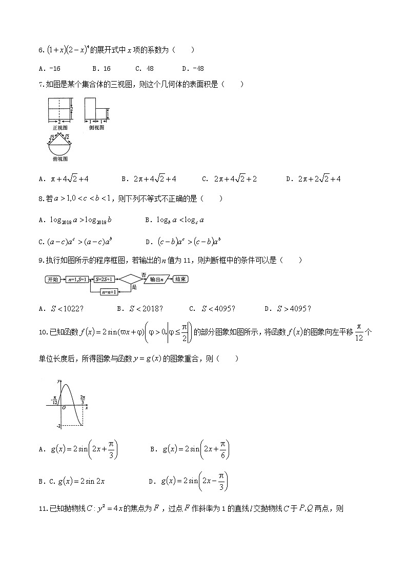
7.如图是某个集合体的三视图,则这个几何体的表面积是( )
A. B. C. D.
8.若,则下列不等式不正确的是( )
A. B.
C. D.
9.执行如图所示的程序框图,若输出的值为11,则判断框中的条件可以是( )
A. B. C. D.
10.已知函数的部分图象如图所示,将函数的图象向左平移个单位长度后,所得图象与函数的图象重合,则( )
A. B.
B.C. D.
11.已知抛物线的焦点为,过点作斜率为1的直线交抛物线于两点,则的值为( )
A. B. C. D.
12.已知数列中,,若对于任意的,不等式恒成立,则实数的取值范围为( )
A. B. C. D.
第Ⅱ卷(共90分)
二、填空题(每题5分,满分20分,将答案填在答题纸上)
13.已知向量,若向量与共线,则向量在向量放心上的投影为 .
14.若实数满足则的最大值是 .
15.过双曲线的下焦点作轴的垂线,交双曲线于两点,若以为直径的圆恰好过其上焦点,则双曲线的离心率为 .
16.一底面为正方形的长方体各棱长之和为24,则当该长方体体积最大时,其外接球的体积为 .
三、解答题 (本大题共6小题,共70分.解答应写出文字说明、证明过程或演算步骤.)
17.如图,在中,角所对的边分别为,若.
(1)求角的大小;
(2)若点在边上,且是的平分线,,求的长.
18. 如图,在三棱柱中,侧棱底面,且,是棱的中点,点在侧棱上运动.
(1)当是棱的中点时,求证:平面;
(2)当直线与平面所成的角的正切值为时,求二面角的余弦值.
19. 第一届“一带一路”国际合作高峰论坛于2017年5月14日至15日在北京举行,这是2017年我国重要的主场外交活动,对推动国际和地区合作具有重要意义.某高中政数处为了调查学生对“一带一络"的关注情况,在全校组织了“一带一路知多少”的知识问卷测试,并从中随机抽取了12份问卷,得到其测试成绩(百分制),如茎叶图所示.
(1)写出该样本的众数、中位数,若该校共有3000名学生,试估计该校测试成绩在70分以上的人数;
(2)从所轴取的70分以上的学生中再随机选取4人.
①记表示选取4人的成绩的平均数,求;
②记表示测试成绩在80分以上的人数,求的分布列和数学期望.
20.已知椭圆 的左、右焦点分别为,离心率为,点在椭圆上,且的面积的最大值为.
(1)求椭圆的方程;
(2)已知直线与椭圆交于不同的两点,若在轴上存在点,使得,求点的横坐标的取值范围.
21. 设函数为自然对数的底数.
(1)若,且函数在区间内单调递增,求实数的取值范围;
(2)若,试判断函数的零点个数.
请考生在22、23两题中任选一题作答,如果多做,则按所做的第一题记分.
22.选修4-4:坐标系与参数方程
已知在平面直角坐标系中,椭圆的方程为,以为极点,轴非负半轴为极轴,取相同的长度单位建立极坐标系,直线的极坐标方程为.
(1)求直线的直角坐标方程和椭圆的参数方程;
(2)设为椭圆上任意一点,求的最大值.
23.选修4-5:不等式选讲
已知函数.
(1)求不等式的解集;
(2)若的最大值为,对任意不想等的正实数,证明:.
试卷答案
一、选择题
1-5: DBBCD 6-10: ABCCA 11、12:CA
二、填空题
13.0 14. 15. 16.
三、解答题
17.解:(1)在中,∵,
∴由正弦定理,
得
,
∵,∴,
∵,
∴.
(2)在中,由余弦定理得
,
即,解得,
或(负值,舍去)
∵是的平分线,,
∴,∴.
18.解:(1)取线段的中点,连结.
∵,
∴,且.
又为的中点,
∴,且.
∴,且.
∴四边形是平行四边形.
∴.
又平面平面,
∴平面.
(2)∵两两垂直,∴以为原点,所在直线分别为轴,轴,轴,建立空间直角坐标系,如图,
∵三棱柱中,平面,
∴即为直线与平面所成的角.
设,则由,得.
∴.
∴,
设平面的一个法向量为,
则
令,得,即.
又平面的一个法向量为,
∴,
又二面角的平面角为钝角,
∴二面角的余弦值为.
- 解:(1)众数为76,中位数为76.
抽取的12人中,70分以下的有4人,不低于70分的有8人,
故从该校学生中人选1人,这个人测试成绩在70分以上的概率为,故该校这次测试成绩在70分以上的约有(人)
(2)①由题意知70分以上的有72,76,76,76,82,88,93,94.
当所选取的四个人的成绩的平均分大于87分时,有两类.
一类是82,88,93,94,共1种;
另一类是76,88,93,94,共3种.
所以 .
②由题意可得,的可能取值为0,1,2,3,4
,
,
,
,
.
的分别列为
0 | 1 | 2 | 3 | 4 | |
20.解:(1)由已知得
解得,
∴椭圆的方程为.
(2)设,的中点为,点,使得,
则.
由得,
由,得.
∴,
∴.
∵∴,
即,
∴.
当时,(当且仅当,即时,取等号),
∴;
当时,(当且仅当,即时,取等号),∴,
∴点的横坐标的取值范围为.
21.解:(1)∵函数在区间内单调递增,
∴在区间内恒成立.
即在区间内恒成立.
记,则恒成立,
∴在区间内单调递减,
∴,∴,
即实数的取值范围为.
(2)∵,,
记,则,
知在区间内单调递增.
又∵,,
∴在区间内存在唯一的零点,
即,
于是,.
当时,单调递减;
当时,单调递增.
∴
,
当且仅当时,取等号.
由,得,
∴,即函数没有零点.
22.解:(1)由,
得,
将代入,得直线的直角坐标方程为.
椭圆的参数方程为为参数).
(2)因为点在椭圆上,
所以设,
则
,
当且仅当时,取等号,
所以.
23.解:(1)不等式,
即,
此不等式等价于
或或
解得,或,或.
所以不等式的解集为.
(2),
因为,
当且仅当时,取等号,
所以,即,
因为为正实数,
所以
,
当且仅当时,取等号.
即.

