搜索
      上传资料 赚现金

      精品解析:山东师范大学附属中学2026届高三下学期3月阶段检测数学试卷含解析(word版)

      • 1.37 MB
      • 2026-03-21 00:19:52
      • 8
      • 0
      • 溯舟
      加入资料篮
      立即下载
      查看完整配套(共2份)
      包含资料(2份) 收起列表
      解析
      精品解析:山东师范大学附属中学2025-2026学年高三3月阶段检测数学试题(原卷版).docx
      预览
      解析
      精品解析:山东师范大学附属中学2025-2026学年高三3月阶段检测数学试题(解析版).docx
      预览
      正在预览:精品解析:山东师范大学附属中学2025-2026学年高三3月阶段检测数学试题(原卷版).docx
      精品解析:山东师范大学附属中学2025-2026学年高三3月阶段检测数学试题(原卷版)第1页
      高清全屏预览
      1/4
      精品解析:山东师范大学附属中学2025-2026学年高三3月阶段检测数学试题(原卷版)第2页
      高清全屏预览
      2/4
      精品解析:山东师范大学附属中学2025-2026学年高三3月阶段检测数学试题(解析版)第1页
      高清全屏预览
      1/21
      精品解析:山东师范大学附属中学2025-2026学年高三3月阶段检测数学试题(解析版)第2页
      高清全屏预览
      2/21
      精品解析:山东师范大学附属中学2025-2026学年高三3月阶段检测数学试题(解析版)第3页
      高清全屏预览
      3/21
      还剩2页未读, 继续阅读

      精品解析:山东师范大学附属中学2026届高三下学期3月阶段检测数学试卷含解析(word版)

      展开

      这是一份精品解析:山东师范大学附属中学2026届高三下学期3月阶段检测数学试卷含解析(word版),文件包含精品解析山东师范大学附属中学2025-2026学年高三3月阶段检测数学试题原卷版docx、精品解析山东师范大学附属中学2025-2026学年高三3月阶段检测数学试题解析版docx等2份试卷配套教学资源,其中试卷共25页, 欢迎下载使用。
      本试卷共4页,19题,全卷满分150分,考试时间120分钟.
      第I卷(选择题)
      一、单选题(共40分,每小题5分)
      1. 已知集合,,则的子集个数为( )
      A. 2B. 4C. 8D. 16
      【答案】C
      【解析】
      【分析】利用列举法表示集合,求出函数定义域化简集合,再利用交集的定义求解.
      【详解】集合,,
      所以集合的子集个数为.
      故选:C
      2. 在复平面内,复数z1,z2对应的点分别是,则的模是( )
      A. 5B. C. 2D.
      【答案】D
      【解析】
      【分析】由复数的除法运算及模长公式即可求解.
      【详解】由题意知,,,所以
      所以,
      故选:D.
      3. 已知实数a,b满足,则( )
      A. B. C. D.
      【答案】C
      【解析】
      【分析】根据不等式的性质以及对数函数的性质、指数函数的性质,基本不等式可求得结果.
      【详解】对于A,,则,所以,该选项错误;
      对于B,若,满足,但,该选项错误;
      对于C,因为,所以,
      则,
      当且仅当,即时,等号成立,所以,该选项正确;
      对于D,,所以,因为,所以,
      但跟0大小关系不确定,所以不能确定,
      所以不能得到,该选项错误;
      故选:C.
      4. 已知为单位向量,则“”是“与的夹角是钝角”的( )
      A. 充分而不必要条件B. 必要而不充分条件C. 充分必要条件D. 既不充分也不必要条件
      【答案】B
      【解析】
      【分析】根据给定条件,利用数量积的运算律及夹角公式求出的范围,再利用充分条件、必要条件的定义判断即得.
      【详解】单位向量,由,得,解得,
      则,因此,
      所以“”是“与的夹角是钝角”的必要而不充分条件.
      故选:B
      5. 记为数列的前n项积,已知,则( )
      A. 8B. 9C. 10D. 11
      【答案】D
      【解析】
      【分析】当时,有,当时,有,结合题目条件,即可求得本题答案.
      【详解】1.当时,,,;
      2.当时,有,代入,得,
      化简得:,则,.
      故选:D
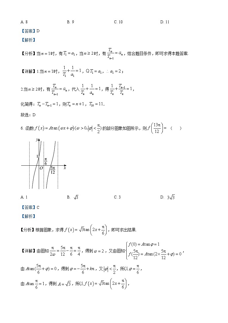
      6. 函数的部分图象如图所示,则 ( )
      A. 1B. C. 3D.
      【答案】C
      【解析】
      分析】根据图象,求得,即可求出结果.
      【详解】由图知,得到,又由图知,
      由,得到,又,所以,
      由,得到,所以,
      得到,
      故选:C.
      7. 双曲线的左、右焦点分别为、,以为直径的圆与C在第二象限交于点P,若坐标原点O到直线的距离为,则双曲线C的离心率为( )
      A. B. C. D.
      【答案】C
      【解析】
      【分析】由题意得到⊥,作出辅助线,结合双曲线定义求出,,由勾股定理得到方程,求出离心率.
      【详解】由题意得⊥,取的中点,连接,
      因为为的中点,所以,且,
      故,即为坐标原点O到直线的距离,则,
      所以,
      由双曲线定义可得,所以,
      又,由勾股定理得,
      故,解得,故离心率为.
      故选:C
      8. 已知函数,且函数在,内恰有2025个零点,则满足条件的有序数对( )
      A. 有且仅有1对B. 有且仅有2对
      C. 有且仅有3对D. 有无数对
      【答案】C
      【解析】
      【分析】由的零点个数等价于方程实根的个数.先研究方程在内实根的个数.分类讨论进行求解.
      【详解】的零点个数等价于方程实根的个数.
      先研究方程在内实根的个数.
      当时,方程在内实根的个数为1;
      当时,方程在内实根的个数为2;
      当时,方程在内实根的个数为3,其中在内实根的个数为2.
      因为是周期为的函数,所以当时,在,,,,内方程实根的个数均为2.
      因为在内恰有2025个零点,且2025为奇数,所以不合题意.
      当时,;当时,.所以满足条件的有序实数对只有3对.
      在上的图像:
      故选:C.
      二、多选题(共18分,每小题6分)
      9. 下列关于统计的知识,说法正确的是( )
      A. 若数据的方差为0,则所有的都相等
      B. 已知样本数据,去掉一个最小数和一个最大数后,剩余数据的中位数小于原样本的中位数
      C. 数据的第70百分位数是8.5
      D. 若一组样本数据的对应样本点都在直线上,则这组样本数据的相关系数为-1
      【答案】AD
      【解析】
      【分析】由方差、中位数、百分位数和相关系数的概念逐项判断即可.
      【详解】A项:由方差知识得,A项正确;
      B项:去掉其中的一个最小数和一个最大数后,中位数不变,B项错误;
      C项:,则70百分位数为第6个数9,C项错误;
      D项:样本点都在直线,则完全负相关,所以相关系数为,D项正确.
      故选:AD
      10. 如图,一个结晶体的形状为平行六面体,其中,以顶点为端点的三条棱长都等于1,且它们彼此的夹角都是,下列说法中正确的是( )
      A.
      B. 在底面上的投影是线段的中点
      C. 与平面所成角大于
      D. 与所成角的余弦值为
      【答案】ACD
      【解析】
      【分析】分别计算和判断A;设中点为,连接,若在底面上的投影是线段的中点应得,计算验证判断B;计算,根据勾股定理判断,则与平面所成角为,再计算判断C;计算以及,再利用向量的夹角公式判断D.
      【详解】对于A,由题意,
      所以

      又因,
      所以,A说法正确;
      对于B,设中点为,连接,
      则,
      若在底面上的投影是线段的中点,则底面,
      又底面,则应该有,
      因为

      故此时与底面不垂直,B说法错误;
      对于C,因为,,
      所以,

      在中,,,,
      所以,所以,
      所以与平面所成角为,
      又因为,即,
      所以与平面所成角大于,C说法正确;
      对于D,因为

      所以,D说法正确;
      故选:ACD
      11. 函数满足、,都有,且,则( )
      A. B. 数列单调递减
      C. D.
      【答案】BCD
      【解析】
      【分析】令,推导出,令可判断A选项;分析可知数列为等比数列,求出该数列的通项公式,结合数列单调性的定义可判断B选项;利用基本不等式可判断C选项;利用错位相减法可判断D选项.
      【详解】对于A选项,函数满足、,都有,
      令,则,即,则,
      所以,,A错;
      对于B选项,令,,可得,
      所以,,且,
      所以,数列是首项为,公比为的等比数列,所以,,
      所以,,即,
      故数列单调递减,B对;
      对于C选项,对任意的,,
      所以,,
      当且仅当时,等号成立,C对;
      对于D选项,令,①
      则,②
      ①②可得,
      因此,,D对.
      故选:BCD.
      第II卷(非选择题)
      三、填空题(共15分,每小题5分)
      12. 展开式中项的系数为________.
      【答案】
      【解析】
      【分析】把二项展开,只有与相乘得到项,由此即可得到本题答案.
      【详解】因为
      所以展开式中项的系数为.
      故答案为:
      13. 已知抛物线的焦点到准线距离为上一点到焦点的距离为5,则的横坐标为______.
      【答案】
      【解析】
      【详解】将抛物线化为标准方程为,
      因为抛物线焦点到准线距离为2,所以,解得;
      将代入抛物线方程中,得,焦点为,准线方程为,
      设,因为,所以,解得,
      代入抛物线方程,得.
      14. 有个编号分别为1,2,…,n的盒子,第1个盒子中有2个白球1个黑球,其余盒子中均为1个白球1个黑球,现从第1个盒子中任取一球放入第2个盒子,再从第2个盒子中任取一球放入第3个盒子,以此类推,则从第2个盒子中取到白球的概率是______,从第个盒子中取到白球的概率是______.
      【答案】 ①. ②.
      【解析】
      【分析】记事件表示从第i个盒子里取出白球,利用全概率公式可得,进而可得,然后构造等比数列,求通项公式即得.
      【详解】记事件表示从第个盒子里取出白球,则,,
      所以,


      进而可得,,
      又,,,
      所以是首项为,公比为的等比数列,
      所以,即,
      故答案为:;.
      四、解答题
      15. 在中,角的对边分别为,已知
      (1)求证:;
      (2)若是锐角三角形,求的取值范围.
      【答案】(1)证明见解析
      (2)
      【解析】
      【分析】(1)由正弦定理将角化边,再结合余弦定理得到,再利用正弦定理将边化角得到,即可得到,从而得证;
      (2)解法1:由(1)可知,再根据三角形为锐角三角形,得到角的取值范围,则,即可求出的取值范围;解法二: 利用,边化角可求其范围.
      【小问1详解】
      由余弦定理,
      代入得,则,
      由正弦定理得
      所以,
      所以,

      由知,故,
      所以或(舍去)
      所以
      【小问2详解】
      解法1:,由得,
      所以,
      .

      由,得,,
      所以,
      所以,即;
      解法2:由得,
      因为,所以,得,
      所以,即,
      所以.
      16. 为备战2026年第十一届全国学生“学宪法讲宪法”比赛,某校举办了法治素养竞赛(分初赛和决赛两部分).初赛从6道题中任选2题作答,2题均答对则进入决赛.已进入决赛的参赛者允许连续抽奖3次,中奖1次奖励120元,中奖2次奖励180元,中奖3次奖励360元,若3次均未中奖,则只奖励60元.假设每次抽奖中奖的概率均为,且每次是否中奖相互独立.
      (1)已知初赛6道题中甲能答对其中4道题,记甲在初赛中答对的题目个数为,求的数学期望以及甲在已经答对一题的前提下,仍未进入决赛的概率;
      (2)假设该校共选拔出9名同学进入决赛,若这9名同学获得的总奖金的期望值不小于1120元,试求此时的取值范围.
      【答案】(1)期望为;
      (2)
      【解析】
      【分析】(1)根据超几何的期望公式即可求解,利用条件概率以及超几何概率的计算公式可求解概率,
      (2)根据二项分布的概率公式以及期望公式求解一个人获得奖金的期望,进而根据题意得,构造函数,利用导数求解函数的单调性得解.
      小问1详解】
      记总题数,甲会做的题数,
      从中任选2题作答,则答对题数服从超几何分布,
      数学期望.
      事件“已答对一题”即;“仍未进入决赛”即,
      由条件概率公式得:.
      【小问2详解】
      设进入决赛的同学获得的奖金为元,
      其分布为,
      期望,化简得
      9名同学总奖金的期望,
      即.整理得.
      令,由知在单调递增,
      又,因此不等式解为,
      结合,得.
      17. 如图,在三棱锥中,底面是正三角形,中心为,,.
      (1)证明:平面;
      (2)若,
      (i)证明:平面平面;
      (ii)求平面与平面夹角的正切值.
      【答案】(1)证明见解析
      (2)(i)证明见解析;(ii).
      【解析】
      【分析】(1)延长交于点,则为的中点,连接,证明出,再利用线面平行的判定定理可证得结论成立;
      (2)(i)证明出平面,再利用面面垂直的判定定理可证得结论成立;
      (ii)方法一:以为原点,、所在直线分别为、轴,建立空间直角坐标系,设点,根据,可得出关于、的方程组,解出这两个未知数的值,可得出点的坐标,再利用空间向量法结合同角三角函数的基本关系可求得平面与平面夹角的正切值;
      方法二:在平面内作,垂足为点,过点在平面内作,垂足为点,连接,推导出平面,可知平面与平面夹角为,求出、的长,即可得解.
      【小问1详解】
      延长交于点,则为的中点,连接,如下图所示:
      因为为正中心,所以,
      又因为,即,所以,故,
      因为平面,平面,故平面.
      【小问2详解】
      (i)由于,为的中点,故.
      又因为为等边三角形,所以,
      因为,、平面,所以平面,
      而平面,因此平面平面.
      (ii)方法一:因为平面,且,
      以为原点,、所在直线分别为、轴,建立空间直角坐标系,
      则平面的一个法向量为.
      易知、、,所以,
      设点,则,解得,即点,
      因此.
      设平面的的一个法向量为,则,
      取得,即平面的一个法向量为,
      设平面与平面夹角为,则,
      所以,所以,
      故平面与平面夹角的正切值为.
      方法二:在平面内作,垂足为点,过点在平面内作,垂足为点,连接,
      因为平面平面,平面平面,平面,
      所以平面,
      因为平面,所以,
      又因为,,、平面,所以平面,
      因为平面,所以,
      所以平面与平面夹角为,
      在中,,,则,故,
      由余弦定理可得,
      所以,
      故,,
      所以,
      易知,故,所以,
      所以,即平面与平面夹角的正切值为.
      18. 已知椭圆的离心率,且经过点,为坐标原点,斜率不为0的直线与椭圆交于两点,.
      (1)求椭圆的方程;
      (2)证明:点到直线的距离是定值;
      (3)求的取值范围.
      【答案】(1)
      (2)证明见解析 (3)
      【解析】
      【分析】(1)根据题意建立关于的方程组,求解即得椭圆方程;
      (2)依题设直线的方程为,与椭圆方程联立,消元后写出韦达定理,根据化简推得,利用点到直线的距离公式即可证明;
      (3)根据弦长公式求出的表达式,代入韦达定理,并消去,将其化成关于的关系式,通过换元后利用二次函数的性质即可求得其范围.
      【小问1详解】
      由,可得 ①,
      椭圆经过点,可得,解得,代入①,可得,
      故椭圆的方程为.
      【小问2详解】
      依题意,可设直线的方程为,,
      由,消去,整理得,
      可得,
      设,则,
      因,则

      去分母得,
      化简得.
      则点到直线的距离为,为定值.
      【小问3详解】
      因,
      故,
      由得,代入上式,整理得,
      设,则,且代入上式,
      可得,
      设,则,且,
      所以,
      故的取值范围是.

      19. 已知函数.
      (1)讨论的单调性;
      (2)若对于任意的,恒成立,求的最大值;
      (3)证明:.
      【答案】(1)答案见解析
      (2)
      (3)不等式成立,证明过程见详解
      【解析】
      【分析】(1)通过对参数分类讨论,利用导数判断单调性;
      (2)换元与构造辅助函数,转化为恒成立条件下的最值问题,借助导数分析最值位置并建立不等式;
      (3)取对数并转化为累加形式,再逐项放缩为单元不等式,最终构造函数并利用单调性证明.
      【小问1详解】

      当时,,在上单调递减,
      当时,令,
      当时,,故函数在区间单调递减;
      当时,,故函数在区间上单调递增;
      【小问2详解】
      对恒成立,
      当时,时,左边与条件矛盾,舍去,∴,
      令,即对恒成立,
      令,
      当时,,时,,
      所以在上单调递减;单调递增,
      故只需.
      【小问3详解】
      要证: 证:
      即证:,
      只需证:,
      即证:,即证:,
      令 证: ,
      令在上单调递增,
      ∴,证毕.

      相关试卷

      精品解析:山东师范大学附属中学2026届高三下学期3月阶段检测数学试卷含解析(word版):

      这是一份精品解析:山东师范大学附属中学2026届高三下学期3月阶段检测数学试卷含解析(word版),文件包含精品解析山东师范大学附属中学2025-2026学年高三3月阶段检测数学试题原卷版docx、精品解析山东师范大学附属中学2025-2026学年高三3月阶段检测数学试题解析版docx等2份试卷配套教学资源,其中试卷共25页, 欢迎下载使用。

      山东师范大学附属中学2024-2025学年高一下学期3月阶段性检测数学试卷(Word版附解析):

      这是一份山东师范大学附属中学2024-2025学年高一下学期3月阶段性检测数学试卷(Word版附解析),共14页。试卷主要包含了单选题,多选题,填空题,解答题等内容,欢迎下载使用。

      山东师范大学附属中学2023届高三数学下学期6月模拟考试试卷(PDF版附解析):

      这是一份山东师范大学附属中学2023届高三数学下学期6月模拟考试试卷(PDF版附解析),共19页。

      资料下载及使用帮助
      版权申诉
      • 1.电子资料成功下载后不支持退换,如发现资料有内容错误问题请联系客服,如若属实,我们会补偿您的损失
      • 2.压缩包下载后请先用软件解压,再使用对应软件打开;软件版本较低时请及时更新
      • 3.资料下载成功后可在60天以内免费重复下载
      版权申诉
      若您为此资料的原创作者,认为该资料内容侵犯了您的知识产权,请扫码添加我们的相关工作人员,我们尽可能的保护您的合法权益。
      入驻教习网,可获得资源免费推广曝光,还可获得多重现金奖励,申请 精品资源制作, 工作室入驻。
      版权申诉二维码
      欢迎来到教习网
      • 900万优选资源,让备课更轻松
      • 600万优选试题,支持自由组卷
      • 高质量可编辑,日均更新2000+
      • 百万教师选择,专业更值得信赖
      微信扫码注册
      手机号注册
      手机号码

      手机号格式错误

      手机验证码 获取验证码 获取验证码

      手机验证码已经成功发送,5分钟内有效

      设置密码

      6-20个字符,数字、字母或符号

      注册即视为同意教习网「注册协议」「隐私条款」
      QQ注册
      手机号注册
      微信注册

      注册成功

      返回
      顶部
      学业水平 高考一轮 高考二轮 高考真题 精选专题 初中月考 教师福利
      添加客服微信 获取1对1服务
      微信扫描添加客服
      Baidu
      map